• 文献检索
  • 文档翻译
  • 深度研究
  • 学术资讯
  • Suppr Zotero 插件Zotero 插件
  • 邀请有礼
  • 套餐&价格
  • 历史记录
应用&插件
Suppr Zotero 插件Zotero 插件浏览器插件Mac 客户端Windows 客户端微信小程序
定价
高级版会员购买积分包购买API积分包
服务
文献检索文档翻译深度研究API 文档MCP 服务
关于我们
关于 Suppr公司介绍联系我们用户协议隐私条款
关注我们

Suppr 超能文献

核心技术专利:CN118964589B侵权必究
粤ICP备2023148730 号-1Suppr @ 2026

文献检索

告别复杂PubMed语法,用中文像聊天一样搜索,搜遍4000万医学文献。AI智能推荐,让科研检索更轻松。

立即免费搜索

文件翻译

保留排版,准确专业,支持PDF/Word/PPT等文件格式,支持 12+语言互译。

免费翻译文档

深度研究

AI帮你快速写综述,25分钟生成高质量综述,智能提取关键信息,辅助科研写作。

立即免费体验

教育研究:“模拟共享”:为医学住院医师开发的心脏骤停管理课程应用于神经重症监护专科住院医师

Education Research: "Simulation Sharing": Use of a Cardiac Arrest Management Course Developed for Medicine Residents Applied to Neurocritical Care Fellows.

作者信息

Harrison Daniel S, Elmashala Amjad, Ahmed Rashid A, DiFrancesco Matthew F, Cricco-Lizza Eliza, Blake Andrew, Vollbrecht Hanna, Zafar Sahar F, Bevers Matthew B

机构信息

Department of Neurology, Boston Medical Center, MA.

Department of Neurology, Boston University School of Medicine, MA.

出版信息

Neurol Educ. 2025 Jul 29;4(3):e200228. doi: 10.1212/NE9.0000000000200228. eCollection 2025 Sep.

DOI:10.1212/NE9.0000000000200228
PMID:40756898
原文链接:https://pmc.ncbi.nlm.nih.gov/articles/PMC12316796/
Abstract

BACKGROUND AND OBJECTIVES

Neurologists, especially neurointensivists, may be expected to lead cardiac arrest resuscitations. However, neurocritical care (NCC) fellows may face barriers to acquiring the necessary skills and knowledge needed for successful leadership in these scenarios. Whether a simulation course created for one group of learners and applied in a new context (a "shared simulation") could facilitate acquisition of desired outcomes among neurology learners is unclear.

METHODS

In this prospective, pre-post educational intervention study, NCC fellows at 2 centers completed precourse knowledge and confidence assessments and reported barriers to resuscitation leadership. Fellows then led 2 simulated cases of cardiac arrest, initially developed for internal medicine residents with vignettes adapted to better reflect an NCC patient population. Postcourse knowledge and confidence assessments were administered immediately after the intervention and again one to 4 months later. Pre-, immediate post-, and delayed post-confidence and knowledge assessments were compared.

RESULTS

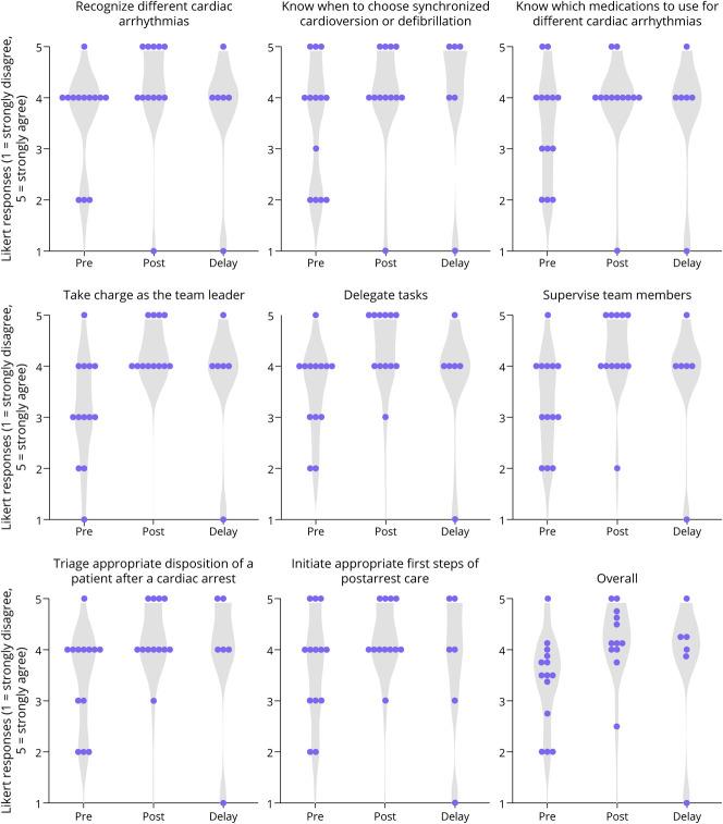
Thirteen NCC fellows participated in the study. Limited experience leading a resuscitation and not being preassigned the resuscitation leader role were the most highly cited barriers to leading resuscitations (n = 8/13, 61.5%). Lack of confidence and lack of knowledge were barriers for 38.5% (n = 5/13) and 22.2% (n = 2/9) of participants, respectively. Both confidence and knowledge scores improved on the immediate postassessments (5-point Likert median [IQR] 3.5 [3.1-3.9] vs 4.1 [4.0-4.7], = 0.005; mean [SD] 69.8% [8.8%] vs 88.5% [7.6%], = 0.004). No confidence or knowledge decay was observed between the immediate and delayed postcourse assessments (4.1 [4.0-4.7] vs 4.1 [3.2-4.4], = 0.50; 91.7% [6.8%] vs 81.3% [8.0%], = 0.08).

DISCUSSION

Shared simulation training improved learner confidence and knowledge in cardiac arrest resuscitation leadership and may yield similar benefits in other simulated scenarios. Low confidence, identified as a barrier to resuscitation leadership for over one-third of NCC fellows, was improved by brief simulation training.

摘要

背景与目的

人们期望神经科医生,尤其是神经重症医生,能够领导心脏骤停复苏工作。然而,神经重症监护(NCC)专科住院医生在获取成功领导此类复苏所需的必要技能和知识方面可能面临障碍。为一组学习者创建并应用于新环境的模拟课程(“共享模拟”)是否能促进神经科学习者获得预期成果尚不清楚。

方法

在这项前瞻性的教育干预前后对照研究中,2个中心的NCC专科住院医生完成了课程前的知识和信心评估,并报告了复苏领导方面的障碍。然后,这些专科住院医生领导2例模拟心脏骤停病例,这些病例最初是为内科住院医生设计的,案例经过改编以更好地反映NCC患者群体。干预后立即进行课程后知识和信心评估,并在1至4个月后再次进行评估。比较课程前、干预后立即以及延迟后的信心和知识评估结果。

结果

13名NCC专科住院医生参与了该研究。缺乏复苏领导经验以及未预先被指定为复苏领导者角色是被提及最多的领导复苏的障碍(n = 8/13,61.5%)。分别有38.5%(n = 5/13)和22.2%(n = 2/9)的参与者将缺乏信心和缺乏知识视为障碍。干预后立即评估时,信心和知识得分均有所提高(5点李克特量表中位数[四分位间距]3.5[3.1 - 3.9]对4.1[4.0 - 4.7],P = 0.005;均值[标准差]69.8%[8.8%]对88.5%[7.6%],P = 0.004)。在干预后立即和延迟评估之间未观察到信心或知识衰退(4.1[4.0 - 4.7]对4.1[3.2 - 4.4],P = 0.50;91.7%[6.8%]对81.3%[8.0%],P = 0.08)。

讨论

共享模拟培训提高了学习者在心脏骤停复苏领导方面的信心和知识,并且在其他模拟场景中可能也会产生类似的益处。超过三分之一的NCC专科住院医生将低信心视为复苏领导的障碍,而简短的模拟培训改善了这一情况。

https://cdn.ncbi.nlm.nih.gov/pmc/blobs/642c/12316796/27ce9aeac09d/NE9-2025-200014f2.jpg
https://cdn.ncbi.nlm.nih.gov/pmc/blobs/642c/12316796/b6bca614762c/NE9-2025-200014f1.jpg
https://cdn.ncbi.nlm.nih.gov/pmc/blobs/642c/12316796/27ce9aeac09d/NE9-2025-200014f2.jpg
https://cdn.ncbi.nlm.nih.gov/pmc/blobs/642c/12316796/b6bca614762c/NE9-2025-200014f1.jpg
https://cdn.ncbi.nlm.nih.gov/pmc/blobs/642c/12316796/27ce9aeac09d/NE9-2025-200014f2.jpg

相似文献

1
Education Research: "Simulation Sharing": Use of a Cardiac Arrest Management Course Developed for Medicine Residents Applied to Neurocritical Care Fellows.教育研究:“模拟共享”:为医学住院医师开发的心脏骤停管理课程应用于神经重症监护专科住院医师
Neurol Educ. 2025 Jul 29;4(3):e200228. doi: 10.1212/NE9.0000000000200228. eCollection 2025 Sep.
2
Sexual Harassment and Prevention Training性骚扰与预防培训
3
Falls prevention interventions for community-dwelling older adults: systematic review and meta-analysis of benefits, harms, and patient values and preferences.社区居住的老年人跌倒预防干预措施:系统评价和荟萃分析的益处、危害以及患者的价值观和偏好。
Syst Rev. 2024 Nov 26;13(1):289. doi: 10.1186/s13643-024-02681-3.
4
Interventions for patients and caregivers to improve knowledge of sickle cell disease and recognition of its related complications.针对患者及护理人员的干预措施,以提高对镰状细胞病的认识及其相关并发症的识别能力。
Cochrane Database Syst Rev. 2016 Oct 6;10(10):CD011175. doi: 10.1002/14651858.CD011175.pub2.
5
Critical Care Transport: Blunt Polytrauma in Pregnancy.重症监护转运:妊娠期钝性多发伤
J Educ Teach Emerg Med. 2025 Jul 31;10(3):S1-S24. doi: 10.21980/J81366. eCollection 2025 Jul.
6
Transition of care for adolescents from paediatric services to adult health services.青少年医疗护理从儿科服务向成人健康服务的过渡。
Cochrane Database Syst Rev. 2016 Apr 29;4(4):CD009794. doi: 10.1002/14651858.CD009794.pub2.
7
[Volume and health outcomes: evidence from systematic reviews and from evaluation of Italian hospital data].[容量与健康结果:来自系统评价和意大利医院数据评估的证据]
Epidemiol Prev. 2013 Mar-Jun;37(2-3 Suppl 2):1-100.
8
Digital augmentation of aftercare for patients with anorexia nervosa: the TRIANGLE RCT and economic evaluation.神经性厌食症患者后期护理的数字化增强:TRIANGLE随机对照试验及经济评估
Health Technol Assess. 2025 Jul;29(31):1-162. doi: 10.3310/ADLS3672.
9
Use of endoanal ultrasound for reducing the risk of complications related to anal sphincter injury after vaginal birth.使用经肛门超声降低阴道分娩后肛门括约肌损伤相关并发症的风险。
Cochrane Database Syst Rev. 2015 Oct 29;2015(10):CD010826. doi: 10.1002/14651858.CD010826.pub2.
10
The educational effects of portfolios on undergraduate student learning: a Best Evidence Medical Education (BEME) systematic review. BEME Guide No. 11.档案袋对本科学生学习的教育效果:最佳证据医学教育(BEME)系统评价。BEME指南第11号。
Med Teach. 2009 Apr;31(4):282-98. doi: 10.1080/01421590902889897.

本文引用的文献

1
Simulation in Neurology Residency: Tools to Succeed but Still Mountains to Overcome.神经科住院医师培训中的模拟:通向成功的工具,但仍需克服重重困难。
Neurol Educ. 2024 Nov 14;3(4):e200167. doi: 10.1212/NE9.0000000000200167. eCollection 2024 Dec.
2
Education Research: Utilization of Simulation in Residency Programs: A Survey of Adult Neurology Residency Program Directors.教育研究:住院医师培训项目中模拟教学的应用:对成人神经病学住院医师培训项目主任的一项调查。
Neurol Educ. 2024 Nov 14;3(4):e200156. doi: 10.1212/NE9.0000000000200156. eCollection 2024 Dec.
3
Curriculum Innovation: Design, Implementation, and Evaluation of an Interdisciplinary Teamwork-Focused Neurocritical Care In Situ Simulation Training Program.
课程创新:以跨学科团队合作 为重点的神经重症护理现场模拟培训项目的设计、实施与评估
Neurol Educ. 2024 Apr 12;3(2):e200128. doi: 10.1212/NE9.0000000000200128. eCollection 2024 Jun.
4
Part 1: Executive Summary: 2020 American Heart Association Guidelines for Cardiopulmonary Resuscitation and Emergency Cardiovascular Care.第1部分:执行摘要:2020年美国心脏协会心肺复苏及心血管急救指南。
Circulation. 2020 Oct 20;142(16_suppl_2):S337-S357. doi: 10.1161/CIR.0000000000000918. Epub 2020 Oct 21.
5
How Do Resuscitation Teams at Top-Performing Hospitals for In-Hospital Cardiac Arrest Succeed? A Qualitative Study.顶尖院内心脏骤停救治医院的复苏团队如何取得成功?一项定性研究。
Circulation. 2018 Jul 10;138(2):154-163. doi: 10.1161/CIRCULATIONAHA.118.033674.
6
Resuscitation Education Science: Educational Strategies to Improve Outcomes From Cardiac Arrest: A Scientific Statement From the American Heart Association.复苏教育学:改善心脏骤停复苏结局的教育策略:美国心脏协会科学声明。
Circulation. 2018 Aug 7;138(6):e82-e122. doi: 10.1161/CIR.0000000000000583.
7
Sharing simulation-based training courses between institutions: opportunities and challenges.机构间共享基于模拟的培训课程:机遇与挑战。
Adv Simul (Lond). 2017 Jan 6;2:1. doi: 10.1186/s41077-016-0034-x. eCollection 2017.
8
Learning Theory Foundations of Simulation-Based Mastery Learning.基于模拟的精通学习的学习理论基础
Simul Healthc. 2018 Jun;13(3S Suppl 1):S15-S20. doi: 10.1097/SIH.0000000000000279.
9
SimZones: An Organizational Innovation for Simulation Programs and Centers.模拟区域:模拟项目与中心的组织创新
Acad Med. 2017 Aug;92(8):1114-1120. doi: 10.1097/ACM.0000000000001746.
10
Writing Technical Reports for Simulation in Education for Health Professionals: Suggested Guidelines.为卫生专业人员的教育模拟撰写技术报告:建议指南。
Cureus. 2015 Nov 2;7(11):e371. doi: 10.7759/cureus.371.