Suppr超能文献

预测肺动脉高压妊娠患者孕产妇心血管并发症和新生儿不良结局的列线图模型

A nomogram model for predicting maternal cardiovascular complications and neonatal adverse outcomes in pregnant patients with pulmonary arterial hypertension.

作者信息

Ma Ruilin, Cui Jianjian, Zheng Yanfang, Tao Hui, He Wencong, Yang Zejun, Li Yanan, Zhao Yin

机构信息

Department of Obstetrics and Gynecology, Union Hospital, Tongji Medical College, Huazhong University of Science and Technology, Wuhan, China.

The First Affiliated Hospital of Zhengzhou University, Zhengzhou, China.

出版信息

Ann Med. 2025 Dec;57(1):2541093. doi: 10.1080/07853890.2025.2541093. Epub 2025 Aug 4.

Abstract

BACKGROUND

Pulmonary arterial hypertension (PAH) during pregnancy significantly increases maternal and fetal mortality risk. We developed nomogram prediction models from retrospective data to assess maternal cardiovascular risks and neonatal adverse outcomes.

METHODS

Our study included 170 pregnant women, divided into training (70%) and validation (30%) sets. Predictors of outcomes were identified using logistic regression in the training set, and nomograms were constructed to predict maternal cardiovascular complications and neonatal adverse outcomes. Model performance was evaluated through internal validation.

RESULTS

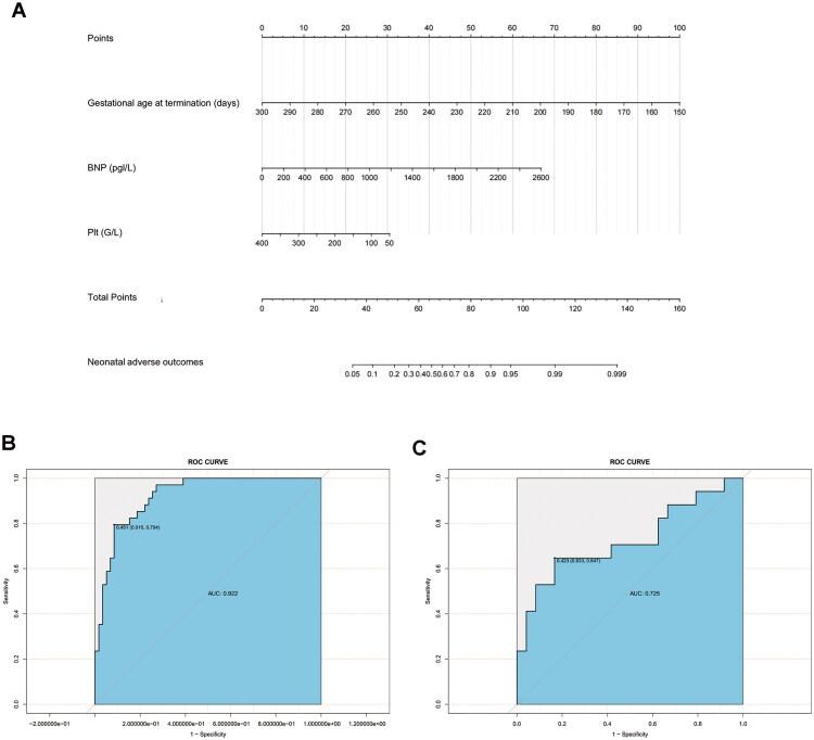
Predictors of cardiovascular complications included severe PAH (OR = 4.80), New York Heart Association (NYHA) classification ≥ III (OR = 25.94), ST-T changes (OR = 25.18), total bilirubin (OR = 1.49), albumin (OR = 0.87) and lactate dehydrogenase level (OR = 1.01). The nomogram showed high predictive accuracy with concordance indices of 0.96 and 0.91, areas under the ROC curve of 0.96 and 0.93. Neonatal outcome predictors included gestational age at termination (OR: 0.93), maternal platelet count level (OR: 0.99), and B-type natriuretic peptide level (OR: 1.00). The corresponding nomogram showed concordance indices in the training set and validation set were 0.92 and 0.73, respectively, with area under the ROC curve values of 0.92 and 0.73.

CONCLUSIONS

Nomogram models based on the above factors useful tools for predicting cardiovascular complications and neonatal adverse outcomes in pregnant women with PAH, potentially aiding in early detection and timely intervention. Further validation is needed to confirm their accuracy in broader clinical settings.

摘要

背景

妊娠期肺动脉高压(PAH)会显著增加母婴死亡风险。我们利用回顾性数据开发了列线图预测模型,以评估孕产妇心血管风险和新生儿不良结局。

方法

我们的研究纳入了170名孕妇,分为训练集(70%)和验证集(30%)。在训练集中使用逻辑回归确定结局的预测因素,并构建列线图以预测孕产妇心血管并发症和新生儿不良结局。通过内部验证评估模型性能。

结果

心血管并发症的预测因素包括重度PAH(OR = 4.80)、纽约心脏协会(NYHA)分级≥III级(OR = 25.94)、ST-T改变(OR = 25.18)、总胆红素(OR = 1.49)、白蛋白(OR = 0.87)和乳酸脱氢酶水平(OR = 1.01)。列线图显示出较高的预测准确性,一致性指数分别为0.96和0.91,ROC曲线下面积分别为0.96和0.93。新生儿结局的预测因素包括终止妊娠时的孕周(OR:0.93)、孕产妇血小板计数水平(OR:0.99)和B型利钠肽水平(OR:1.00)。相应的列线图在训练集和验证集的一致性指数分别为0.92和0.73,ROC曲线下面积值分别为0.92和0.73。

结论

基于上述因素的列线图模型是预测PAH孕妇心血管并发症和新生儿不良结局的有用工具,可能有助于早期发现和及时干预。需要进一步验证以确认其在更广泛临床环境中的准确性。

https://cdn.ncbi.nlm.nih.gov/pmc/blobs/4314/12322992/3850385a7c5c/IANN_A_2541093_F0001_B.jpg

文献检索

告别复杂PubMed语法,用中文像聊天一样搜索,搜遍4000万医学文献。AI智能推荐,让科研检索更轻松。

立即免费搜索

文件翻译

保留排版,准确专业,支持PDF/Word/PPT等文件格式,支持 12+语言互译。

免费翻译文档

深度研究

AI帮你快速写综述,25分钟生成高质量综述,智能提取关键信息,辅助科研写作。

立即免费体验