• 文献检索
  • 文档翻译
  • 深度研究
  • 学术资讯
  • Suppr Zotero 插件Zotero 插件
  • 邀请有礼
  • 套餐&价格
  • 历史记录
应用&插件
Suppr Zotero 插件Zotero 插件浏览器插件Mac 客户端Windows 客户端微信小程序
定价
高级版会员购买积分包购买API积分包
服务
文献检索文档翻译深度研究API 文档MCP 服务
关于我们
关于 Suppr公司介绍联系我们用户协议隐私条款
关注我们

Suppr 超能文献

核心技术专利:CN118964589B侵权必究
粤ICP备2023148730 号-1Suppr @ 2026

文献检索

告别复杂PubMed语法,用中文像聊天一样搜索,搜遍4000万医学文献。AI智能推荐,让科研检索更轻松。

立即免费搜索

文件翻译

保留排版,准确专业,支持PDF/Word/PPT等文件格式,支持 12+语言互译。

免费翻译文档

深度研究

AI帮你快速写综述,25分钟生成高质量综述,智能提取关键信息,辅助科研写作。

立即免费体验

用于预测心脏手术后呼吸衰竭的动态可解释深度学习模型

Dynamic and interpretable deep learning model for predicting respiratory failure following cardiac surgery.

作者信息

Xu Man, Liu Hao, Dai Anran, Tan Qilian, Zhang Xinlong, Ding Rui, Chen Chen, Zou Jianjun, Li Yongjun, Si Yanna

机构信息

Department of Anesthesiology, Perioperative and Pain Medicine, Nanjing First Hospital, Nanjing Medical University, Nanjing, China.

State Key Laboratory of Natural Medicines, Key Laboratory of Drug Metabolism, China Pharmaceutical University, Nanjing, China.

出版信息

BMC Anesthesiol. 2025 Aug 5;25(1):394. doi: 10.1186/s12871-025-03239-z.

DOI:10.1186/s12871-025-03239-z
PMID:40764535
原文链接:https://pmc.ncbi.nlm.nih.gov/articles/PMC12323176/
Abstract

BACKGROUND

Postoperative respiratory failure following cardiac surgery (CS-PRF) remains a critical complication with substantial morbidity and mortality. Current risk prediction models are limited by static assessments and suboptimal accuracy. This study aimed to develop and validate a dynamic, machine learning–based model to enhance perioperative risk stratification for CS-PRF.

METHODS

We retrospectively analyzed 1,016 adult patients who underwent cardiac surgery. Feature selection was conducted via the Least Absolute Shrinkage and Selection Operator (LASSO) and Boruta algorithms. Five machine learning models, including logistic regression, multilayer perceptron, extreme gradient boosting, categorical boosting, and deep neural network (DNN), were trained using preoperative and intraoperative variables. Model performance was evaluated by the area under the receiver operating characteristic curve (AUROC), area under the precision–recall curve (AUPRC), and calibration metrics. Model interpretability was evaluated via SHapley additive exPlanation (SHAP), and restricted cubic spline (RCS) analyses were used to explore nonlinear associations.

RESULTS

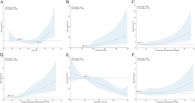
The incidence of CS-PRF was 16.3%. In the validation cohort, the DNN model achieved superior performance, with an AUROC of 0.782 (95% CI 0.703–0.852) and an AUPRC of 0.496 based on preoperative variables, which improved to an AUROC of 0.855 (95% CI 0.796–0.906) and an AUPRC of 0.549 with the addition of intraoperative data. Calibration analysis demonstrated good agreement between predicted and observed risk. SHAP analysis of the preoperative model identified pulmonary artery pressure, age, and preoperative creatinine as key contributors. In the combined model, intraoperative features such as cardiopulmonary bypass duration and autologous blood transfusion volume emerged as additional important predictors. RCS analysis revealed a nonlinear association between age and CS-PRF. A web-based risk calculator integrating DNN predictions and individualized SHAP interpretation was deployed to support clinical decision-making.

CONCLUSIONS

We developed a deep learning model that integrates perioperative variables to predict postoperative respiratory failure following cardiac surgery. Demonstrating high accuracy and interpretability, the model has been deployed as an accessible web-based calculator, offering a practical tool for personalized perioperative risk assessment.

TRIAL REGISTRATION

Not applicable. This study is a retrospective observational study and was not registered as a clinical trial.

SUPPLEMENTARY INFORMATION

The online version contains supplementary material available at 10.1186/s12871-025-03239-z.

摘要

背景

心脏手术后的呼吸衰竭(CS-PRF)仍然是一种严重的并发症,具有较高的发病率和死亡率。目前的风险预测模型受限于静态评估和欠佳的准确性。本研究旨在开发并验证一种基于机器学习的动态模型,以加强对CS-PRF的围手术期风险分层。

方法

我们回顾性分析了1016例接受心脏手术的成年患者。通过最小绝对收缩和选择算子(LASSO)算法和博鲁塔算法进行特征选择。使用术前和术中变量对包括逻辑回归、多层感知器、极端梯度提升、分类提升和深度神经网络(DNN)在内的五种机器学习模型进行训练。通过受试者操作特征曲线下面积(AUROC)、精确召回率曲线下面积(AUPRC)和校准指标评估模型性能。通过SHapley加性解释(SHAP)评估模型可解释性,并使用受限立方样条(RCS)分析探索非线性关联。

结果

CS-PRF的发生率为16.3%。在验证队列中,DNN模型表现优异,基于术前变量的AUROC为0.782(95%CI 0.703–0.852),AUPRC为0.496,加入术中数据后,AUROC提高到0.855(95%CI 0.796–0.906),AUPRC提高到0.549。校准分析表明预测风险与观察到的风险之间具有良好的一致性。术前模型的SHAP分析确定肺动脉压、年龄和术前肌酐为关键因素。在联合模型中,诸如体外循环持续时间和自体输血量等术中特征成为另外的重要预测因素。RCS分析揭示年龄与CS-PRF之间存在非线性关联。部署了一个整合DNN预测和个性化SHAP解释的基于网络的风险计算器,以支持临床决策。

结论

我们开发了一种整合围手术期变量的深度学习模型,用于预测心脏手术后的呼吸衰竭。该模型具有高准确性和可解释性,已作为一个易于访问的基于网络的计算器进行部署,为个性化围手术期风险评估提供了一个实用工具。

试验注册

不适用。本研究是一项回顾性观察性研究,未注册为临床试验。

补充信息

在线版本包含可在10.11

https://cdn.ncbi.nlm.nih.gov/pmc/blobs/5a00/12323176/375dbbe62302/12871_2025_3239_Fig6_HTML.jpg
https://cdn.ncbi.nlm.nih.gov/pmc/blobs/5a00/12323176/270c776a0ee4/12871_2025_3239_Fig1_HTML.jpg
https://cdn.ncbi.nlm.nih.gov/pmc/blobs/5a00/12323176/220c231028e6/12871_2025_3239_Fig3_HTML.jpg
https://cdn.ncbi.nlm.nih.gov/pmc/blobs/5a00/12323176/67fbc8ca2998/12871_2025_3239_Fig5_HTML.jpg
https://cdn.ncbi.nlm.nih.gov/pmc/blobs/5a00/12323176/de6c228f3a5a/12871_2025_3239_Fig4_HTML.jpg
https://cdn.ncbi.nlm.nih.gov/pmc/blobs/5a00/12323176/fe1e01885a1d/12871_2025_3239_Fig2_HTML.jpg
https://cdn.ncbi.nlm.nih.gov/pmc/blobs/5a00/12323176/375dbbe62302/12871_2025_3239_Fig6_HTML.jpg
https://cdn.ncbi.nlm.nih.gov/pmc/blobs/5a00/12323176/270c776a0ee4/12871_2025_3239_Fig1_HTML.jpg
https://cdn.ncbi.nlm.nih.gov/pmc/blobs/5a00/12323176/220c231028e6/12871_2025_3239_Fig3_HTML.jpg
https://cdn.ncbi.nlm.nih.gov/pmc/blobs/5a00/12323176/67fbc8ca2998/12871_2025_3239_Fig5_HTML.jpg
https://cdn.ncbi.nlm.nih.gov/pmc/blobs/5a00/12323176/de6c228f3a5a/12871_2025_3239_Fig4_HTML.jpg
https://cdn.ncbi.nlm.nih.gov/pmc/blobs/5a00/12323176/fe1e01885a1d/12871_2025_3239_Fig2_HTML.jpg
https://cdn.ncbi.nlm.nih.gov/pmc/blobs/5a00/12323176/375dbbe62302/12871_2025_3239_Fig6_HTML.jpg

相似文献

1
Dynamic and interpretable deep learning model for predicting respiratory failure following cardiac surgery.用于预测心脏手术后呼吸衰竭的动态可解释深度学习模型
BMC Anesthesiol. 2025 Aug 5;25(1):394. doi: 10.1186/s12871-025-03239-z.
2
Online interpretable dynamic prediction models for postoperative delirium after cardiac surgery under cardiopulmonary bypass developed based on machine learning algorithms: A retrospective cohort study.基于机器学习算法的体外循环心脏手术后术后谵妄的在线可解释动态预测模型的开发:一项回顾性队列研究。
J Psychosom Res. 2024 Jan;176:111553. doi: 10.1016/j.jpsychores.2023.111553. Epub 2023 Nov 20.
3
Hybrid CNN-Transformer-WOA model with XGBoost-SHAP feature selection for arrhythmia risk prediction in acute myocardial infarction patients.基于XGBoost-SHAP特征选择的混合CNN-Transformer-WOA模型用于急性心肌梗死患者心律失常风险预测
BMC Med Inform Decis Mak. 2025 Aug 6;25(1):291. doi: 10.1186/s12911-025-03127-z.
4
An interpretable machine learning model for predicting bone marrow invasion in patients with lymphoma via F-FDG PET/CT: a multicenter study.一种通过F-FDG PET/CT预测淋巴瘤患者骨髓浸润的可解释机器学习模型:一项多中心研究。
BMC Med Inform Decis Mak. 2025 Jul 15;25(1):264. doi: 10.1186/s12911-025-03110-8.
5
Construction of a risk prediction model for pulmonary infection in patients with spontaneous intracerebral hemorrhage during the recovery phase based on machine learning.基于机器学习构建自发性脑出血患者恢复期肺部感染风险预测模型
Front Neurol. 2025 Jun 18;16:1571755. doi: 10.3389/fneur.2025.1571755. eCollection 2025.
6
Interpretable machine learning-based predictive modeling of patient outcomes following cardiac surgery.基于可解释机器学习的心脏手术后患者预后预测模型
J Thorac Cardiovasc Surg. 2025 Jan;169(1):114-123.e28. doi: 10.1016/j.jtcvs.2023.11.034. Epub 2023 Nov 29.
7
Interpretable noninvasive diagnosis of tuberculous pleural effusion using LGBM and SHAP: development and clinical application of a machine learning model.使用LightGBM和SHAP对结核性胸腔积液进行可解释的无创诊断:机器学习模型的开发与临床应用
PeerJ. 2025 May 20;13:e19411. doi: 10.7717/peerj.19411. eCollection 2025.
8
A risk prediction model for poor joint function recovery after ankle fracture surgery based on interpretable machine learning.基于可解释机器学习的踝关节骨折术后关节功能恢复不良风险预测模型
Front Med (Lausanne). 2025 Jun 26;12:1553274. doi: 10.3389/fmed.2025.1553274. eCollection 2025.
9
Interpretable prediction of hospital mortality in bleeding critically ill patients based on machine learning and SHAP.基于机器学习和SHAP对出血性危重症患者医院死亡率的可解释预测
BMC Med Inform Decis Mak. 2025 Jul 15;25(1):263. doi: 10.1186/s12911-025-03101-9.
10
Development of a risk prediction model for sepsis-related delirium based on multiple machine learning approaches and an online calculator.基于多种机器学习方法和在线计算器开发脓毒症相关性谵妄风险预测模型。
PLoS One. 2025 Jul 16;20(7):e0323831. doi: 10.1371/journal.pone.0323831. eCollection 2025.

本文引用的文献

1
Development and External Validation of a Detection Model to Retrospectively Identify Patients With Acute Respiratory Distress Syndrome.一种用于回顾性识别急性呼吸窘迫综合征患者的检测模型的开发与外部验证
Crit Care Med. 2025 Jun 1;53(6):e1224-e1234. doi: 10.1097/CCM.0000000000006662. Epub 2025 Apr 8.
2
Development and validation of machine learning models for predicting extubation failure in patients undergoing cardiac surgery: a retrospective study.用于预测心脏手术患者拔管失败的机器学习模型的开发与验证:一项回顾性研究
Sci Rep. 2025 Mar 12;15(1):8506. doi: 10.1038/s41598-025-93516-1.
3
New insights into pulmonary arterial hypertension: interaction between PANoptosis and perivascular inflammatory responses.
肺动脉高压的新见解:PAN细胞焦亡与血管周围炎症反应之间的相互作用
Apoptosis. 2025 Feb 20. doi: 10.1007/s10495-025-02086-0.
4
Factors affecting the prolongation of mechanical ventilation in patients after cardiac surgery.影响心脏手术后患者机械通气时间延长的因素。
J Cardiothorac Surg. 2025 Jan 29;20(1):104. doi: 10.1186/s13019-024-03247-z.
5
Shifting Paradigms in the Management of Pulmonary Hypertension.肺动脉高压管理中的范式转变
Eur Cardiol. 2024 Dec 23;19:e25. doi: 10.15420/ecr.2024.11. eCollection 2024.
6
Risk factor of postoperative pulmonary complications after colorectal cancer surgery: an analysis of nationwide inpatient sample.结直肠癌手术后肺部并发症的危险因素:一项基于全国住院患者样本的分析
Sci Rep. 2025 Jan 21;15(1):2717. doi: 10.1038/s41598-024-84758-6.
7
The prognostic value of pulmonary hypertension in intensive care unit patients from Beth Israel Deaconess Medical Center (BIDMC).贝斯以色列女执事医疗中心(BIDMC)重症监护病房患者肺动脉高压的预后价值。
J Cardiothorac Surg. 2025 Jan 6;20(1):29. doi: 10.1186/s13019-024-03301-w.
8
Cardiopulmonary bypass and VA-ECMO induced immune dysfunction: common features and differences, a narrative review.体外循环和 VA-ECMO 诱导的免疫功能障碍:共同特征和差异,叙述性综述。
Crit Care. 2024 Sep 10;28(1):300. doi: 10.1186/s13054-024-05058-z.
9
Prediction models for postoperative pulmonary complications in intensive care unit patients after noncardiac thoracic surgery.非心脏胸外科手术后重症监护病房患者术后肺部并发症的预测模型。
BMC Pulm Med. 2024 Aug 29;24(1):420. doi: 10.1186/s12890-024-03153-z.
10
Tree-based ensemble machine learning models in the prediction of acute respiratory distress syndrome following cardiac surgery: a multicenter cohort study.基于树的集成机器学习模型在心脏手术后急性呼吸窘迫综合征预测中的应用:一项多中心队列研究。
J Transl Med. 2024 Aug 15;22(1):772. doi: 10.1186/s12967-024-05395-1.