Suppr超能文献

与国际相比中国药物经济学出版物的系统评价与质量评估:卫生技术评估的证据基础质量是否足够?

A Systematic Review and Quality Assessment of Pharmacoeconomic Publications for China Compared to Internationally: Is the Quality of Evidence-Base Sufficient for Health Technology Assessment?

作者信息

Fan Zhixin, Si Xu, Wang Zhongxiang, Zhang Liwei, Liu Junyang, He Qing, Franklin Matthew, Sun Qiang, Yin Jia

机构信息

Department of Social Medicine and Health Management, School of Public Health, Cheeloo College of Medicine, Shandong University, Jinan, China.

NHC Key Lab of Health Economics and Policy Research, Shandong University, Jinan, China.

出版信息

Int J Health Policy Manag. 2025;14:8656. doi: 10.34172/ijhpm.8656. Epub 2025 Apr 28.

Abstract

BACKGROUND

Pharmacoeconomic evaluations are becoming more important in China, and their research quality directly impacts government decisions, deserving extra attention. To summarize the quality of pharmacoeconomic publications for China compared to internationally and to identify areas for improvement both from a China-specific and international perspective.

METHODS

First, we conducted a systematic review of pharmacoeconomic publications for China, with subsequent reporting quality assessment based on the Consolidated Health Economic Evaluation Reporting Standards (CHEERS) checklist. Second, we conducted an umbrella review of pharmacoeconomic publications internationally which used a similar quality assessment. We extracted the CHEERS checklist scores for each study and converted them to percentages to facilitate comparison of results.

RESULTS

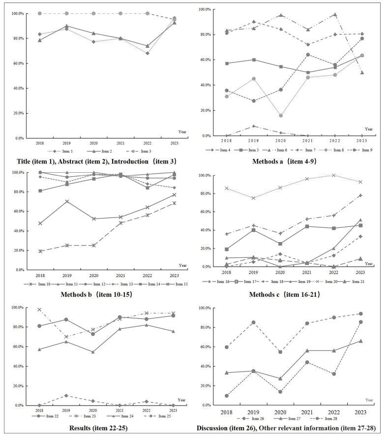
CHEERS 2022 instrument was used to evaluate the quality of 154 pharmacoeconomic publications by Chinese scholars. Across these articles, the average quality score was 61.0%, indicating a moderate level of quality on average. There were 27 (17.5%) high-quality articles, 85 moderate quality articles (55.2%) and 42 low-quality (27.3%) articles. Out of 28 scoring items, those included in the methods section such as: health economic analysis plan, characterizing heterogeneity, characterizing distributional effects, approach to engagement with patients and others affected by the study, got low scores. In addition to the generally lower scores of international articles on items 9 (Time horizon), 18 (Characterizing heterogeneity) and 24 (Effect of uncertainty), Chinese articles also scored lower than international articles on items included in the methods and other relevant information section, eg, health economic analysis plan, perspective, discount rate, analytics and assumptions, characterizing distributional effects, approach to engagement with patients and others affected by the study, source of funding, and conflicts of interest.

CONCLUSION

The quality of China's pharmacoeconomic publications has been improving year by year since the establishment of the National Healthcare Security Administration (NHSA) in 2018, but there is still a quality gap with similar international publications which requires further focus and improvement in study conduct and reporting standards for the evidence-base to be sufficient for health technology assessment (HTA).

摘要

背景

药物经济学评价在中国正变得越来越重要,其研究质量直接影响政府决策,值得格外关注。总结与国际相比中国药物经济学出版物的质量,并从中国特定和国际视角确定改进领域。

方法

首先,我们对中国的药物经济学出版物进行了系统评价,随后根据《卫生经济评价报告统一标准》(CHEERS)清单进行报告质量评估。其次,我们对国际上使用类似质量评估的药物经济学出版物进行了综合评价。我们提取了每项研究的CHEERS清单分数并将其转换为百分比,以便于结果比较。

结果

使用CHEERS 2022工具对中国学者的154篇药物经济学出版物的质量进行了评估。在这些文章中,平均质量分数为61.0%,表明平均质量水平中等。有27篇(17.5%)高质量文章,85篇中等质量文章(55.2%)和42篇低质量文章(27.3%)。在28个评分项目中,方法部分的项目得分较低,如卫生经济分析计划、异质性特征描述、分配效应特征描述、与患者及受研究影响的其他方的参与方式等。除了国际文章在项目9(时间范围)、18(异质性特征描述)和24(不确定性的影响)上普遍得分较低外,中国文章在方法和其他相关信息部分的项目上得分也低于国际文章,例如卫生经济分析计划、视角、贴现率、分析方法和假设、分配效应特征描述、与患者及受研究影响的其他方的参与方式、资金来源和利益冲突。

结论

自2018年国家医疗保障局成立以来,中国药物经济学出版物的质量逐年提高,但与国际同类出版物仍存在质量差距,这需要在研究开展和报告标准方面进一步关注和改进,以使证据基础足以支持卫生技术评估(HTA)。

https://cdn.ncbi.nlm.nih.gov/pmc/blobs/be7b/12257205/2a8f591a1358/ijhpm-14-8656-g001.jpg

文献AI研究员

20分钟写一篇综述,助力文献阅读效率提升50倍。

立即体验

用中文搜PubMed

大模型驱动的PubMed中文搜索引擎

马上搜索

文档翻译

学术文献翻译模型,支持多种主流文档格式。

立即体验