Suppr超能文献

成年女性精神分裂症患者治疗中血清氨磺必利浓度、疗效与糖脂代谢的相关性

Correlation Between Serum Amisulpride Concentration, Therapeutic Efficacy, and Glycolipid Metabolism in the Treatment of Adult Female Schizophrenia.

作者信息

Lin Yajun, Xu Weidong, Yu Lulu, Chen Yingying

机构信息

Department of Laboratory, The Third People's Hospital of Yongkang, 321300 Yongkang, Zhejiang, China.

Ward 4, The Third People's Hospital of Yongkang, 321300 Yongkang, Zhejiang, China.

出版信息

Actas Esp Psiquiatr. 2025 Aug;53(4):640-647. doi: 10.62641/aep.v53i4.1806.

Abstract

BACKGROUND

Amisulpride is a novel atypical antipsychotic (AAP) with slower absorption, metabolism, and excretion in females, potentially leading to elevated plasma concentrations. This study aimed to explore the correlation between serum amisulpride levels and therapeutic efficacy, glycolipid metabolism and side effects in adult female patients with schizophrenia (SCH).

METHODS

A retrospective study was conducted involving 122 adult female SCH patients admitted to the Third People's Hospital of Yongkang between January 2020 and January 2022. Fasting venous blood samples were collected at baseline and 1, 2, 4 and 8 weeks post-treatment with amisulpride. Key parameters measured included serum amisulpride concentration, Brief Psychiatric Rating Scale (BPRS) scores, fasting blood glucose, total cholesterol (TC), triglycerides (TG), high-density lipoprotein (HDL), low-density lipoprotein (LDL), and side effect scores.

RESULTS

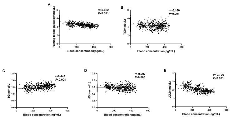
Serum amisulpride levels significantly increased at 2, 4, and 8 weeks compared to the first week (p < 0.05), while BPRS scores significantly decreased at all time points compared to those before treatment (p < 0.05). A strong negative correlation was observed between amisulpride concentration and BPRS scores (r = -0.948, p < 0.001). Significant alterations in fasting blood glucose, TC, TG, HDL, and LDL levels were observed post-treatment (p < 0.05). Serum amisulpride concentration negatively correlated with fasting blood glucose, TC, and LDL (r = -0.622, -0.160, -0.796, respectively, p < 0.001) and positively correlated with TG (r = 0.447, p < 0.001). Side effects scores increased significantly after 2, 4, and 8 weeks compared to the first week (p < 0.05), with amisulpride concentration positively correlating with side effects scores (r = 0.739, p < 0.001).

CONCLUSION

Serum amisulpride levels in female SCH patients are closely correlated with therapeutic efficacy, glycolipid metabolism and incidence of side effects, respectively. Monitoring serum concentrations may provide valuable insights for guiding personalized medication management and optimize treatment outcomes.

摘要

背景

氨磺必利是一种新型非典型抗精神病药物(AAP),女性对其吸收、代谢和排泄较慢,可能导致血浆浓度升高。本研究旨在探讨成年女性精神分裂症(SCH)患者血清氨磺必利水平与治疗效果、糖脂代谢及副作用之间的相关性。

方法

进行一项回顾性研究,纳入2020年1月至2022年1月期间在永康市第三人民医院住院的122例成年女性SCH患者。在基线时以及使用氨磺必利治疗后1、2、4和8周采集空腹静脉血样本。测量的关键参数包括血清氨磺必利浓度、简明精神病评定量表(BPRS)评分、空腹血糖、总胆固醇(TC)、甘油三酯(TG)、高密度脂蛋白(HDL)、低密度脂蛋白(LDL)和副作用评分。

结果

与第一周相比,第2、4和8周时血清氨磺必利水平显著升高(p < 0.05),而所有时间点的BPRS评分与治疗前相比均显著降低(p < 0.05)。氨磺必利浓度与BPRS评分之间存在强烈的负相关(r = -0.948,p < 0.001)。治疗后空腹血糖、TC、TG、HDL和LDL水平出现显著变化(p < 0.05)。血清氨磺必利浓度与空腹血糖、TC和LDL呈负相关(分别为r = -0.622、-0.160、-0.796,p < 0.001),与TG呈正相关(r = 0.447,p < 0.001)。与第一周相比,第2、4和8周后副作用评分显著增加(p < 0.05),氨磺必利浓度与副作用评分呈正相关(r = 0.739,p < 0.001)。

结论

女性SCH患者的血清氨磺必利水平分别与治疗效果、糖脂代谢和副作用发生率密切相关。监测血清浓度可为指导个体化药物管理和优化治疗结果提供有价值的见解。

https://cdn.ncbi.nlm.nih.gov/pmc/blobs/f753/12353243/b6fd594f2533/ActEsp-53-4-640-647-F1.jpg

文献AI研究员

20分钟写一篇综述,助力文献阅读效率提升50倍。

立即体验

用中文搜PubMed

大模型驱动的PubMed中文搜索引擎

马上搜索

文档翻译

学术文献翻译模型,支持多种主流文档格式。

立即体验