• 文献检索
  • 文档翻译
  • 深度研究
  • 学术资讯
  • Suppr Zotero 插件Zotero 插件
  • 邀请有礼
  • 套餐&价格
  • 历史记录
应用&插件
Suppr Zotero 插件Zotero 插件浏览器插件Mac 客户端Windows 客户端微信小程序
定价
高级版会员购买积分包购买API积分包
服务
文献检索文档翻译深度研究API 文档MCP 服务
关于我们
关于 Suppr公司介绍联系我们用户协议隐私条款
关注我们

Suppr 超能文献

核心技术专利:CN118964589B侵权必究
粤ICP备2023148730 号-1Suppr @ 2026

文献检索

告别复杂PubMed语法,用中文像聊天一样搜索,搜遍4000万医学文献。AI智能推荐,让科研检索更轻松。

立即免费搜索

文件翻译

保留排版,准确专业,支持PDF/Word/PPT等文件格式,支持 12+语言互译。

免费翻译文档

深度研究

AI帮你快速写综述,25分钟生成高质量综述,智能提取关键信息,辅助科研写作。

立即免费体验

预测肿瘤细胞减灭术和腹腔热灌注化疗术后并发症:一项回顾性队列研究。

Predicting postoperative complications after cytoreductive surgery and hyperthermic intraperitoneal chemotherapy: retrospective cohort study.

作者信息

Martin-Roman Lorena, Kusamura Shigeki, Guaglio Marcello, Colletti Gaia, Cavalleri Tommaso, Deraco Marcello, Baratti Dario

机构信息

Department of Surgery, Colorectal and Peritoneal Oncology Centre, Christie Foundation Trust, Manchester, UK.

Peritoneal Malignancy Program, Department of Surgery, Fondazione IRCCS Istituto Nazionale dei Tumori, Milan, Italy.

出版信息

BJS Open. 2025 Jul 1;9(4). doi: 10.1093/bjsopen/zraf064.

DOI:10.1093/bjsopen/zraf064
PMID:40794562
原文链接:https://pmc.ncbi.nlm.nih.gov/articles/PMC12342451/
Abstract

BACKGROUND

Cytoreductive surgery and hyperthermic intraperitoneal chemotherapy is an effective but potentially highly morbid treatment option for peritoneal surface malignancies. Adequate risk assessment is fundamental for clinical decision-making and informed patient consent. The aim of this study was to construct a validated nomogram predicting the risk of severe postoperative complications based exclusively on preoperative variables.

METHODS

A prospective database of patients undergoing cytoreductive surgery and hyperthermic intraperitoneal chemotherapy in a single institution between February 1995 and April 2023 was reviewed. The cohort was divided randomly into derivation and validation cohorts (70 : 30). The primary outcome measure was postoperative complications (National Cancer Institute Common Terminology Criteria for Adverse Events grade ≥ 3). Binary logistic regression identified preoperative variables significantly associated with postoperative morbidity. A nomogram was constructed based on the results of the multivariable analysis. The model's performance was evaluated on the validation cohort by receiver operating characteristic curve analysis.

RESULTS

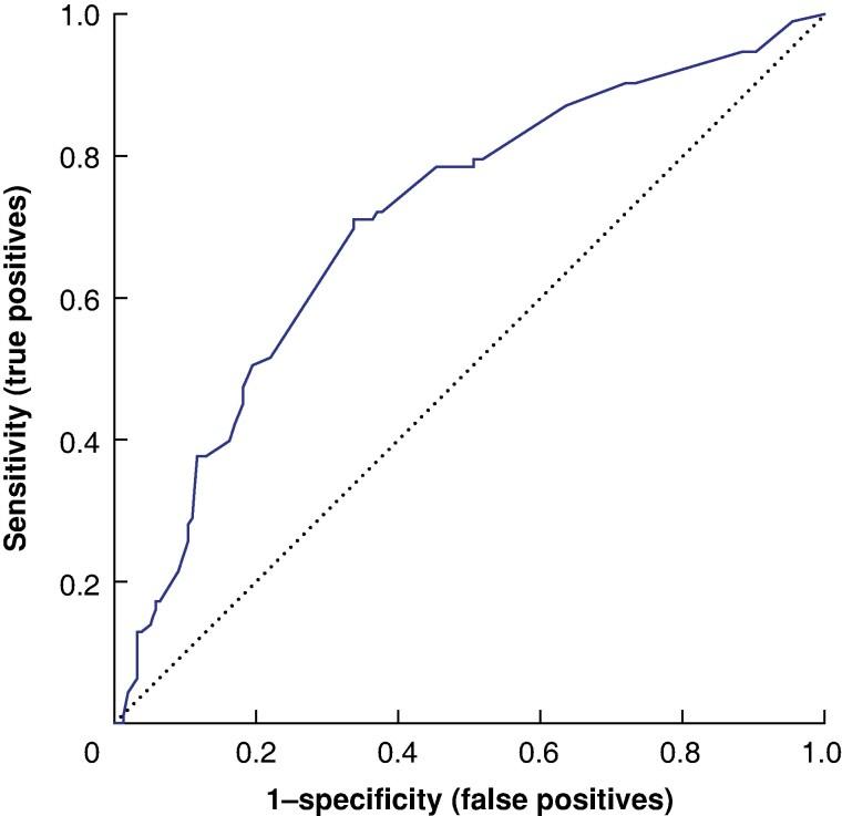
A total of 1039 patients were analysed. The majority of the patients were female (58.8%) and the median age was 56 (interquartile range 46-64) years. The postoperative complication rate was 37.7%, and the reoperation rate 12.7%. A nomogram was constructed based on the following predictive factors: age, body mass index, high-grade histology, disease identified in the left upper quadrant and surrounding the stomach and small bowel mesentery on preoperative imaging, preoperative white blood cell count, and Onodera nutritional index score. Receiver operating characteristic curve analysis showed an area under the curve of 0.707 with accurate calibration curves.

CONCLUSION

Preoperative variables were selected and included in a simple nomogram predicting the risk of postoperative complications. This nomogram could aid clinicians in decision-making and patients in making informed decisions.

摘要

背景

细胞减灭术及腹腔内热灌注化疗是治疗腹膜表面恶性肿瘤的一种有效但潜在并发症发生率很高的治疗选择。充分的风险评估是临床决策和患者知情同意的基础。本研究的目的是构建一个仅基于术前变量预测术后严重并发症风险的有效列线图。

方法

回顾了1995年2月至2023年4月在单一机构接受细胞减灭术及腹腔内热灌注化疗患者的前瞻性数据库。该队列被随机分为推导队列和验证队列(70:30)。主要结局指标为术后并发症(美国国立癌症研究所不良事件通用术语标准≥3级)。二元逻辑回归确定与术后发病显著相关的术前变量。基于多变量分析结果构建列线图。通过受试者工作特征曲线分析在验证队列中评估模型的性能。

结果

共分析了1039例患者。大多数患者为女性(58.8%),中位年龄为56岁(四分位间距46 - 64岁)。术后并发症发生率为37.7%,再次手术率为12.7%。基于以下预测因素构建列线图:年龄、体重指数、高级别组织学类型、术前影像学检查中左上象限及胃和小肠系膜周围发现的疾病、术前白细胞计数和小野寺营养指数评分。受试者工作特征曲线分析显示曲线下面积为0.707,校准曲线准确。

结论

选择术前变量并纳入一个简单的列线图来预测术后并发症风险。该列线图可帮助临床医生进行决策并帮助患者做出知情决策。

https://cdn.ncbi.nlm.nih.gov/pmc/blobs/9697/12342451/eadd39f20b22/zraf064f4.jpg
https://cdn.ncbi.nlm.nih.gov/pmc/blobs/9697/12342451/66a1d92923c3/zraf064f1.jpg
https://cdn.ncbi.nlm.nih.gov/pmc/blobs/9697/12342451/ae0169216394/zraf064f2.jpg
https://cdn.ncbi.nlm.nih.gov/pmc/blobs/9697/12342451/6bc27c2ca177/zraf064f3.jpg
https://cdn.ncbi.nlm.nih.gov/pmc/blobs/9697/12342451/eadd39f20b22/zraf064f4.jpg
https://cdn.ncbi.nlm.nih.gov/pmc/blobs/9697/12342451/66a1d92923c3/zraf064f1.jpg
https://cdn.ncbi.nlm.nih.gov/pmc/blobs/9697/12342451/ae0169216394/zraf064f2.jpg
https://cdn.ncbi.nlm.nih.gov/pmc/blobs/9697/12342451/6bc27c2ca177/zraf064f3.jpg
https://cdn.ncbi.nlm.nih.gov/pmc/blobs/9697/12342451/eadd39f20b22/zraf064f4.jpg

相似文献

1
Predicting postoperative complications after cytoreductive surgery and hyperthermic intraperitoneal chemotherapy: retrospective cohort study.预测肿瘤细胞减灭术和腹腔热灌注化疗术后并发症:一项回顾性队列研究。
BJS Open. 2025 Jul 1;9(4). doi: 10.1093/bjsopen/zraf064.
2
Comparison of Two Modern Survival Prediction Tools, SORG-MLA and METSSS, in Patients With Symptomatic Long-bone Metastases Who Underwent Local Treatment With Surgery Followed by Radiotherapy and With Radiotherapy Alone.两种现代生存预测工具 SORG-MLA 和 METSSS 在接受手术联合放疗和单纯放疗治疗有症状长骨转移患者中的比较。
Clin Orthop Relat Res. 2024 Dec 1;482(12):2193-2208. doi: 10.1097/CORR.0000000000003185. Epub 2024 Jul 23.
3
A prediction model for persistent postoperative frailty in older patients undergoing elective orthopedic surgery.择期骨科手术老年患者术后持续性衰弱的预测模型
Medicine (Baltimore). 2025 Aug 1;104(31):e43500. doi: 10.1097/MD.0000000000043500.
4
Are Current Survival Prediction Tools Useful When Treating Subsequent Skeletal-related Events From Bone Metastases?当前的生存预测工具在治疗骨转移后的骨骼相关事件时有用吗?
Clin Orthop Relat Res. 2024 Sep 1;482(9):1710-1721. doi: 10.1097/CORR.0000000000003030. Epub 2024 Mar 22.
5
Development and validation of a nomogram combining cytokines with traditional clinical parameters in predicting the risk of postoperative sepsis after ureteroscopic lithotripsy.一种结合细胞因子与传统临床参数的列线图在预测输尿管镜碎石术后脓毒症风险中的开发与验证
Ren Fail. 2025 Dec;47(1):2513001. doi: 10.1080/0886022X.2025.2513001. Epub 2025 Jun 23.
6
Risk factors for postoperative complications in patients undergoing cytoreductive surgery combined with hyperthermic intraperitoneal chemotherapy: A meta-analysis and systematic review.行细胞减灭术联合腹腔热灌注化疗患者术后并发症的危险因素:荟萃分析和系统评价。
Int J Colorectal Dis. 2024 Oct 18;39(1):167. doi: 10.1007/s00384-024-04741-5.
7
A Prospective Observational Study on Compliance with Enhanced Recovery Pathways and Their Impact on Postoperative Outcomes Following Cytoreductive Surgery and Hyperthermic Intraperitoneal Chemotherapy.一项关于遵循强化康复路径及其对减瘤手术和热灌注化疗术后结局影响的前瞻性观察研究。
J Gastrointest Cancer. 2025 Jul 16;56(1):155. doi: 10.1007/s12029-025-01275-z.
8
Risk stratification system and visualized dynamic nomogram constructed for predicting postoperative pneumonia in geriatric patients with hip fracture.用于预测老年髋部骨折患者术后肺炎的风险分层系统及可视化动态列线图构建。
Eur J Med Res. 2025 Jul 7;30(1):589. doi: 10.1186/s40001-025-02710-4.
9
Postoperative leukopenia after cytoreductive surgery and hypertherm intraperitoneal chemotherapy for colorectal carcinomatosis- causes and implication on outcomes in a population-based study.减瘤手术联合腹腔内热化疗治疗结直肠癌肝转移术后白细胞减少症——一项基于人群研究中的病因及对预后的影响
World J Surg Oncol. 2025 Apr 29;23(1):173. doi: 10.1186/s12957-025-03821-2.
10
Nomogram for prediction of severe postoperative complications in elective hepato-pancreato-biliary surgery after COVID-19 breakthrough infection: A large multicenter study.新冠病毒突破性感染后择期肝胰胆手术严重术后并发症预测列线图:一项大型多中心研究
Hepatobiliary Pancreat Dis Int. 2025 Apr;24(2):147-156. doi: 10.1016/j.hbpd.2024.09.009. Epub 2024 Oct 2.

本文引用的文献

1
Predicting Severe Complications from Cytoreductive Surgery with Hyperthermic Intraperitoneal Chemotherapy: A Data-Driven, Machine Learning Approach to Augment Clinical Judgment.从细胞减灭术联合腹腔内热灌注化疗预测严重并发症:一种增强临床判断的数据驱动、机器学习方法。
Ann Surg Oncol. 2023 Sep;30(9):5433-5442. doi: 10.1245/s10434-023-13657-3. Epub 2023 Jun 2.
2
Complications and Mortality Rate of Cytoreductive Surgery with Hyperthermic Intraperitoneal Chemotherapy: Italian Peritoneal Surface Malignancies Oncoteam Results Analysis.减瘤手术联合热灌注腹腔化疗的并发症及死亡率:意大利腹膜表面恶性肿瘤肿瘤治疗团队结果分析
Cancers (Basel). 2022 Nov 25;14(23):5824. doi: 10.3390/cancers14235824.
3
Development and Validation of an Explainable Machine Learning Model for Major Complications After Cytoreductive Surgery.
细胞减灭术后主要并发症的可解释机器学习模型的开发和验证。
JAMA Netw Open. 2022 May 2;5(5):e2212930. doi: 10.1001/jamanetworkopen.2022.12930.
4
Survival and complications of cytoreductive surgery and hyperthermic intraperitoneal chemotherapy in elderly patients: a systematic review and meta-analysis.老年患者细胞减灭术和腹腔内热化疗的生存和并发症:系统评价和荟萃分析。
Eur Rev Med Pharmacol Sci. 2021 Sep;25(17):5330-5348. doi: 10.26355/eurrev_202109_26640.
5
Guidelines for Perioperative Care in Cytoreductive Surgery (CRS) with or without hyperthermic IntraPEritoneal chemotherapy (HIPEC): Enhanced recovery after surgery (ERAS®) Society Recommendations - Part I: Preoperative and intraoperative management.细胞减灭术(CRS)联合或不联合腹腔内热灌注化疗(HIPEC)围手术期护理指南:手术后加速康复(ERAS®)协会推荐 - 第一部分:术前和术中管理。
Eur J Surg Oncol. 2020 Dec;46(12):2292-2310. doi: 10.1016/j.ejso.2020.07.041. Epub 2020 Aug 25.
6
Guidelines for Perioperative Care in Cytoreductive Surgery (CRS) with or without hyperthermic IntraPEritoneal chemotherapy (HIPEC): Enhanced Recovery After Surgery (ERAS®) Society Recommendations - Part II: Postoperative management and special considerations.细胞减灭术 (CRS) 联合或不联合腹腔内热灌注化疗 (HIPEC) 的围手术期护理指南:术后快速康复 (ERAS®) 协会推荐 - 第二部分:术后管理和特殊注意事项。
Eur J Surg Oncol. 2020 Dec;46(12):2311-2323. doi: 10.1016/j.ejso.2020.08.006. Epub 2020 Aug 13.
7
Systematic Review of Factors Affecting Quality of Life After Cytoreductive Surgery with Hyperthermic Intraperitoneal Chemotherapy.细胞减灭术联合腹腔内热灌注化疗后生活质量影响因素的系统评价。
Ann Surg Oncol. 2020 Oct;27(10):3973-3983. doi: 10.1245/s10434-020-08379-9. Epub 2020 Apr 26.
8
Surgeons' Ability to Predict the Extent of Surgery Prior to Cytoreductive Surgery with Hyperthermic Intraperitoneal Chemotherapy.外科医生在腹腔热灌注化疗前预测细胞减灭术范围的能力。
Ann Surg Oncol. 2020 Aug;27(8):2997-3008. doi: 10.1245/s10434-020-08237-8. Epub 2020 Feb 12.
9
Diaphragmatic Peritoneal Stripping Versus Full-Thickness Resection in CRS/HIPEC: Is There a Difference?CRS/HIPEC 中膈肌腹膜剥离与全层切除术:有区别吗?
Ann Surg Oncol. 2020 Jan;27(1):250-258. doi: 10.1245/s10434-019-07797-8. Epub 2019 Sep 9.
10
Identifying the incidence of respiratory complications following diaphragmatic cytoreduction and hyperthermic intraoperative intraperitoneal chemotherapy.识别膈肌细胞减灭术和术中高热腹腔内化疗后呼吸并发症的发生率。
Clin Transl Oncol. 2020 Jun;22(6):852-859. doi: 10.1007/s12094-019-02195-8. Epub 2019 Aug 7.