• 文献检索
  • 文档翻译
  • 深度研究
  • 学术资讯
  • Suppr Zotero 插件Zotero 插件
  • 邀请有礼
  • 套餐&价格
  • 历史记录
应用&插件
Suppr Zotero 插件Zotero 插件浏览器插件Mac 客户端Windows 客户端微信小程序
定价
高级版会员购买积分包购买API积分包
服务
文献检索文档翻译深度研究API 文档MCP 服务
关于我们
关于 Suppr公司介绍联系我们用户协议隐私条款
关注我们

Suppr 超能文献

核心技术专利:CN118964589B侵权必究
粤ICP备2023148730 号-1Suppr @ 2026

文献检索

告别复杂PubMed语法,用中文像聊天一样搜索,搜遍4000万医学文献。AI智能推荐,让科研检索更轻松。

立即免费搜索

文件翻译

保留排版,准确专业,支持PDF/Word/PPT等文件格式,支持 12+语言互译。

免费翻译文档

深度研究

AI帮你快速写综述,25分钟生成高质量综述,智能提取关键信息,辅助科研写作。

立即免费体验

不同加载模式下竹篾层积材填充钢管(BSFST)柱的轴向压缩性能

Axial Compression Behavior of Bamboo Scrimber-Filled Steel Tubular (BSFST) Column Under Different Loading Modes.

作者信息

Xing Ze, Wei Yang, Zhao Kang, Lu Jinwei, Wei Baoxing, Lin Yu

机构信息

College of Civil Engineering, Nanjing Forestry University, Nanjing 210037, China.

Jiangsu Carbon Sequestration Materials and Structural Technology of Bamboo & Wood Research Center, Nanjing Forestry University, Nanjing 210037, China.

出版信息

Materials (Basel). 2025 Jul 31;18(15):3607. doi: 10.3390/ma18153607.

DOI:10.3390/ma18153607
PMID:40805481
原文链接:https://pmc.ncbi.nlm.nih.gov/articles/PMC12348624/
Abstract

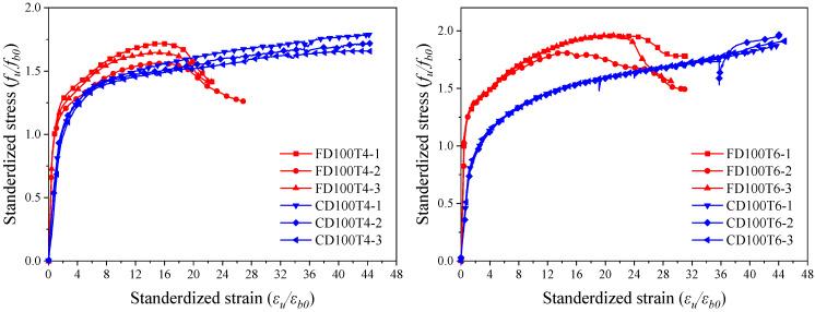
Bamboo scrimber is an environmentally friendly biomass building material with excellent mechanical properties. However, it is susceptible to delamination failure of the transverse fibers under compression, which limits its structural performance. To address this problem, this study utilizes steel tubes to encase bamboo scrimber, forming a novel bamboo scrimber-filled steel tubular column. This configuration enables the steel tube to provide effective lateral restraint to the bamboo material. Axial compression tests were conducted on 18 specimens, including bamboo scrimber columns and bamboo scrimber-filled steel tubular columns, to investigate the effects of steel ratio and loading mode (full-section and core loading) on the axial compression performance. The test results indicate that the external steel tubes significantly enhance the structural load-bearing capacity and deformation capacity. Primary failure modes of the composite columns include shear failure and buckling. The ultimate stress and strain of the structure are positively correlated with the steel ratio; as the steel ratio increases, the ultimate stress of the specimens can increase by up to 19.2%, while the ultimate strain can increase by up to 37.7%. The core-loading specimens exhibited superior load-bearing capacity and deformation ability compared to the full-section-loading specimens. Considering the differences in the curves for full-section and core loading, the steel tube confinement coefficient was introduced, and the predictive models for the ultimate stress and ultimate strain of the bamboo scrimber-filled steel tubular column were developed with accurate prediction.

摘要

竹篾层积材是一种具有优异力学性能的环保型生物质建筑材料。然而,它在受压时横向纤维容易发生分层破坏,这限制了其结构性能。为了解决这个问题,本研究采用钢管包裹竹篾层积材,形成一种新型的钢管内填竹篾层积材柱。这种结构使钢管能够为竹材提供有效的横向约束。对包括竹篾层积材柱和钢管内填竹篾层积材柱在内的18个试件进行了轴向压缩试验,以研究含钢率和加载方式(全截面加载和核心加载)对轴向压缩性能的影响。试验结果表明,外部钢管显著提高了结构的承载能力和变形能力。组合柱的主要破坏模式包括剪切破坏和屈曲。结构的极限应力和应变与含钢率呈正相关;随着含钢率的增加,试件的极限应力可提高达19.2%,而极限应变可提高达37.7%。与全截面加载试件相比,核心加载试件表现出更好的承载能力和变形能力。考虑到全截面加载和核心加载曲线的差异,引入了钢管约束系数,并建立了钢管内填竹篾层积材柱极限应力和极限应变的预测模型,预测精度较高。

https://cdn.ncbi.nlm.nih.gov/pmc/blobs/aa2a/12348624/9a872bdc95c0/materials-18-03607-g012.jpg
https://cdn.ncbi.nlm.nih.gov/pmc/blobs/aa2a/12348624/39c35454e0f6/materials-18-03607-g001.jpg
https://cdn.ncbi.nlm.nih.gov/pmc/blobs/aa2a/12348624/6b1e47ca2fe3/materials-18-03607-g002.jpg
https://cdn.ncbi.nlm.nih.gov/pmc/blobs/aa2a/12348624/48685b3f10c5/materials-18-03607-g003.jpg
https://cdn.ncbi.nlm.nih.gov/pmc/blobs/aa2a/12348624/b05d50329f28/materials-18-03607-g004.jpg
https://cdn.ncbi.nlm.nih.gov/pmc/blobs/aa2a/12348624/d716e040b0ca/materials-18-03607-g005.jpg
https://cdn.ncbi.nlm.nih.gov/pmc/blobs/aa2a/12348624/facf49be9836/materials-18-03607-g006.jpg
https://cdn.ncbi.nlm.nih.gov/pmc/blobs/aa2a/12348624/055000c4c491/materials-18-03607-g007.jpg
https://cdn.ncbi.nlm.nih.gov/pmc/blobs/aa2a/12348624/81570d8f38ce/materials-18-03607-g008.jpg
https://cdn.ncbi.nlm.nih.gov/pmc/blobs/aa2a/12348624/ab63b5dc87f6/materials-18-03607-g009.jpg
https://cdn.ncbi.nlm.nih.gov/pmc/blobs/aa2a/12348624/7ca58ab47213/materials-18-03607-g010.jpg
https://cdn.ncbi.nlm.nih.gov/pmc/blobs/aa2a/12348624/368dcaa4d0e9/materials-18-03607-g011.jpg
https://cdn.ncbi.nlm.nih.gov/pmc/blobs/aa2a/12348624/9a872bdc95c0/materials-18-03607-g012.jpg
https://cdn.ncbi.nlm.nih.gov/pmc/blobs/aa2a/12348624/39c35454e0f6/materials-18-03607-g001.jpg
https://cdn.ncbi.nlm.nih.gov/pmc/blobs/aa2a/12348624/6b1e47ca2fe3/materials-18-03607-g002.jpg
https://cdn.ncbi.nlm.nih.gov/pmc/blobs/aa2a/12348624/48685b3f10c5/materials-18-03607-g003.jpg
https://cdn.ncbi.nlm.nih.gov/pmc/blobs/aa2a/12348624/b05d50329f28/materials-18-03607-g004.jpg
https://cdn.ncbi.nlm.nih.gov/pmc/blobs/aa2a/12348624/d716e040b0ca/materials-18-03607-g005.jpg
https://cdn.ncbi.nlm.nih.gov/pmc/blobs/aa2a/12348624/facf49be9836/materials-18-03607-g006.jpg
https://cdn.ncbi.nlm.nih.gov/pmc/blobs/aa2a/12348624/055000c4c491/materials-18-03607-g007.jpg
https://cdn.ncbi.nlm.nih.gov/pmc/blobs/aa2a/12348624/81570d8f38ce/materials-18-03607-g008.jpg
https://cdn.ncbi.nlm.nih.gov/pmc/blobs/aa2a/12348624/ab63b5dc87f6/materials-18-03607-g009.jpg
https://cdn.ncbi.nlm.nih.gov/pmc/blobs/aa2a/12348624/7ca58ab47213/materials-18-03607-g010.jpg
https://cdn.ncbi.nlm.nih.gov/pmc/blobs/aa2a/12348624/368dcaa4d0e9/materials-18-03607-g011.jpg
https://cdn.ncbi.nlm.nih.gov/pmc/blobs/aa2a/12348624/9a872bdc95c0/materials-18-03607-g012.jpg

相似文献

1
Axial Compression Behavior of Bamboo Scrimber-Filled Steel Tubular (BSFST) Column Under Different Loading Modes.不同加载模式下竹篾层积材填充钢管(BSFST)柱的轴向压缩性能
Materials (Basel). 2025 Jul 31;18(15):3607. doi: 10.3390/ma18153607.
2
Prescription of Controlled Substances: Benefits and Risks管制药品的处方:益处与风险
3
Considering the bonding shear strength and flexural performance of bamboo scrimber bonded with magnesium oxysulfates adhesives of different properties.考虑不同性能的硫酸镁胶粘剂粘结竹篾层积材的粘结抗剪强度和弯曲性能。
Sci Rep. 2025 Jul 17;15(1):25952. doi: 10.1038/s41598-025-11150-3.
4
[Effect of different bone grafting methods and internal fixation on mechanical stability of Schatzker type tibial plateau fracture].[不同植骨方法及内固定对Schatzker型胫骨平台骨折力学稳定性的影响]
Zhongguo Xiu Fu Chong Jian Wai Ke Za Zhi. 2025 Jul 15;39(7):807-813. doi: 10.7507/1002-1892.202505055.
5
Numerical simulation on residual axial compression bearing capacity of square in square CFDST columns after lateral impact.方钢管内填混凝土柱受侧向冲击后剩余轴向抗压承载力的数值模拟
Sci Rep. 2025 Jul 5;15(1):24042. doi: 10.1038/s41598-025-09485-y.
6
Structural adaptations of curved-stem moso bamboo: tissue specialization for resilience under mechanical stress.弯曲茎毛竹的结构适应性:机械应力下组织特化以增强韧性
Acta Biomater. 2025 Aug;202:365-376. doi: 10.1016/j.actbio.2025.07.020. Epub 2025 Jul 9.
7
Mechanical Characteristics of 26H2MF and St12T Steels Under Torsion at Elevated Temperatures.26H2MF和St12T钢在高温扭转下的力学特性
Materials (Basel). 2025 Jul 7;18(13):3204. doi: 10.3390/ma18133204.
8
Degradation of Axial Ultimate Load-Bearing Capacity of Circular Thin-Walled Concrete-Filled Steel Tubular Stub Columns after Corrosion.锈蚀后圆钢管混凝土短柱轴向极限承载力的退化
Materials (Basel). 2020 Feb 10;13(3):795. doi: 10.3390/ma13030795.
9
Compressive Failure Mechanism of Structural Bamboo Scrimber.结构竹集成材的压缩破坏机制
Polymers (Basel). 2021 Dec 2;13(23):4223. doi: 10.3390/polym13234223.
10
An improved plastination method for strengthening bamboo culms, without compromising biodegradability.一种改进的竹材增强塑化方法,在不影响生物降解性的情况下。
Sci Rep. 2023 Apr 6;13(1):5640. doi: 10.1038/s41598-023-32662-w.