Suppr超能文献

[具体物质]对胰高血糖素样肽-1(GLP-1)和胰岛素分泌的影响。 需注意,原文中“Effect of on”部分缺少具体物质,以上译文补充了通用表述以使句子完整。

Effect of on GLP-1 and Insulin Secretion.

作者信息

Arukha Ananta Prasad, Nayak Subhendu, Swain Durga Madhab

机构信息

Department of Infectious Disease and Immunology, University of Florida, Gainesville, FL 32608, USA.

Vidya USA Corporation, 7 Otis Stone Hunter Road, Bunnell, FL 32100, USA.

出版信息

Nutrients. 2025 Jul 31;17(15):2516. doi: 10.3390/nu17152516.

Abstract

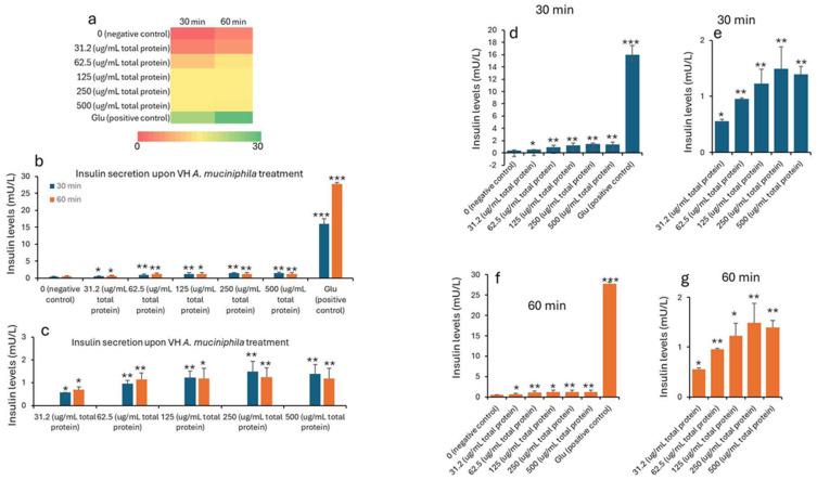
Gut microbiota research has gained momentum in recent years broadening knowledge of microbial components and their potential effects on health and well-being. Strong association between explicit microbes and metabolic diseases associated with obesity and type 2 diabetes mellitus, gastrointestinal disorders, neurodegenerative diseases, and even cancers have been established. is a budding next-generation probiotic that plays an important role in systemic metabolism, intestinal health, and immune regulation, establishing strong implications for its use as a potent therapeutic intervention in diverse diseases. This project aimed at evaluating whether bacterial cell extracts of VH (Vidya Strain; VS) can stimulate insulin secretion in INS-1 pancreatic beta cells and GLP-1 secretion in NCI-H716 human L-cells, both established in vitro models for studying metabolic regulation. Cultured VH extracts were administered in a dose-dependent manner on INS-1 cells, and glucose-stimulated insulin secretion (GSIS) was measured via ELISA. Treated Human L-cell lines (NCI-H716) were analyzed for GLP-1 secretion. Our study demonstrated that VH extracts modestly increase insulin secretion from INS-1 beta cells and, more notably, induce a robust, dose-dependent rise in GLP-1 secretion from NCI-H716 L-cells, with the highest dose achieving over a 2000% increase comparable to glutamine. These findings suggest that VH extracts may offer metabolic benefits by enhancing GLP-1 release, highlighting their potential for managing type 2 diabetes and obesity.

摘要

近年来,肠道微生物群研究发展迅速,拓宽了我们对微生物成分及其对健康和幸福潜在影响的认识。已证实特定微生物与肥胖症、2型糖尿病、胃肠道疾病、神经退行性疾病甚至癌症等代谢性疾病之间存在密切关联。VH(Vidya菌株;VS)是一种新兴的下一代益生菌,在全身代谢、肠道健康和免疫调节中发挥重要作用,这使其作为多种疾病的有效治疗干预手段具有重要意义。本项目旨在评估VH的细菌细胞提取物是否能刺激INS-1胰腺β细胞分泌胰岛素以及NCI-H716人L细胞分泌胰高血糖素样肽-1(GLP-1),这两种细胞都是用于研究代谢调节的体外模型。将培养的VH提取物以剂量依赖的方式作用于INS-1细胞,并通过酶联免疫吸附测定法(ELISA)测量葡萄糖刺激的胰岛素分泌(GSIS)。对处理过的人L细胞系(NCI-H716)进行GLP-1分泌分析。我们的研究表明,VH提取物适度增加INS-1β细胞的胰岛素分泌,更值得注意地是,能诱导NCI-H716 L细胞的GLP-1分泌出现强劲的剂量依赖性增加,最高剂量时增加超过2000%,与谷氨酰胺相当。这些发现表明,VH提取物可能通过增强GLP-1释放提供代谢益处,突出了其在管理2型糖尿病和肥胖症方面的潜力。

https://cdn.ncbi.nlm.nih.gov/pmc/blobs/1528/12348610/29a4f666b435/nutrients-17-02516-g001.jpg

文献检索

告别复杂PubMed语法,用中文像聊天一样搜索,搜遍4000万医学文献。AI智能推荐,让科研检索更轻松。

立即免费搜索

文件翻译

保留排版,准确专业,支持PDF/Word/PPT等文件格式,支持 12+语言互译。

免费翻译文档

深度研究

AI帮你快速写综述,25分钟生成高质量综述,智能提取关键信息,辅助科研写作。

立即免费体验