• 文献检索
  • 文档翻译
  • 深度研究
  • 学术资讯
  • Suppr Zotero 插件Zotero 插件
  • 邀请有礼
  • 套餐&价格
  • 历史记录
应用&插件
Suppr Zotero 插件Zotero 插件浏览器插件Mac 客户端Windows 客户端微信小程序
定价
高级版会员购买积分包购买API积分包
服务
文献检索文档翻译深度研究API 文档MCP 服务
关于我们
关于 Suppr公司介绍联系我们用户协议隐私条款
关注我们

Suppr 超能文献

核心技术专利:CN118964589B侵权必究
粤ICP备2023148730 号-1Suppr @ 2026

文献检索

告别复杂PubMed语法,用中文像聊天一样搜索,搜遍4000万医学文献。AI智能推荐,让科研检索更轻松。

立即免费搜索

文件翻译

保留排版,准确专业,支持PDF/Word/PPT等文件格式,支持 12+语言互译。

免费翻译文档

深度研究

AI帮你快速写综述,25分钟生成高质量综述,智能提取关键信息,辅助科研写作。

立即免费体验

瑞米唑仑与丙泊酚对脊柱手术中术中运动诱发电位的影响:一项随机交叉试验

Influence of Remimazolam and Propofol on Intraoperative Motor Evoked Potentials During Spinal Surgery: A Randomized Crossover Trial.

作者信息

Kim Bo Rim, Kim Hye-Bin, Kim Moo Soo, Lim Byung Gun, Oh Seok Kyeong

机构信息

Department of Anesthesiology and Pain Medicine, Asan Medical Center, University of Ulsan College of Medicine, Seoul 05505, Republic of Korea.

Department of Anesthesiology and Pain Medicine, Korea University Guro Hospital, Korea University College of Medicine, Seoul 08308, Republic of Korea.

出版信息

J Clin Med. 2025 Aug 4;14(15):5491. doi: 10.3390/jcm14155491.

DOI:10.3390/jcm14155491
PMID:40807112
原文链接:https://pmc.ncbi.nlm.nih.gov/articles/PMC12347575/
Abstract

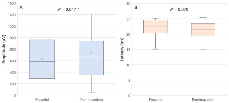
Total intravenous anesthesia (TIVA) typically combines propofol and remifentanil. Remifentanil exerts minimal influence on motor evoked potential (MEP), whereas propofol partially reduces MEP amplitude. Remimazolam, a novel agent, is a component of TIVA. However, evidence of remimazolam on MEP is limited. We aimed to compare the effects of propofol and remimazolam, combined with remifentanil, on relative MEP depression. Using a crossover design, 18 patients undergoing spine surgery were randomly assigned to receive either propofol or remimazolam as the first agent. In the propofol first sequence, anesthesia was induced and maintained with propofol, which was then switched to remimazolam 60 min after surgery. In the remimazolam first sequence, remimazolam was used first and then switched to propofol. The primary outcomes measured were the MEP amplitude and latency. MEP amplitude and latency during propofol and remimazolam infusions were as follows: amplitude (mean (SD); 635.3 (399.1) vs. 738.4 (480.4) μV, = 0.047) and latency (median [IQR]; 22.4 [20.3-24.6] vs. 21.4 [19.6-23.5] ms, = 0.070), indicating propofol caused greater depression in amplitude than remimazolam. However, an incident of severe body movement disrupting surgery occurred under remimazolam anesthesia in a young, healthy male patient, although bispectral index remained below 60. This suggests that remimazolam, at hypnotic levels similar to propofol, may result in reduced akinesia in major surgeries, such as spinal surgery, when neuromuscular blockade is not employed. Remimazolam demonstrated comparable or superior effects to propofol on MEP latency and amplitude when combined with remifentanil during spinal surgery, rendering it a potential alternative to propofol for MEP monitoring.

摘要

全静脉麻醉(TIVA)通常联合使用丙泊酚和瑞芬太尼。瑞芬太尼对运动诱发电位(MEP)影响极小,而丙泊酚会部分降低MEP波幅。新型药物瑞马唑仑是TIVA的组成部分。然而,关于瑞马唑仑对MEP影响的证据有限。我们旨在比较丙泊酚和瑞马唑仑联合瑞芬太尼对相对MEP抑制的影响。采用交叉设计,将18例接受脊柱手术的患者随机分为两组,分别先给予丙泊酚或瑞马唑仑。在丙泊酚优先顺序组中,先用丙泊酚诱导并维持麻醉,术后60分钟后换用瑞马唑仑。在瑞马唑仑优先顺序组中,先使用瑞马唑仑,然后换用丙泊酚。主要测量指标为MEP波幅和潜伏期。丙泊酚和瑞马唑仑输注期间的MEP波幅和潜伏期如下:波幅(均值(标准差);635.3(399.1)μV对738.4(480.4)μV,P = 0.047)和潜伏期(中位数[四分位间距];22.4[20.3 - 24.6]毫秒对21.4[19.6 - 23.5]毫秒,P = 0.070),表明丙泊酚引起的波幅抑制比瑞马唑仑更大。然而,在一名年轻健康男性患者的瑞马唑仑麻醉下发生了严重身体移动干扰手术的事件,尽管脑电双频指数仍低于60。这表明,在不使用神经肌肉阻滞的情况下,与丙泊酚催眠水平相似时,瑞马唑仑在脊柱手术等大手术中可能导致运动不能减少。在脊柱手术期间,瑞马唑仑与瑞芬太尼联合使用时,在MEP潜伏期和波幅方面显示出与丙泊酚相当或更好的效果,使其成为丙泊酚用于MEP监测的潜在替代药物。

https://cdn.ncbi.nlm.nih.gov/pmc/blobs/d9d0/12347575/0b060f39c7e6/jcm-14-05491-g002.jpg
https://cdn.ncbi.nlm.nih.gov/pmc/blobs/d9d0/12347575/899fb48f4606/jcm-14-05491-g001.jpg
https://cdn.ncbi.nlm.nih.gov/pmc/blobs/d9d0/12347575/0b060f39c7e6/jcm-14-05491-g002.jpg
https://cdn.ncbi.nlm.nih.gov/pmc/blobs/d9d0/12347575/899fb48f4606/jcm-14-05491-g001.jpg
https://cdn.ncbi.nlm.nih.gov/pmc/blobs/d9d0/12347575/0b060f39c7e6/jcm-14-05491-g002.jpg

相似文献

1
Influence of Remimazolam and Propofol on Intraoperative Motor Evoked Potentials During Spinal Surgery: A Randomized Crossover Trial.瑞米唑仑与丙泊酚对脊柱手术中术中运动诱发电位的影响:一项随机交叉试验
J Clin Med. 2025 Aug 4;14(15):5491. doi: 10.3390/jcm14155491.
2
Comparison of intraoperative neurophysiological monitoring between propofol and remimazolam during total intravenous anesthesia in the cervical spine surgery: a prospective, double-blind, randomized controlled trial.颈椎手术全凭静脉麻醉中丙泊酚与瑞米唑仑对术中神经生理监测影响的比较:一项前瞻性、双盲、随机对照试验
Korean J Anesthesiol. 2025 Feb;78(1):16-29. doi: 10.4097/kja.24613. Epub 2024 Nov 12.
3
Effect of low-dose volatile anesthetics on intraoperative neurophysiological monitoring during anesthesia with remimazolam.低剂量挥发性麻醉药对瑞米唑仑麻醉期间术中神经生理监测的影响。
Korean J Anesthesiol. 2025 Aug;78(4):341-350. doi: 10.4097/kja.24598. Epub 2025 Apr 22.
4
Intravenous versus inhalational maintenance of anaesthesia for postoperative cognitive outcomes in elderly people undergoing non-cardiac surgery.非心脏手术老年患者术后认知结局:静脉麻醉维持与吸入麻醉维持的比较
Cochrane Database Syst Rev. 2018 Aug 21;8(8):CD012317. doi: 10.1002/14651858.CD012317.pub2.
5
Prescription of Controlled Substances: Benefits and Risks管制药品的处方:益处与风险
6
Effect of propofol combined with remimazolam besylate on blood pressure during general anesthesia induction in patients undergoing gynecological laparoscopic surgery: single-centre randomized controlled trial.丙泊酚联合苯磺酸瑞马唑仑对妇科腹腔镜手术患者全身麻醉诱导期血压的影响:单中心随机对照试验
BMC Anesthesiol. 2025 May 29;25(1):273. doi: 10.1186/s12871-025-03156-1.
7
The use of remimazolam versus propofol for anesthesia induction in video-assisted thoracoscopic surgery: study protocol for a multicenter randomized controlled trial.瑞米唑仑与丙泊酚用于电视辅助胸腔镜手术麻醉诱导的比较:一项多中心随机对照试验的研究方案
Trials. 2025 May 26;26(1):173. doi: 10.1186/s13063-025-08833-7.
8
Comparison of reversal of rocuronium-induced neuromuscular blockade with sugammadex under remimazolam versus propofol anesthesia: a randomized clinical trial.瑞马唑仑与丙泊酚麻醉下舒更葡糖钠逆转罗库溴铵诱导的神经肌肉阻滞的比较:一项随机临床试验。
J Anesth. 2025 May 26. doi: 10.1007/s00540-025-03517-7.
9
The efficacy and safety of remimazolam tosilate compared with propofol for endoscopic retrograde cholangiopancreatography under monitored anesthesia care: A single-center randomized controlled clinical trial.在监护麻醉下,比较甲苯磺酸瑞马唑仑与丙泊酚用于内镜逆行胰胆管造影术的有效性和安全性:一项单中心随机对照临床试验。
Heliyon. 2024 Sep 24;10(19):e38349. doi: 10.1016/j.heliyon.2024.e38349. eCollection 2024 Oct 15.
10
Remimazolam is more suitable for general anesthesia bronchoscopy in tuberculosis patients treated with isoniazid: a retrospective cohort analysis.瑞米唑仑更适合于接受异烟肼治疗的肺结核患者的全身麻醉支气管镜检查:一项回顾性队列分析。
BMC Anesthesiol. 2025 Aug 9;25(1):403. doi: 10.1186/s12871-025-03292-8.

本文引用的文献

1
Electroencephalogram Correlates of Delayed Emergence After Remimazolam-Induced Anesthesia Compared to Propofol.与丙泊酚相比,瑞马唑仑诱导麻醉后延迟苏醒的脑电图相关性
Anesth Analg. 2025 Apr 25. doi: 10.1213/ANE.0000000000007516.
2
Comparison of intraoperative neurophysiological monitoring between propofol and remimazolam during total intravenous anesthesia in the cervical spine surgery: a prospective, double-blind, randomized controlled trial.颈椎手术全凭静脉麻醉中丙泊酚与瑞米唑仑对术中神经生理监测影响的比较:一项前瞻性、双盲、随机对照试验
Korean J Anesthesiol. 2025 Feb;78(1):16-29. doi: 10.4097/kja.24613. Epub 2024 Nov 12.
3
Effect of remimazolam on intraoperative hemodynamic stability in patients undergoing cerebrovascular bypass surgery: a prospective randomized controlled trial.
瑞马唑仑对脑血管搭桥手术患者术中血流动力学稳定性的影响:一项前瞻性随机对照试验。
Korean J Anesthesiol. 2025 Apr;78(2):148-158. doi: 10.4097/kja.24538. Epub 2025 Jan 23.
4
Comparison of the bispectral indices of patients receiving remimazolam and propofol for general anesthesia: a randomized crossover trial.比较瑞马唑仑和丙泊酚全身麻醉患者的双频谱指数:一项随机交叉试验。
Anaesth Crit Care Pain Med. 2024 Jun;43(3):101377. doi: 10.1016/j.accpm.2024.101377. Epub 2024 Mar 15.
5
Remimazolam: An Updated Review of a New Sedative and Anaesthetic.雷米唑仑:一种新型镇静和麻醉药物的更新综述。
Drug Des Devel Ther. 2022 Nov 15;16:3957-3974. doi: 10.2147/DDDT.S384155. eCollection 2022.
6
A Case of Decreased Amplitude in Motor Evoked Potentials Under Remimazolam Anesthesia.一例瑞米唑仑麻醉下运动诱发电位波幅降低的病例
Cureus. 2022 Aug 2;14(8):e27593. doi: 10.7759/cureus.27593. eCollection 2022 Aug.
7
Comparison of remimazolam-based and propofol-based total intravenous anesthesia on postoperative quality of recovery: A randomized non-inferiority trial.瑞马唑仑与依托咪酯全身静脉麻醉对术后恢复质量的影响比较:一项随机非劣效性试验。
J Clin Anesth. 2022 Nov;82:110955. doi: 10.1016/j.jclinane.2022.110955. Epub 2022 Aug 25.
8
A population pharmacokinetic model of remimazolam for general anesthesia and consideration of remimazolam dose in clinical practice.瑞马唑仑用于全身麻醉的群体药代动力学模型及临床剂量的考虑。
J Anesth. 2022 Aug;36(4):493-505. doi: 10.1007/s00540-022-03079-y. Epub 2022 Jun 16.
9
Machine Learning Application of Transcranial Motor-Evoked Potential to Predict Positive Functional Outcomes of Patients.经颅运动诱发电位的机器学习应用预测患者的阳性功能结局。
Comput Intell Neurosci. 2022 May 20;2022:2801663. doi: 10.1155/2022/2801663. eCollection 2022.
10
Remimazolam - current knowledge on a new intravenous benzodiazepine anesthetic agent.瑞马唑仑——一种新型静脉苯二氮䓬类麻醉药物的现有知识。
Korean J Anesthesiol. 2022 Aug;75(4):307-315. doi: 10.4097/kja.22297. Epub 2022 May 19.