Suppr超能文献

亚氨基二乙酸修饰的二糖配体对钴(II)螯合机制的综合研究

A Comprehensive Study of the Cobalt(II) Chelation Mechanism by an Iminodiacetate-Decorated Disaccharide Ligand.

作者信息

Barbot Cécile, Gouriou Laura, Mignot Mélanie, Sebban Muriel, Zhang Ping, Landy David, Ling Chang-Chun, Gouhier Géraldine

机构信息

Institut CARMeN UMR 6064, University Rouen Normandie, INSA Rouen Normandie, University Caen Normandie, ENSICAEN, CNRS, FR 3038, INSA Rouen, CNRS, IRCOF, 76821 Mont Saint Aignan, France.

Department of Chemistry, University of Calgary, Calgary, AB T2N 1N4, Canada.

出版信息

Molecules. 2025 Aug 4;30(15):3263. doi: 10.3390/molecules30153263.

Abstract

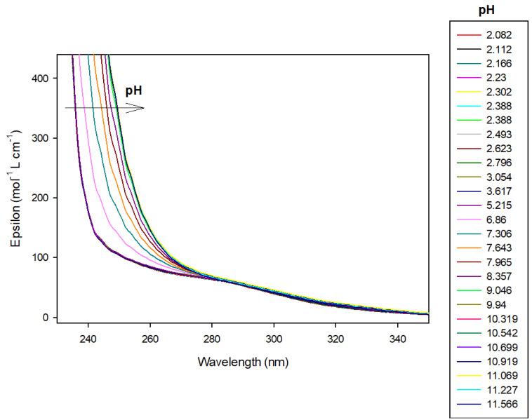
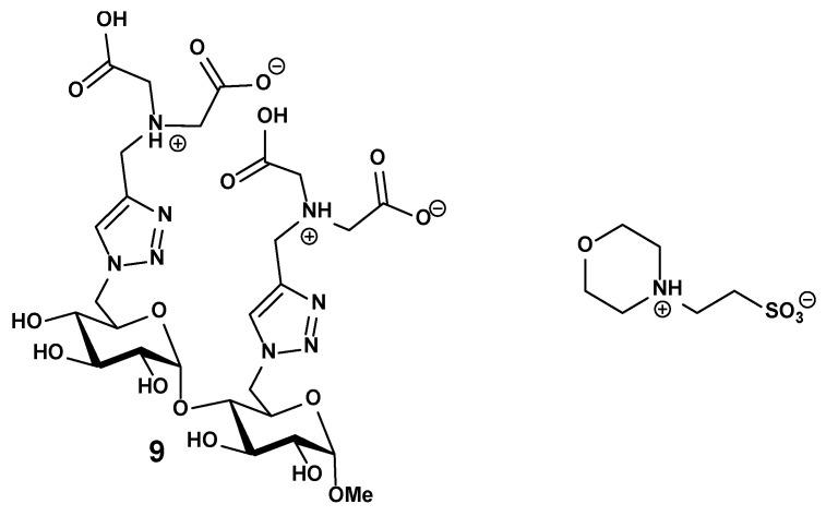
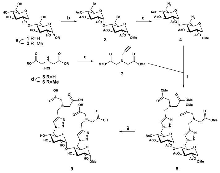
We report an investigation on the cobalt(II) chelation mechanism by a modified α-maltoside ligand decorated with two iminodiacetate (IDA) residues on C6,C6' positions. Herein we uncovered the capacity of this biodegradable ligand to chelate cobalt(II), an ionic metal contaminant in the environment that is used, in particular, in lithium-ion batteries. The interactions between cobalt(II) and synthesized ligand were systematically studied using different analytical methods such as H and C NMR, potentiometry, spectrophotometry, ITC, and ICP-AES. We observed a high affinity for the 1:1 complex, one cobalt(II) associated with two iminodiacetate groups, which is 10-fold higher than the 2:1 complex, where each of the two IDA groups interacts alone with a cobalt(II). Taking into account the log value obtained (≈12.3) with the stoichiometry 1:1, the strength of this complexation with cobalt(II) can be ranked as follows for the most common ligands: IDA < MIDA < NTA < < EDTA < TTHA < DTPA. We further completed a preliminary remediation test with water contaminated with cobalt(II) and recovered cobalt(II) metal using Chelex resin, which allowed a recycling of the synthetic ligand for future recovering experiments. The results shed light on the great potential of using this synthetic ligand as an effective and green remediation tool.

摘要

我们报告了一项关于修饰的α-麦芽糖苷配体对钴(II)螯合机制的研究,该配体在C6、C6'位置装饰有两个亚氨基二乙酸(IDA)残基。在此,我们发现了这种可生物降解配体螯合钴(II)的能力,钴(II)是环境中的一种离子金属污染物,尤其用于锂离子电池。使用不同的分析方法,如氢和碳核磁共振、电位滴定法、分光光度法、等温滴定量热法和电感耦合等离子体原子发射光谱法,系统地研究了钴(II)与合成配体之间的相互作用。我们观察到对1:1配合物有高亲和力,即一个钴(II)与两个亚氨基二乙酸基团结合,这比2:1配合物的亲和力高10倍,在2:1配合物中,两个IDA基团各自单独与一个钴(II)相互作用。考虑到获得的化学计量比为1:1时的log值(≈12.3),对于最常见的配体,这种与钴(II)的络合强度可排序如下:IDA < MIDA < NTA < < EDTA < TTHA < DTPA。我们进一步用被钴(II)污染的水完成了初步修复测试,并使用Chelex树脂回收了钴(II)金属,这使得合成配体能够循环用于未来的回收实验。结果揭示了使用这种合成配体作为有效且绿色修复工具的巨大潜力。

https://cdn.ncbi.nlm.nih.gov/pmc/blobs/5958/12348390/18f3e7dde595/molecules-30-03263-sch004.jpg

文献检索

告别复杂PubMed语法,用中文像聊天一样搜索,搜遍4000万医学文献。AI智能推荐,让科研检索更轻松。

立即免费搜索

文件翻译

保留排版,准确专业,支持PDF/Word/PPT等文件格式,支持 12+语言互译。

免费翻译文档

深度研究

AI帮你快速写综述,25分钟生成高质量综述,智能提取关键信息,辅助科研写作。

立即免费体验