Suppr超能文献

动脉血氧分压与吸入氧浓度比值在急性肺栓塞中的应用:一种预测风险分层的简单可靠参数。

Use of the PaO/FiO ratio in acute pulmonary embolism: a simple and reliable parameter to predict the risk stratification.

作者信息

Li Yanan, Du Xueqing, Zhou Ling, Guan Jian, Sun Yidan, Sun Xianwen, Feng Yun, Liu Dong, Ding Yongjie, Shi Guochao

机构信息

Department of Respiratory and Critical Care Diseases, The People's Hospital of Suzhou New District, Suzhou, China.

Department of Respiratory and Critical Care Diseases, Ruijin Hospital, School of Medicine, Shanghai Jiao Tong University, Shanghai, China.

出版信息

J Thorac Dis. 2025 Jul 31;17(7):4681-4688. doi: 10.21037/jtd-24-1821. Epub 2025 Jul 29.

Abstract

BACKGROUND

Acute pulmonary embolism (APE) is a common pulmonary vascular disease with its incidence rising year by year. Accurate diagnosis and early risk stratification of patients with APE are crucial for treatment follow-up, especially for patients with intermediate-to-high and high-risk. The aim of this study is to explore the value of blood gas parameters, especially arterial partial pressure of oxygen/fraction of inspired oxygen (PaO/FiO) ratio (P/F ratio), in evaluating the risk stratification of APE.

METHODS

A retrospective analysis of demographic data, complications, clinical symptoms, and laboratory data of 227 adult patients with APE treated at Ruijin Hospital, Shanghai Jiao Tong University School of Medicine Ruijin Hospital, from January 2016 to December 2021 was conducted. According to risk stratification, patients were divided into the intermediate-low risk and below group (low-risk group and intermediate-low-risk group), intermediate-high-risk and above group (intermediate-high-risk group and high-risk group), and the correlation between various indicators and risk stratification of APE was analyzed. Multivariate binary logistic regression was used to identify independent influencing factors for intermediate-high-risk and high-risk APE; receiver operating characteristic (ROC) curve analysis was used to evaluate the efficacy of P/F ratio in assessing intermediate-high-risk and high-risk APE.

RESULTS

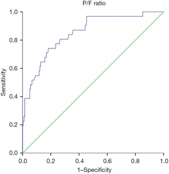
There were significant differences in dyspnea, syncope, and fever among the two groups (P<0.05). There were significant differences in P/F ratio, partial pressure of carbon dioxide (PaCO), pulse oxygen saturation/fraction of inspired oxygen (SpO/FiO) among the two groups (P<0.05). Correlation analysis showed that dyspnea, syncope, fever, P/F ratio, PaCO, and SpO/FiO were correlated with the risk stratification (P<0.05). Multivariate binary logistic regression analysis showed that P/F ratio was an independent risk factor for intermediate-high-risk and high-risk APE (P=0.01). The area under the curve (AUC) of P/F ratio for predicting APE in the intermediate-high-risk group and the high-risk group was 0.850, the cut-off value was 256.41, the sensitivity was 74.2%, and the specificity was 81.6%.

CONCLUSIONS

The P/F ratio has certain evaluative value in risk stratification of APE and can serve as a rapid and convenient method for predicting intermediate-high-risk and high-risk APE.

摘要

背景

急性肺栓塞(APE)是一种常见的肺血管疾病,其发病率逐年上升。对APE患者进行准确诊断和早期风险分层对于治疗随访至关重要,尤其是对于中高危和高危患者。本研究旨在探讨血气参数,尤其是动脉血氧分压/吸入氧分数(PaO₂/FiO₂)比值(P/F比值)在评估APE风险分层中的价值。

方法

对2016年1月至2021年12月在上海交通大学医学院附属瑞金医院接受治疗的227例成年APE患者的人口统计学数据、并发症、临床症状和实验室数据进行回顾性分析。根据风险分层,将患者分为中低风险及以下组(低风险组和中低风险组)、中高风险及以上组(中高风险组和高风险组),分析各项指标与APE风险分层的相关性。采用多因素二元logistic回归分析确定中高风险和高风险APE的独立影响因素;采用受试者工作特征(ROC)曲线分析评估P/F比值在评估中高风险和高风险APE中的效能。

结果

两组患者在呼吸困难、晕厥和发热方面存在显著差异(P<0.05)。两组患者在P/F比值、二氧化碳分压(PaCO₂)、脉搏血氧饱和度/吸入氧分数(SpO₂/FiO₂)方面存在显著差异(P<0.05)。相关性分析显示,呼吸困难、晕厥、发热、P/F比值、PaCO₂和SpO₂/FiO₂与风险分层相关(P<0.05)。多因素二元logistic回归分析显示,P/F比值是中高风险和高风险APE的独立危险因素(P=0.01)。P/F比值预测中高风险组和高风险组APE的曲线下面积(AUC)为0.850,截断值为256.41,灵敏度为74.2%,特异度为81.6%。

结论

P/F比值在APE风险分层中具有一定的评估价值,可作为预测中高风险和高风险APE的快速便捷方法。

https://cdn.ncbi.nlm.nih.gov/pmc/blobs/d10a/12340331/2e7d9b89c254/jtd-17-07-4681-f1.jpg

文献检索

告别复杂PubMed语法,用中文像聊天一样搜索,搜遍4000万医学文献。AI智能推荐,让科研检索更轻松。

立即免费搜索

文件翻译

保留排版,准确专业,支持PDF/Word/PPT等文件格式,支持 12+语言互译。

免费翻译文档

深度研究

AI帮你快速写综述,25分钟生成高质量综述,智能提取关键信息,辅助科研写作。

立即免费体验