Suppr超能文献

基于贝叶斯多元偏态回归分析:骨骼肌质量与左心室质量之间的相互作用。

Based on Bayesian multivariate skewed regression analysis: the interaction between skeletal muscle mass and left ventricular mass.

作者信息

Liu Zhenchao, Lei Tianxiang, Liu Tianwei, Guo Yunliang, Wang Yun, Cao Yu

机构信息

School of Pharmacy, Qingdao University, Qingdao, China.

Medical Research Center and Cerebrovascular Disease Institute, The Affiliated Hospital of Qingdao University, Qingdao, China.

出版信息

Front Physiol. 2025 Aug 1;16:1515560. doi: 10.3389/fphys.2025.1515560. eCollection 2025.

Abstract

OBJECTIVE

This study aims to investigate the association between skeletal muscle mass (SMM) and left ventricular mass (LVM), providing a basis for health management and cardiac health interventions in sarcopenic populations.

METHODS

We conducted a retrospective analysis of participants who underwent SMM assessment at Linyi People's Hospital from January 2017 to December 2023, including a total of 278 individuals. The study employed Bayesian multivariate skewed regression analysis, incorporating ridge regression as a prior distribution to address the skewness and heavy-tailed characteristics of the LVM data. Data collection included clinical information, SMM, and cardiac function metrics. Posterior inference was conducted using Markov Chain Monte Carlo (MCMC) methods, and model convergence was assessed through Gelman-Rubin diagnostics.

RESULTS

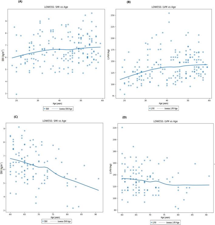
The results of ridge regression indicate that age ( = 4.54, = 1.23-7.85) and appendicular lean mass (ALM) ( = 16.82, = 2.87-30.77) are significantly positively correlated with LVM. In contrast, Bayesian multivariate skewed regression analysis demonstrates that the skeletal muscle index (SMI) ( = 22.22, = 2.41-39.07) exerts a significant positive effect on LVM. Additionally, locally weighted scatterplot smoothing (LOWESS) analysis reveals that LVM tends to increase with higher levels of both ALM and SMI.

CONCLUSION

This study found that skeletal muscle mass (such as ALM and SMI) is significantly associated with LVM, suggesting that there is an association between improvements in skeletal muscle and a potential positive impact on cardiac health, highlighting the importance of regional muscle mass. These findings provide new insights for cardiac health management in sarcopenic populations, indicating that there is a relationship where interventions could potentially involve enhancing ALM.

摘要

目的

本研究旨在探讨骨骼肌质量(SMM)与左心室质量(LVM)之间的关联,为肌少症人群的健康管理和心脏健康干预提供依据。

方法

我们对2017年1月至2023年12月在临沂市人民医院接受SMM评估的参与者进行了回顾性分析,共纳入278名个体。该研究采用贝叶斯多元偏态回归分析,将岭回归作为先验分布以处理LVM数据的偏态和重尾特征。数据收集包括临床信息、SMM和心功能指标。使用马尔可夫链蒙特卡罗(MCMC)方法进行后验推断,并通过Gelman-Rubin诊断评估模型收敛性。

结果

岭回归结果表明,年龄(β = 4.54,95%可信区间[CI] = 1.23 - 7.85)和四肢瘦体重(ALM)(β = 16.82,95%CI = 2.87 - 30.77)与LVM显著正相关。相比之下,贝叶斯多元偏态回归分析表明,骨骼肌指数(SMI)(β = 22.22,95%CI = 2.41 - 39.07)对LVM有显著正向影响。此外,局部加权散点图平滑(LOWESS)分析显示,LVM倾向于随着ALM和SMI水平的升高而增加。

结论

本研究发现骨骼肌质量(如ALM和SMI)与LVM显著相关,表明骨骼肌改善与对心脏健康的潜在积极影响之间存在关联,突出了局部肌肉质量的重要性。这些发现为肌少症人群的心脏健康管理提供了新的见解,表明存在一种关系,即干预措施可能涉及增加ALM。

https://cdn.ncbi.nlm.nih.gov/pmc/blobs/98fa/12354462/a58c860c305c/fphys-16-1515560-g001.jpg

文献检索

告别复杂PubMed语法,用中文像聊天一样搜索,搜遍4000万医学文献。AI智能推荐,让科研检索更轻松。

立即免费搜索

文件翻译

保留排版,准确专业,支持PDF/Word/PPT等文件格式,支持 12+语言互译。

免费翻译文档

深度研究

AI帮你快速写综述,25分钟生成高质量综述,智能提取关键信息,辅助科研写作。

立即免费体验