• 文献检索
  • 文档翻译
  • 深度研究
  • 学术资讯
  • Suppr Zotero 插件Zotero 插件
  • 邀请有礼
  • 套餐&价格
  • 历史记录
应用&插件
Suppr Zotero 插件Zotero 插件浏览器插件Mac 客户端Windows 客户端微信小程序
定价
高级版会员购买积分包购买API积分包
服务
文献检索文档翻译深度研究API 文档MCP 服务
关于我们
关于 Suppr公司介绍联系我们用户协议隐私条款
关注我们

Suppr 超能文献

核心技术专利:CN118964589B侵权必究
粤ICP备2023148730 号-1Suppr @ 2026

文献检索

告别复杂PubMed语法,用中文像聊天一样搜索,搜遍4000万医学文献。AI智能推荐,让科研检索更轻松。

立即免费搜索

文件翻译

保留排版,准确专业,支持PDF/Word/PPT等文件格式,支持 12+语言互译。

免费翻译文档

深度研究

AI帮你快速写综述,25分钟生成高质量综述,智能提取关键信息,辅助科研写作。

立即免费体验

β受体阻滞剂对癌症神经免疫学的影响:生存结局与免疫调节的系统评价和荟萃分析

Impact of beta blockers on cancer neuroimmunology: a systematic review and meta-analysis of survival outcomes and immune modulation.

作者信息

Zhang Fangyuan, Wang Yu, Liu Feng, Li Yixian, Liu Xinxin, Ren Xueying, Yuan Xi

机构信息

Jiangsu Province Hospital of Chinese Medicine, Affiliated Hospital of Nanjing University of Chinese Medicine, Nanjing, China.

School of Pharmaceutical Science and Technology, Hangzhou Institute for Advanced Study, University of Chinese Academy of Sciences, Hangzhou, China.

出版信息

Front Immunol. 2025 Aug 6;16:1635331. doi: 10.3389/fimmu.2025.1635331. eCollection 2025.

DOI:10.3389/fimmu.2025.1635331
PMID:40842986
原文链接:https://pmc.ncbi.nlm.nih.gov/articles/PMC12364651/
Abstract

BACKGROUND

Emerging evidence suggests that beta-blockers (BBs) may influence cancer progression by modulating the neuroimmune axis. However, clinical findings remain heterogeneous, necessitating a comprehensive evaluation of their impact on survival outcomes and immune modulation across malignancies.

METHODS

We conducted a systematic review and meta-analysis following PRISMA guidelines, analyzing 79 studies from PubMed, Embase, and Web of Science. Pooled hazard ratios (HRs) for overall survival (OS) and cancer-specific survival (CSS) were calculated using random-effects models. Subgroup analyses explored effects by cancer type, BB class (non-selective vs. β1-selective), and concurrent immunotherapy. Immune biomarkers (e.g., PD-L1 expression, tumor-infiltrating lymphocytes) were qualitatively synthesized.

RESULTS

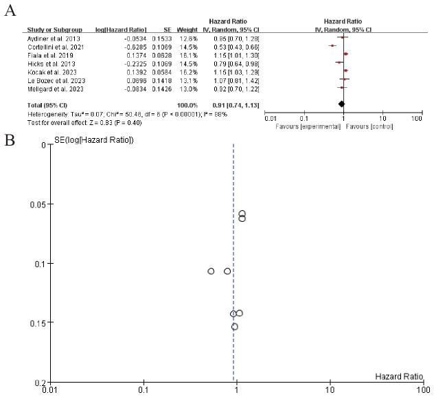
BB use showed no significant overall effect on CSS (HR = 0.97, 95% CI: 0.92-1.02) but exhibited substantial heterogeneity (I² = 80%). Protective associations were observed in breast cancer (HR = 0.27-0.50) and melanoma, while detrimental effects emerged in pancreatic and head/neck cancers (HR > 1.0). Clinically, BBs combined with immune checkpoint inhibitors (ICIs) improved survival (HR=0.91, 95% CI: 0.85-0.98), particularly in PD-L1+ tumors (OR=1.29 for enhanced expression). Non-selective BBs showed stronger immune modulation (CD8+ T-cell SMD=0.49 vs 0.22 for β1-selective).

CONCLUSION

BBs demonstrate clinically meaningful benefits when combined with immunotherapy (HR=0.91) particularly in β2-AR+ melanoma and breast cancer, but show potential harm in pancreatic/head-neck cancers (HR>1.0). These results support preferential use of propranolol (20-40mg/day) in immunotherapy-treated melanoma, and avoidance of routine BB use in non-immunogenic tumors without adrenergic profiling. Prospective trials should validate these selection criteria.

摘要

背景

新出现的证据表明,β受体阻滞剂(BBs)可能通过调节神经免疫轴影响癌症进展。然而,临床研究结果仍然存在异质性,因此有必要全面评估其对各种恶性肿瘤生存结局和免疫调节的影响。

方法

我们按照PRISMA指南进行了系统评价和荟萃分析,分析了来自PubMed、Embase和Web of Science的79项研究。使用随机效应模型计算总生存(OS)和癌症特异性生存(CSS)的合并风险比(HRs)。亚组分析探讨了癌症类型、BB类别(非选择性与β1选择性)和同时进行免疫治疗的影响。对免疫生物标志物(如PD-L1表达、肿瘤浸润淋巴细胞)进行了定性综合分析。

结果

使用BBs对CSS没有显著的总体影响(HR = 0.97,95%CI:0.92 - 1.02),但存在显著异质性(I² = 80%)。在乳腺癌(HR = 0.27 - 0.50)和黑色素瘤中观察到了保护作用,而在胰腺癌和头颈癌中出现了有害影响(HR > 1.0)。临床上,BBs与免疫检查点抑制剂(ICIs)联合使用可改善生存(HR = 0.91,95%CI:0.85 - 0.98),特别是在PD-L1阳性肿瘤中(表达增强的OR = 1.29)。非选择性BBs显示出更强的免疫调节作用(CD8 + T细胞标准化均数差为0.49,而β1选择性为0.22)。

结论

BBs与免疫治疗联合使用时显示出具有临床意义的益处(HR = 0.91),特别是在β2-AR阳性的黑色素瘤和乳腺癌中,但在胰腺癌/头颈癌中显示出潜在危害(HR > 1.0)。这些结果支持在接受免疫治疗的黑色素瘤中优先使用普萘洛尔(20 - 40mg/天),并避免在未经肾上腺素能分析的非免疫原性肿瘤中常规使用BBs。前瞻性试验应验证这些选择标准。

https://cdn.ncbi.nlm.nih.gov/pmc/blobs/a0d4/12364651/629f15752670/fimmu-16-1635331-g009.jpg
https://cdn.ncbi.nlm.nih.gov/pmc/blobs/a0d4/12364651/b16c835df775/fimmu-16-1635331-g001.jpg
https://cdn.ncbi.nlm.nih.gov/pmc/blobs/a0d4/12364651/e1795e82588c/fimmu-16-1635331-g002.jpg
https://cdn.ncbi.nlm.nih.gov/pmc/blobs/a0d4/12364651/850cc2815274/fimmu-16-1635331-g003.jpg
https://cdn.ncbi.nlm.nih.gov/pmc/blobs/a0d4/12364651/fb9597734110/fimmu-16-1635331-g004.jpg
https://cdn.ncbi.nlm.nih.gov/pmc/blobs/a0d4/12364651/096ca0e5db65/fimmu-16-1635331-g005.jpg
https://cdn.ncbi.nlm.nih.gov/pmc/blobs/a0d4/12364651/89cf5fcc6a6f/fimmu-16-1635331-g006.jpg
https://cdn.ncbi.nlm.nih.gov/pmc/blobs/a0d4/12364651/3c1850fd3a18/fimmu-16-1635331-g007.jpg
https://cdn.ncbi.nlm.nih.gov/pmc/blobs/a0d4/12364651/01e7e701e1d6/fimmu-16-1635331-g008.jpg
https://cdn.ncbi.nlm.nih.gov/pmc/blobs/a0d4/12364651/629f15752670/fimmu-16-1635331-g009.jpg
https://cdn.ncbi.nlm.nih.gov/pmc/blobs/a0d4/12364651/b16c835df775/fimmu-16-1635331-g001.jpg
https://cdn.ncbi.nlm.nih.gov/pmc/blobs/a0d4/12364651/e1795e82588c/fimmu-16-1635331-g002.jpg
https://cdn.ncbi.nlm.nih.gov/pmc/blobs/a0d4/12364651/850cc2815274/fimmu-16-1635331-g003.jpg
https://cdn.ncbi.nlm.nih.gov/pmc/blobs/a0d4/12364651/fb9597734110/fimmu-16-1635331-g004.jpg
https://cdn.ncbi.nlm.nih.gov/pmc/blobs/a0d4/12364651/096ca0e5db65/fimmu-16-1635331-g005.jpg
https://cdn.ncbi.nlm.nih.gov/pmc/blobs/a0d4/12364651/89cf5fcc6a6f/fimmu-16-1635331-g006.jpg
https://cdn.ncbi.nlm.nih.gov/pmc/blobs/a0d4/12364651/3c1850fd3a18/fimmu-16-1635331-g007.jpg
https://cdn.ncbi.nlm.nih.gov/pmc/blobs/a0d4/12364651/01e7e701e1d6/fimmu-16-1635331-g008.jpg
https://cdn.ncbi.nlm.nih.gov/pmc/blobs/a0d4/12364651/629f15752670/fimmu-16-1635331-g009.jpg

相似文献

1
Impact of beta blockers on cancer neuroimmunology: a systematic review and meta-analysis of survival outcomes and immune modulation.β受体阻滞剂对癌症神经免疫学的影响:生存结局与免疫调节的系统评价和荟萃分析
Front Immunol. 2025 Aug 6;16:1635331. doi: 10.3389/fimmu.2025.1635331. eCollection 2025.
2
Systemic treatments for metastatic cutaneous melanoma.转移性皮肤黑色素瘤的全身治疗
Cochrane Database Syst Rev. 2018 Feb 6;2(2):CD011123. doi: 10.1002/14651858.CD011123.pub2.
3
Immune checkpoint inhibitors plus platinum-based chemotherapy compared to platinum-based chemotherapy with or without bevacizumab for first-line treatment of older people with advanced non-small cell lung cancer.免疫检查点抑制剂联合铂类化疗对比铂类化疗联合或不联合贝伐珠单抗用于治疗老年人晚期非小细胞肺癌的一线治疗。
Cochrane Database Syst Rev. 2024 Aug 13;8(8):CD015495. doi: 10.1002/14651858.CD015495.
4
Risk-reducing bilateral salpingo-oophorectomy in women with BRCA1 or BRCA2 mutations.对携带BRCA1或BRCA2基因突变的女性进行降低风险的双侧输卵管卵巢切除术。
Cochrane Database Syst Rev. 2018 Aug 24;8(8):CD012464. doi: 10.1002/14651858.CD012464.pub2.
5
Neoadjuvant treatment for stage III and IV cutaneous melanoma.新辅助治疗 III 期和 IV 期皮肤黑色素瘤。
Cochrane Database Syst Rev. 2023 Jan 17;1(1):CD012974. doi: 10.1002/14651858.CD012974.pub2.
6
Immunotherapy (excluding checkpoint inhibitors) for stage I to III non-small cell lung cancer treated with surgery or radiotherapy with curative intent.用于经手术或根治性放疗治疗的Ⅰ至Ⅲ期非小细胞肺癌的免疫疗法(不包括检查点抑制剂)。
Cochrane Database Syst Rev. 2017 Dec 16;12(12):CD011300. doi: 10.1002/14651858.CD011300.pub2.
7
Bisphosphonates in multiple myeloma: an updated network meta-analysis.双膦酸盐类药物在多发性骨髓瘤中的应用:一项更新的网状Meta分析
Cochrane Database Syst Rev. 2017 Dec 18;12(12):CD003188. doi: 10.1002/14651858.CD003188.pub4.
8
Interventions for the treatment of oral and oropharyngeal cancers: targeted therapy and immunotherapy.口腔和口咽癌的治疗干预措施:靶向治疗和免疫治疗。
Cochrane Database Syst Rev. 2015 Dec 1;2015(12):CD010341. doi: 10.1002/14651858.CD010341.pub2.
9
Interplay between tumor mutation burden and the tumor microenvironment predicts the prognosis of pan-cancer anti-PD-1/PD-L1 therapy.肿瘤突变负荷与肿瘤微环境之间的相互作用可预测泛癌抗PD-1/PD-L1治疗的预后。
Front Immunol. 2025 Jul 24;16:1557461. doi: 10.3389/fimmu.2025.1557461. eCollection 2025.
10
Bisphosphonates in multiple myeloma: a network meta-analysis.双膦酸盐类药物治疗多发性骨髓瘤:一项网状Meta分析
Cochrane Database Syst Rev. 2012 May 16(5):CD003188. doi: 10.1002/14651858.CD003188.pub3.

本文引用的文献

1
Nervous system in hepatocellular carcinoma: Correlation, mechanisms, therapeutic implications, and future perspectives.肝细胞癌中的神经系统:相关性、机制、治疗意义及未来展望。
Biochim Biophys Acta Rev Cancer. 2025 Jul;1880(3):189345. doi: 10.1016/j.bbcan.2025.189345. Epub 2025 May 10.
2
Autoimmune psychosis: Psychopathological patterns and outcome after immunotherapy.自身免疫性精神病:免疫治疗后的精神病理模式及结局
Schizophr Res. 2025 Jul;281:10-19. doi: 10.1016/j.schres.2025.04.024. Epub 2025 Apr 29.
3
The pathogenesis of neurological immune-related adverse events following immune checkpoint inhibitor therapy.
免疫检查点抑制剂治疗后神经免疫相关不良事件的发病机制。
Semin Immunol. 2025 Jun;78:101956. doi: 10.1016/j.smim.2025.101956. Epub 2025 Apr 27.
4
Dissection of single-cell landscapes for the development of chimeric antigen receptor T cells in Hodgkin lymphoma.剖析霍奇金淋巴瘤中嵌合抗原受体T细胞发育的单细胞图谱。
Blood. 2025 Apr 3;145(14):1536-1552. doi: 10.1182/blood.2023022197.
5
Immune Resistance in Glioblastoma: Understanding the Barriers to ICI and CAR-T Cell Therapy.胶质母细胞瘤中的免疫抵抗:了解免疫检查点抑制剂和嵌合抗原受体T细胞疗法的障碍
Cancers (Basel). 2025 Jan 29;17(3):462. doi: 10.3390/cancers17030462.
6
Lymphatic-derived oxysterols promote anti-tumor immunity and response to immunotherapy in melanoma.源自淋巴管的氧化甾醇可促进黑色素瘤的抗肿瘤免疫及对免疫疗法的反应。
Nat Commun. 2025 Jan 31;16(1):1217. doi: 10.1038/s41467-025-55969-w.
7
Emerging neuroimmune mechanisms in cancer neuroscience.癌症神经科学中新兴的神经免疫机制。
Cancer Lett. 2025 Mar 1;612:217492. doi: 10.1016/j.canlet.2025.217492. Epub 2025 Jan 21.
8
Decoding tumor microenvironment: EMT modulation in breast cancer metastasis and therapeutic resistance, and implications of novel immune checkpoint blockers.解码肿瘤微环境:乳腺癌转移和治疗耐药中的上皮-间质转化调控以及新型免疫检查点阻断剂的影响
Biomed Pharmacother. 2024 Dec;181:117714. doi: 10.1016/j.biopha.2024.117714. Epub 2024 Nov 29.
9
Treatment of glioblastoma patients with personalized vaccines outside clinical trials: Lessons ignored?在临床试验之外用个性化疫苗治疗胶质母细胞瘤患者:被忽视的教训?
Neuro Oncol. 2025 Jan 12;27(1):302-305. doi: 10.1093/neuonc/noae225.
10
Successful generation of fully human, second generation, anti-CD19 CAR T cells for clinical use in patients with diverse autoimmune disorders.成功生成用于多种自身免疫性疾病患者临床治疗的全人源第二代抗CD19嵌合抗原受体T细胞。
Cytotherapy. 2025 Feb;27(2):236-246. doi: 10.1016/j.jcyt.2024.09.008. Epub 2024 Oct 5.