• 文献检索
  • 文档翻译
  • 深度研究
  • 学术资讯
  • Suppr Zotero 插件Zotero 插件
  • 邀请有礼
  • 套餐&价格
  • 历史记录
应用&插件
Suppr Zotero 插件Zotero 插件浏览器插件Mac 客户端Windows 客户端微信小程序
定价
高级版会员购买积分包购买API积分包
服务
文献检索文档翻译深度研究API 文档MCP 服务
关于我们
关于 Suppr公司介绍联系我们用户协议隐私条款
关注我们

Suppr 超能文献

核心技术专利:CN118964589B侵权必究
粤ICP备2023148730 号-1Suppr @ 2026

文献检索

告别复杂PubMed语法,用中文像聊天一样搜索,搜遍4000万医学文献。AI智能推荐,让科研检索更轻松。

立即免费搜索

文件翻译

保留排版,准确专业,支持PDF/Word/PPT等文件格式,支持 12+语言互译。

免费翻译文档

深度研究

AI帮你快速写综述,25分钟生成高质量综述,智能提取关键信息,辅助科研写作。

立即免费体验

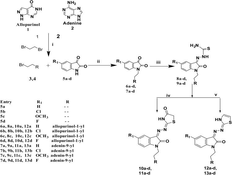
杂合核碱基-杂环-2-吲哚酮支架作为具有潜在抗癌活性的创新细胞周期调节剂。

Hybrid nucleobase-heterocycle-2-oxindole scaffolds as innovative cell cycle modulators with potential anticancer activity.

作者信息

Abdel-Hafez Gehan Ahmed, Kłopotowska Dagmara, Filip-Psurska Beata, Aboraia Ahmed S, Wietrzyk Joanna, Aboul-Fadl Tarek, Youssef Adel F

机构信息

Medicinal Chemistry Department, Faculty of Pharmacy, Merit University Sohag Egypt.

Department of Experimental Oncology, Hirszfeld Institute of Immunology and Experimental Therapy, Polish Academy of Sciences Wrocław 53-114 Poland.

出版信息

RSC Adv. 2025 Aug 22;15(36):29753-29776. doi: 10.1039/d5ra04997k. eCollection 2025 Aug 18.

DOI:10.1039/d5ra04997k
PMID:40860074
原文链接:https://pmc.ncbi.nlm.nih.gov/articles/PMC12377214/
Abstract

A series of hybrid molecules 6a-6d-13a-13d combining pyrazolo[3,4-]pyrimidine or aminopurine frameworks with an oxindole moiety were designed as multitarget anticancer agents. Several compounds, especially 8b and 12a-12d, showed potent antiproliferative effects against three human cancer cell lines: A498 (kidney carcinoma), HepG-2 (hepatocellular carcinoma), and MDA-MB-231 (breast adenocarcinoma). Compounds 6b, 7b, 8b, and 12a-12c exhibited remarkable CDK6 inhibition (pIC of up to 7.17), outperforming palbociclib, and VEGFR-2 inhibition comparable to sorafenib. These compounds also inhibited xanthine oxidase. Notably, 12a and 12c induced sub-G1 cell cycle arrest in HepG2 cells. Molecular modeling confirmed stable binding to CDK6 and VEGFR-2, while ADMET profiling suggested favorable pharmacokinetics. These results support 8b and 12a-12c as strong leads for further multitarget cancer therapy development.

摘要

设计了一系列将吡唑并[3,4 -]嘧啶或氨基嘌呤骨架与羟吲哚部分结合的杂化分子6a - 6d - 13a - 13d作为多靶点抗癌剂。几种化合物,特别是8b和12a - 12d,对三种人类癌细胞系:A498(肾癌细胞)、HepG - 2(肝癌细胞)和MDA - MB - 231(乳腺腺癌细胞)显示出强大的抗增殖作用。化合物6b、7b、8b和12a - 12c表现出显著的CDK6抑制作用(pIC高达7.17),优于帕博西尼,并且对VEGFR - 2的抑制作用与索拉非尼相当。这些化合物还抑制黄嘌呤氧化酶。值得注意的是,12a和12c在HepG2细胞中诱导亚G1期细胞周期停滞。分子建模证实了与CDK6和VEGFR - 2的稳定结合,而ADMET分析表明其具有良好的药代动力学。这些结果支持8b和12a - 12c作为进一步开发多靶点癌症治疗的有力先导化合物。

https://cdn.ncbi.nlm.nih.gov/pmc/blobs/387c/12377214/60e573d9c018/d5ra04997k-f14.jpg
https://cdn.ncbi.nlm.nih.gov/pmc/blobs/387c/12377214/9f20186af2fa/d5ra04997k-f1.jpg
https://cdn.ncbi.nlm.nih.gov/pmc/blobs/387c/12377214/52b5e1e48eff/d5ra04997k-f2.jpg
https://cdn.ncbi.nlm.nih.gov/pmc/blobs/387c/12377214/09be8a77fa94/d5ra04997k-f3.jpg
https://cdn.ncbi.nlm.nih.gov/pmc/blobs/387c/12377214/6e595b5aa4ad/d5ra04997k-f4.jpg
https://cdn.ncbi.nlm.nih.gov/pmc/blobs/387c/12377214/27cbda55fd81/d5ra04997k-f5.jpg
https://cdn.ncbi.nlm.nih.gov/pmc/blobs/387c/12377214/1c37db4f9834/d5ra04997k-f6.jpg
https://cdn.ncbi.nlm.nih.gov/pmc/blobs/387c/12377214/79de4e7bb2dd/d5ra04997k-f7.jpg
https://cdn.ncbi.nlm.nih.gov/pmc/blobs/387c/12377214/27c0a34b89db/d5ra04997k-f8.jpg
https://cdn.ncbi.nlm.nih.gov/pmc/blobs/387c/12377214/eb99bc6c2765/d5ra04997k-f9.jpg
https://cdn.ncbi.nlm.nih.gov/pmc/blobs/387c/12377214/13358a5fb7b4/d5ra04997k-s1.jpg
https://cdn.ncbi.nlm.nih.gov/pmc/blobs/387c/12377214/2dce9e7bad22/d5ra04997k-f10.jpg
https://cdn.ncbi.nlm.nih.gov/pmc/blobs/387c/12377214/a9794cca0dd2/d5ra04997k-f11.jpg
https://cdn.ncbi.nlm.nih.gov/pmc/blobs/387c/12377214/1e4476e91dbf/d5ra04997k-f12.jpg
https://cdn.ncbi.nlm.nih.gov/pmc/blobs/387c/12377214/d56803aedac7/d5ra04997k-f13.jpg
https://cdn.ncbi.nlm.nih.gov/pmc/blobs/387c/12377214/60e573d9c018/d5ra04997k-f14.jpg
https://cdn.ncbi.nlm.nih.gov/pmc/blobs/387c/12377214/9f20186af2fa/d5ra04997k-f1.jpg
https://cdn.ncbi.nlm.nih.gov/pmc/blobs/387c/12377214/52b5e1e48eff/d5ra04997k-f2.jpg
https://cdn.ncbi.nlm.nih.gov/pmc/blobs/387c/12377214/09be8a77fa94/d5ra04997k-f3.jpg
https://cdn.ncbi.nlm.nih.gov/pmc/blobs/387c/12377214/6e595b5aa4ad/d5ra04997k-f4.jpg
https://cdn.ncbi.nlm.nih.gov/pmc/blobs/387c/12377214/27cbda55fd81/d5ra04997k-f5.jpg
https://cdn.ncbi.nlm.nih.gov/pmc/blobs/387c/12377214/1c37db4f9834/d5ra04997k-f6.jpg
https://cdn.ncbi.nlm.nih.gov/pmc/blobs/387c/12377214/79de4e7bb2dd/d5ra04997k-f7.jpg
https://cdn.ncbi.nlm.nih.gov/pmc/blobs/387c/12377214/27c0a34b89db/d5ra04997k-f8.jpg
https://cdn.ncbi.nlm.nih.gov/pmc/blobs/387c/12377214/eb99bc6c2765/d5ra04997k-f9.jpg
https://cdn.ncbi.nlm.nih.gov/pmc/blobs/387c/12377214/13358a5fb7b4/d5ra04997k-s1.jpg
https://cdn.ncbi.nlm.nih.gov/pmc/blobs/387c/12377214/2dce9e7bad22/d5ra04997k-f10.jpg
https://cdn.ncbi.nlm.nih.gov/pmc/blobs/387c/12377214/a9794cca0dd2/d5ra04997k-f11.jpg
https://cdn.ncbi.nlm.nih.gov/pmc/blobs/387c/12377214/1e4476e91dbf/d5ra04997k-f12.jpg
https://cdn.ncbi.nlm.nih.gov/pmc/blobs/387c/12377214/d56803aedac7/d5ra04997k-f13.jpg
https://cdn.ncbi.nlm.nih.gov/pmc/blobs/387c/12377214/60e573d9c018/d5ra04997k-f14.jpg

相似文献

1
Hybrid nucleobase-heterocycle-2-oxindole scaffolds as innovative cell cycle modulators with potential anticancer activity.杂合核碱基-杂环-2-吲哚酮支架作为具有潜在抗癌活性的创新细胞周期调节剂。
RSC Adv. 2025 Aug 22;15(36):29753-29776. doi: 10.1039/d5ra04997k. eCollection 2025 Aug 18.
2
Anti-breast cancer potential of thieno-pyrimidine derivatives as VEGFR-2 inhibitors.噻吩并嘧啶衍生物作为VEGFR-2抑制剂的抗乳腺癌潜力
Future Med Chem. 2025 Apr;17(7):803-818. doi: 10.1080/17568919.2025.2479422. Epub 2025 Mar 17.
3
Novel benzenesulfonamides as dual VEGFR2/FGFR1 inhibitors targeting breast cancer: Design, synthesis, anticancer activity and in silico studies.新型苯磺酰胺类双重 VEGFR2/FGFR1 抑制剂靶向治疗乳腺癌:设计、合成、抗癌活性及计算机模拟研究。
Bioorg Chem. 2024 Nov;152:107728. doi: 10.1016/j.bioorg.2024.107728. Epub 2024 Aug 17.
4
Development of novel quinazolinone-based compounds with anti-proliferative activity as dual STAT-3 and c-Src inhibitors: design, synthesis and molecular dynamic studies.新型喹唑啉酮类化合物作为双靶点STAT-3和c-Src抑制剂的抗增殖活性研究:设计、合成及分子动力学研究
Bioorg Chem. 2025 Aug;163:108753. doi: 10.1016/j.bioorg.2025.108753. Epub 2025 Jul 15.
5
Design, synthesis, and cytotoxic evaluation of quinazoline-based derivatives as VEGER-2 inhibitors: comparative study against EGFR kinase activity, induction of apoptosis, and molecular docking study.基于喹唑啉的衍生物作为VEGER-2抑制剂的设计、合成及细胞毒性评价:针对EGFR激酶活性、细胞凋亡诱导及分子对接研究的比较性研究
RSC Adv. 2025 Aug 21;15(36):29593-29612. doi: 10.1039/d5ra03829d. eCollection 2025 Aug 18.
6
Examining the 2-aryl-5-nitrobenzofuran-based hydrazones for anti-breast (MCF-7) cancer activity, potential to induce cell cycle arrest and inhibit receptor tyrosine kinases (VEGFR-2 & EGFR).研究基于2-芳基-5-硝基苯并呋喃的腙类化合物的抗乳腺癌(MCF-7)活性、诱导细胞周期停滞的潜力以及抑制受体酪氨酸激酶(VEGFR-2和EGFR)的能力。
Eur J Med Chem. 2025 Nov 15;298:118018. doi: 10.1016/j.ejmech.2025.118018. Epub 2025 Aug 4.
7
Synthesis, cytotoxic activity, molecular docking, molecular dynamics simulations, and ADMET studies of novel spiropyrazoline oxindoles based on domino Knoevenagel-Michael cyclization as potent non-toxic anticancer agents targeting β-tubulin and EGFR, with anti-MRSA activity.基于多米诺Knoevenagel-Michael环化反应的新型螺吡唑啉氧化吲哚作为靶向β-微管蛋白和表皮生长因子受体的高效无毒抗癌剂的合成、细胞毒性活性、分子对接、分子动力学模拟及药物代谢动力学研究,兼具有抗耐甲氧西林金黄色葡萄球菌活性。
RSC Adv. 2025 Jun 19;15(26):20495-20512. doi: 10.1039/d5ra01257k. eCollection 2025 Jun 16.
8
Discovery of pyrazolo[1,5-a]pyrimidines: Synthesis, in silico insights, and anticancer activity via novel CDK2/Tubulin dual inhibition approach.吡唑并[1,5-a]嘧啶的发现:通过新型CDK2/微管蛋白双重抑制方法的合成、计算机模拟洞察及抗癌活性
Bioorg Chem. 2025 Aug 5;164:108792. doi: 10.1016/j.bioorg.2025.108792.
9
Synthesis, antiproliferative evaluation and studies of new quinazoline derivatives as VEGFR-2 inhibitors.新型喹唑啉衍生物作为VEGFR-2抑制剂的合成、抗增殖活性评价及研究
Future Med Chem. 2025 Jun;17(12):1407-1422. doi: 10.1080/17568919.2025.2525073. Epub 2025 Jul 4.
10
Development of New Thiadiazole Derivatives as VEGFR-2 Inhibitors With Anticancer and Proapoptotic Activities‏.新型噻二唑衍生物作为具有抗癌和促凋亡活性的VEGFR-2抑制剂的研发
Arch Pharm (Weinheim). 2025 Jul;358(7):e70042. doi: 10.1002/ardp.70042.

本文引用的文献

1
Preliminary evaluation of antiproliferative and apoptotic activities of novel indolin-2-one derivatives.新型吲哚啉-2-酮衍生物的抗增殖和促凋亡活性的初步评价。
Drug Dev Res. 2024 Aug;85(5):e22229. doi: 10.1002/ddr.22229.
2
CDK4/6 inhibitors in lung cancer: current practice and future directions.CDK4/6 抑制剂在肺癌中的应用:现状与未来方向。
Eur Respir Rev. 2024 Feb 14;33(171). doi: 10.1183/16000617.0145-2023. Print 2024 Jan 31.
3
Synthesis, molecular docking and DFT analysis of novel bis-Schiff base derivatives with thiobarbituric acid for α-glucosidase inhibition assessment.
新型双席夫碱噻唑烷二酮衍生物的合成、分子对接和 DFT 分析及其对α-葡萄糖苷酶抑制活性的评估。
Sci Rep. 2024 Feb 10;14(1):3419. doi: 10.1038/s41598-024-54021-z.
4
Insights into the selectivity of a brain-penetrant CDK4/6 vs CDK1/2 inhibitor for glioblastoma used in multiple replica molecular dynamics simulations.在多个重复分子动力学模拟中对一种可穿透血脑屏障的CDK4/6与CDK1/2抑制剂对胶质母细胞瘤的选择性的见解。
J Biomol Struct Dyn. 2025 Mar;43(5):2223-2242. doi: 10.1080/07391102.2023.2294175. Epub 2023 Dec 19.
5
Exploring cyclin-dependent kinase inhibitors: a comprehensive study in search of CDK-6 inhibitors using a pharmacophore modelling and dynamics approach.探索细胞周期蛋白依赖性激酶抑制剂:使用药效团建模和动力学方法寻找CDK-6抑制剂的综合研究。
RSC Adv. 2023 Nov 17;13(48):33770-33785. doi: 10.1039/d3ra05672d. eCollection 2023 Nov 16.
6
5-Methoxyisatin N(4)-Pyrrolidinyl Thiosemicarbazone (MeOIstPyrd) Restores Mutant p53 and Inhibits the Growth of Skin Cancer Cells, In Vitro.5-甲氧基异吲哚酮N(4)-吡咯烷基硫代半卡巴腙(MeOIstPyrd)可恢复突变型p53并在体外抑制皮肤癌细胞生长。
ACS Omega. 2023 Aug 24;8(35):31998-32016. doi: 10.1021/acsomega.3c03824. eCollection 2023 Sep 5.
7
Design, synthesis and biological evaluation of 4-arylamino-pyrimidine derivatives as focal adhesion kinase inhibitors.设计、合成及 4-芳氨基嘧啶衍生物作为黏着斑激酶抑制剂的生物评价。
Bioorg Chem. 2023 Nov;140:106792. doi: 10.1016/j.bioorg.2023.106792. Epub 2023 Aug 16.
8
Quinazoline-based VEGFR-2 inhibitors as potential anti-angiogenic agents: A contemporary perspective of SAR and molecular docking studies.基于喹唑啉的 VEGFR-2 抑制剂作为潜在的抗血管生成剂:SAR 和分子对接研究的当代视角。
Eur J Med Chem. 2023 Nov 5;259:115626. doi: 10.1016/j.ejmech.2023.115626. Epub 2023 Jul 8.
9
Regulation of the Cell Cycle by ncRNAs Affects the Efficiency of CDK4/6 Inhibition.ncRNAs 通过调控细胞周期影响 CDK4/6 抑制的效率。
Int J Mol Sci. 2023 May 18;24(10):8939. doi: 10.3390/ijms24108939.
10
Novel Reversible Inhibitors of Xanthine Oxidase Targeting the Active Site of the Enzyme.靶向黄嘌呤氧化酶活性位点的新型可逆抑制剂
Antioxidants (Basel). 2023 Mar 28;12(4):825. doi: 10.3390/antiox12040825.