Suppr超能文献

经颅振动声学刺激改善老年人的神经心理和认知功能:一项双盲、随机、对照试验。

Improvement of neuropsychological and cognitive functions in older adults through transcranial vibroacoustic stimulation: a double blind, randomized, comparative trial.

作者信息

Bae Jang-Han, Ha Jae-Young, Choung Jai Jun, Cho Min-Woo, Oh Byung-In, Lee Kun Ho, Youn Young Chul, Kim SangYun, Song Dong-Keun, Shin Chang-Ho

机构信息

Digital Health Research Division, Korea Institute of Oriental Medicine, Daejeon, Republic of Korea.

Aging Convergence Research Center, Korea Research Institute of Bioscience and Biotechnology, Daejeon, Republic of Korea.

出版信息

Front Aging Neurosci. 2025 Aug 8;17:1526088. doi: 10.3389/fnagi.2025.1526088. eCollection 2025.

Abstract

INTRODUCTION

Cognitive impairments are critical global public health issues. Recent research has focused on developing non-invasive methods for cognitive enhancement with the potential to slow cognitive decline. This study aimed to explore the effects of transcranial vibroacoustic stimulation (tVAS) on neuropsychological and cognitive functions in older adults.

METHODS

This double-blind, randomization, comparative trial applied tVAS at frequencies of 20 or 40 Hz for 30 min per day over an 8-week period using a novel tVAS device. Neuropsychological assessments, saliva cortisol levels, electroencephalography (EEG), and event-related potentials (ERP) were evaluated before and after the intervention.

RESULTS

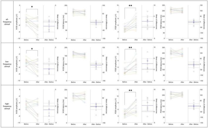
Following the tVAS intervention, total scores on the consortium to establish a registry for Alzheimer's disease-Korean version (CERAD-K) 1 and 2 indicated a significant overall improvement in cognitive function in both the 20 and 40 Hz tVAS groups ( < 0.01 and < 0.05, respectively). Center for epidemiologic studies depression scale (CES-D) scores after 40 Hz tVAS showed a significant reduction in depressive symptoms compared to baseline ( = 0.045), while no significant differences were observed in the 20 Hz group. Individual-level analyses showed that 40 Hz tVAS, but not 20 Hz, increased power across all EEG frequency bands and enhanced N100 and P200 ERP component amplitudes. Group-level comparisons revealed pronounced differences in the gamma band and a significant increase in P200 amplitude in the 40 Hz group.

DISCUSSION

Individual-level EEG and ERP analyses suggest that 40 Hz tVAS enhances neural plasticity, and early-stage sensory processing efficiency. Group-level comparisons further support the successful induction of gamma entrainment, potentially promoting brain network synchronization and increased sensitivity to high-frequency auditory stimuli. While the 40 Hz tVAS intervention demonstrated potential cognitive and affective benefits with favorable safety characteristics, larger-scale studies are needed to confirm its clinical applicability.

CLINICAL TRIAL REGISTRATION

https://cris.nih.go.kr/, identifier registration KCT0010055.

摘要

引言

认知障碍是全球关键的公共卫生问题。近期研究聚焦于开发非侵入性方法来增强认知,有望减缓认知衰退。本研究旨在探讨经颅振动声刺激(tVAS)对老年人神经心理和认知功能的影响。

方法

本双盲、随机、对照试验使用新型tVAS设备,以20或40赫兹的频率每天进行30分钟的tVAS刺激,为期8周。在干预前后评估神经心理、唾液皮质醇水平、脑电图(EEG)和事件相关电位(ERP)。

结果

tVAS干预后,阿尔茨海默病韩国版注册联盟(CERAD-K)1和2的总分显示,20赫兹和40赫兹tVAS组的认知功能均有显著整体改善(分别为<0.01和<0.05)。40赫兹tVAS后的流行病学研究中心抑郁量表(CES-D)得分与基线相比,抑郁症状显著减轻(=0.045),而20赫兹组未观察到显著差异。个体水平分析表明,40赫兹tVAS而非20赫兹tVAS增加了所有EEG频段的功率,并增强了N100和P200 ERP成分的振幅。组间水平比较显示,40赫兹组在γ波段有明显差异,P200振幅显著增加。

讨论

个体水平的EEG和ERP分析表明,40赫兹tVAS增强了神经可塑性和早期感觉处理效率。组间水平比较进一步支持成功诱导γ同步,可能促进脑网络同步,并提高对高频听觉刺激的敏感性。虽然40赫兹tVAS干预显示出潜在的认知和情感益处以及良好的安全性,但需要更大规模的研究来证实其临床适用性。

临床试验注册

https://cris.nih.go.kr/,标识符注册KCT0010055。

https://cdn.ncbi.nlm.nih.gov/pmc/blobs/853a/12371538/5f862fd87906/fnagi-17-1526088-g001.jpg

文献AI研究员

20分钟写一篇综述,助力文献阅读效率提升50倍。

立即体验

用中文搜PubMed

大模型驱动的PubMed中文搜索引擎

马上搜索

文档翻译

学术文献翻译模型,支持多种主流文档格式。

立即体验