Suppr超能文献

DNA编码文库筛选发现了靶向隐秘变构结合位点的强效DNMT2抑制剂。

DNA-encoded library screening uncovers potent DNMT2 inhibitors targeting a cryptic allosteric binding site.

作者信息

Frey Ariane F, Schwan Merlin, Weldert Annabelle C, Kadenbach Valerie, Kopp Jürgen, Nidoieva Zarina, Zimmermann Robert A, Gleue Lukas, Zimmer Collin, Jörg Marko, Friedland Kristina, Helm Mark, Sinning Irmgard, Barthels Fabian

机构信息

Institute of Pharmaceutical and Biomedical Sciences (IPBS), 55128 Mainz, Germany.

Heidelberg University Biochemistry Center (BZH), 69120 Heidelberg, Germany.

出版信息

iScience. 2025 Aug 5;28(9):113300. doi: 10.1016/j.isci.2025.113300. eCollection 2025 Sep 19.

Abstract

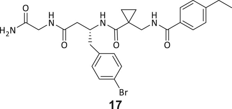
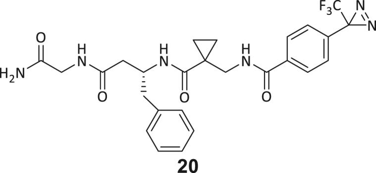
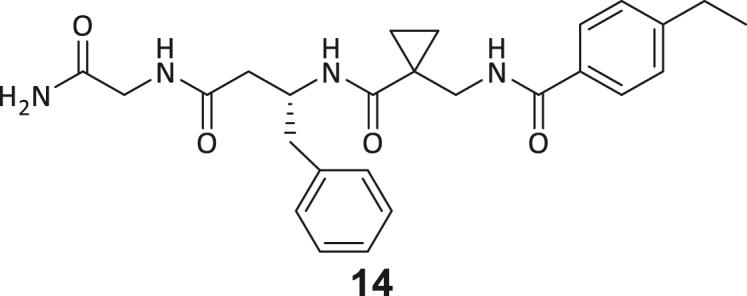
DNMT2 (TRDMT1) is a human RNA methyltransferase implicated in various disease processes. However, small-molecule targeting of DNMT2 remains challenging due to poor selectivity and low cellular availability of known -adenosylhomocysteine (SAH)-derived ligands. In this study, a DNA-encoded library (DEL) screen identified five non-SAH-like chemotypes that selectively bind DNMT2, including three peptidomimetics. Orthogonal assays confirmed target engagement, and X-ray crystallography revealed a previously unknown allosteric binding pocket formed via active site loop rearrangement. Guided by structural insights, the authors optimized a lead compound with a of 3.04 μM that reduces mC levels in MOLM-13 tRNA and synergizes with doxorubicin to impair cell viability. These inhibitors exhibit unprecedented selectivity over other methyltransferases, offering a promising scaffold for future DNMT2-targeting therapeutics. Beyond pharmacological implications, the study provides conceptual advances in understanding allosteric modulation and structural plasticity of DNMT2.

摘要

DNMT2(TRDMT1)是一种与多种疾病进程相关的人类RNA甲基转移酶。然而,由于已知的源自S-腺苷同型半胱氨酸(SAH)的配体选择性差且细胞利用率低,对DNMT2进行小分子靶向仍然具有挑战性。在本研究中,一项DNA编码文库(DEL)筛选鉴定出五种选择性结合DNMT2的非SAH样化学类型,包括三种拟肽。正交试验证实了靶点结合,X射线晶体学揭示了一个通过活性位点环重排形成的前所未知的变构结合口袋。在结构见解的指导下,作者优化了一种先导化合物,其解离常数为3.04 μM,可降低MOLM-13细胞系转运RNA中的5-甲基胞嘧啶水平,并与阿霉素协同作用以损害细胞活力。这些抑制剂对其他甲基转移酶表现出前所未有的选择性,为未来靶向DNMT2的治疗提供了一个有前景的支架。除了药理学意义外,该研究在理解DNMT2的变构调节和结构可塑性方面提供了概念上的进展。

https://cdn.ncbi.nlm.nih.gov/pmc/blobs/d0fb/12396291/0696953dbd83/fx1.jpg

文献检索

告别复杂PubMed语法,用中文像聊天一样搜索,搜遍4000万医学文献。AI智能推荐,让科研检索更轻松。

立即免费搜索

文件翻译

保留排版,准确专业,支持PDF/Word/PPT等文件格式,支持 12+语言互译。

免费翻译文档

深度研究

AI帮你快速写综述,25分钟生成高质量综述,智能提取关键信息,辅助科研写作。

立即免费体验