• 文献检索
  • 文档翻译
  • 深度研究
  • 学术资讯
  • Suppr Zotero 插件Zotero 插件
  • 邀请有礼
  • 套餐&价格
  • 历史记录
应用&插件
Suppr Zotero 插件Zotero 插件浏览器插件Mac 客户端Windows 客户端微信小程序
定价
高级版会员购买积分包购买API积分包
服务
文献检索文档翻译深度研究API 文档MCP 服务
关于我们
关于 Suppr公司介绍联系我们用户协议隐私条款
关注我们

Suppr 超能文献

核心技术专利:CN118964589B侵权必究
粤ICP备2023148730 号-1Suppr @ 2026

文献检索

告别复杂PubMed语法,用中文像聊天一样搜索,搜遍4000万医学文献。AI智能推荐,让科研检索更轻松。

立即免费搜索

文件翻译

保留排版,准确专业,支持PDF/Word/PPT等文件格式,支持 12+语言互译。

免费翻译文档

深度研究

AI帮你快速写综述,25分钟生成高质量综述,智能提取关键信息,辅助科研写作。

立即免费体验

睾酮与重组人生长激素在面肩肱型肌营养不良症中的研究

Study of Testosterone and Recombinant Human Growth Hormone in Facioscapulohumeral Muscular Dystrophy.

作者信息

Heatwole Chad Rydel, Luebbe Elizabeth, Hamel Johanna, Mongiovi Phillip C, Ciafaloni Emma, Dilek Nuran, Martens William B, Weber David R, Rashid Hani, Allen McKeown Jamie, Smith Claire H, Howell Samantha, Rosero Spencer Z, Eichinger Katy, Baker Lindsay S, Dekdebrun Jeanne M, Hilbert James E, Varma Anika, Thornton Charles A, McDermott Michael P, Moxley Richard T

机构信息

Department of Neurology, University of Rochester, NY.

The Center for Health + Technology (CHeT), Rochester, NY.

出版信息

Neurol Genet. 2025 Aug 27;11(5):e200292. doi: 10.1212/NXG.0000000000200292. eCollection 2025 Oct.

DOI:10.1212/NXG.0000000000200292
PMID:40900971
原文链接:https://pmc.ncbi.nlm.nih.gov/articles/PMC12401552/
Abstract

BACKGROUND AND OBJECTIVES

Effective therapies for facioscapulohumeral muscular dystrophy (FSHD) are currently limited. Recombinant human growth hormone (rHGH) combined with testosterone (combination therapy) may have meaningful clinical effects on ambulation, strength, muscle mass, and disease burden. As such, combination therapy has the potential to limit disease progression and functional decline in individuals with muscular dystrophy. The objective of this study was to evaluate the safety, tolerability, and potential efficacy of combination therapy in adult men with FSHD.

METHODS

This investigator-initiated, single-center (University of Rochester), single-arm, proof-of-concept study evaluated the safety and tolerability of combination therapy in ambulatory adult men with FSHD. Participants received daily rHGH combined with testosterone enanthate injections every 2 weeks for 24 weeks, followed by a 12-week washout period. Participants underwent serial safety and laboratory assessments to monitor safety and tolerability during the study. Participants were also evaluated for changes from baseline in lean body mass (LBM) and fat mass, measured by dual-energy X-ray absorptiometry; ambulation, measured by 6-minute walk distance; strength; clinical function, measured using the FSHD-Composite Outcome Measure (FSHD-COM); and patient-reported disease burden, measured by the FSHD Health Index (FSHD-HI).

RESULTS

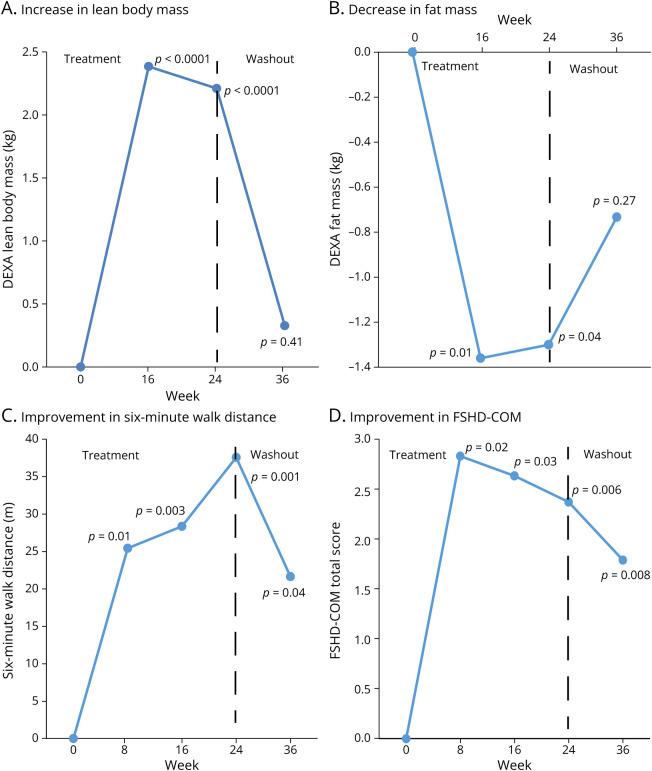
Nineteen of 20 participants completed the study, with no participants experiencing a serious adverse event. The most common adverse event was mild injection site reaction at the rHGH and/or testosterone injection site. After 24 weeks, LBM improved by 2.21 kilograms (95% CI 1.35-3.07; < 0.0001), fat mass decreased by 1.30 kilograms (95% CI -2.56 to -0.04; = 0.04), 6-minute walk distance increased by 37.3 m (95% CI 18.3-56.9; = 0.001), overall strength (average % of predicted normal) increased by 3% (95% CI 0.3-5.6; = 0.03), clinical function (FSHD-COM) improved by 2.4 points (95% CI 4.0-0.8; = 0.006), and total disease burden (FSHD-HI) decreased by 6.1 points (95% CI -12.0 to -0.2; = 0.04).

DISCUSSION

Combination therapy was safe and well tolerated in men with FSHD. Participants experienced improvements in ambulation, strength, muscle mass, and disease burden after receiving this study intervention. Larger randomized, double-blind, placebo-controlled trials are needed to further investigate this promising therapeutic approach.

TRIAL REGISTRATION INFORMATION

Registered on ClinicalTrials.gov: NCT03123913.

摘要

背景与目的

目前,面肩肱型肌营养不良(FSHD)的有效治疗方法有限。重组人生长激素(rHGH)联合睾酮(联合治疗)可能对行走能力、力量、肌肉质量和疾病负担产生有意义的临床效果。因此,联合治疗有可能限制肌营养不良患者的疾病进展和功能衰退。本研究的目的是评估联合治疗对成年男性FSHD患者的安全性、耐受性和潜在疗效。

方法

本由研究者发起、单中心(罗切斯特大学)、单臂、概念验证研究评估了联合治疗对能够行走的成年男性FSHD患者的安全性和耐受性。参与者每天接受rHGH治疗,并每2周注射一次庚酸睾酮,持续24周,随后是12周的洗脱期。在研究期间,参与者接受了一系列安全性和实验室评估,以监测安全性和耐受性。还通过双能X线吸收法评估了参与者瘦体重(LBM)和脂肪量相对于基线的变化;通过6分钟步行距离评估行走能力;评估力量;使用FSHD综合结局测量(FSHD-COM)评估临床功能;通过FSHD健康指数(FSHD-HI)评估患者报告的疾病负担。

结果

20名参与者中有19名完成了研究,没有参与者发生严重不良事件。最常见的不良事件是rHGH和/或睾酮注射部位的轻度注射部位反应。24周后,LBM增加了kg(95%CI1.35-3.07;<0.0001),脂肪量减少了1.30kg(95%CI-2.56至-0.04;=0.04),6分钟步行距离增加了37.3m(95%CI18.3-56.9;=0.001),总体力量(预测正常平均值的百分比)增加了3%(95%CI)0.3-5.

https://cdn.ncbi.nlm.nih.gov/pmc/blobs/401c/12401552/565160cbd86a/NXG-2024-100333f3.jpg
https://cdn.ncbi.nlm.nih.gov/pmc/blobs/401c/12401552/a58d45ab8fe4/NXG-2024-100333f1.jpg
https://cdn.ncbi.nlm.nih.gov/pmc/blobs/401c/12401552/0996f43e09a1/NXG-2024-100333f2.jpg
https://cdn.ncbi.nlm.nih.gov/pmc/blobs/401c/12401552/565160cbd86a/NXG-2024-100333f3.jpg
https://cdn.ncbi.nlm.nih.gov/pmc/blobs/401c/12401552/a58d45ab8fe4/NXG-2024-100333f1.jpg
https://cdn.ncbi.nlm.nih.gov/pmc/blobs/401c/12401552/0996f43e09a1/NXG-2024-100333f2.jpg
https://cdn.ncbi.nlm.nih.gov/pmc/blobs/401c/12401552/565160cbd86a/NXG-2024-100333f3.jpg

相似文献

1
Study of Testosterone and Recombinant Human Growth Hormone in Facioscapulohumeral Muscular Dystrophy.睾酮与重组人生长激素在面肩肱型肌营养不良症中的研究
Neurol Genet. 2025 Aug 27;11(5):e200292. doi: 10.1212/NXG.0000000000200292. eCollection 2025 Oct.
2
Corticosteroids for the treatment of Duchenne muscular dystrophy.用于治疗杜氏肌营养不良症的皮质类固醇
Cochrane Database Syst Rev. 2016 May 5;2016(5):CD003725. doi: 10.1002/14651858.CD003725.pub4.
3
Drugs for preventing postoperative nausea and vomiting in adults after general anaesthesia: a network meta-analysis.成人全身麻醉后预防术后恶心呕吐的药物:网状Meta分析
Cochrane Database Syst Rev. 2020 Oct 19;10(10):CD012859. doi: 10.1002/14651858.CD012859.pub2.
4
Prescription of Controlled Substances: Benefits and Risks管制药品的处方:益处与风险
5
Physical exercise training interventions for children and young adults during and after treatment for childhood cancer.针对儿童癌症治疗期间及治疗后的儿童和青少年的体育锻炼训练干预措施。
Cochrane Database Syst Rev. 2013 Apr 30(4):CD008796. doi: 10.1002/14651858.CD008796.pub2.
6
Electrotherapy modalities for adhesive capsulitis (frozen shoulder).治疗粘连性关节囊炎(肩周炎)的电疗法
Cochrane Database Syst Rev. 2014 Oct 1;2014(10):CD011324. doi: 10.1002/14651858.CD011324.
7
Antioxidants to prevent respiratory decline in people with Duchenne muscular dystrophy and progressive respiratory decline.抗氧化剂预防杜氏肌营养不良和进行性呼吸功能下降患者的呼吸功能下降。
Cochrane Database Syst Rev. 2021 Nov 8;11(11):CD013720. doi: 10.1002/14651858.CD013720.pub2.
8
Antioxidants to prevent respiratory decline in people with Duchenne muscular dystrophy and progressive respiratory decline.抗氧化剂预防杜氏肌营养不良症和进行性呼吸功能下降患者的呼吸功能下降。
Cochrane Database Syst Rev. 2021 Dec 1;12(12):CD013720. doi: 10.1002/14651858.CD013720.pub3.
9
Physical exercise training interventions for children and young adults during and after treatment for childhood cancer.针对儿童癌症治疗期间及治疗后的儿童和青少年的体育锻炼训练干预措施。
Cochrane Database Syst Rev. 2016 Mar 31;3(3):CD008796. doi: 10.1002/14651858.CD008796.pub3.
10
Systemic treatments for metastatic cutaneous melanoma.转移性皮肤黑色素瘤的全身治疗
Cochrane Database Syst Rev. 2018 Feb 6;2(2):CD011123. doi: 10.1002/14651858.CD011123.pub2.

本文引用的文献

1
A longitudinal study of disease progression in facioscapulohumeral muscular dystrophy (FSHD).面肩肱型肌营养不良症(FSHD)疾病进展的纵向研究。
Muscle Nerve. 2024 Mar;69(3):362-367. doi: 10.1002/mus.28031. Epub 2024 Jan 8.
2
Clinical Indications for Growth Hormone Therapy.生长激素治疗的临床适应证。
Adv Pediatr. 2022 Aug;69(1):203-217. doi: 10.1016/j.yapd.2022.03.005. Epub 2022 Jun 17.
3
International Society for the Study of Women's Sexual Health Clinical Practice Guideline for the Use of Systemic Testosterone for Hypoactive Sexual Desire Disorder in Women.
国际女性性健康研究学会关于女性性欲减退障碍使用系统性睾酮的临床实践指南。
J Sex Med. 2021 May;18(5):849-867. doi: 10.1016/j.jsxm.2020.10.009. Epub 2021 Apr 1.
4
Patient-Reported Symptoms in Facioscapulohumeral Muscular Dystrophy (PRISM-FSHD).面肩肱型肌营养不良症患者报告的症状(PRISM-FSHD)。
Neurology. 2019 Sep 17;93(12):e1180-e1192. doi: 10.1212/WNL.0000000000008123. Epub 2019 Aug 13.
5
Facioscapulohumeral muscular dystrophy functional composite outcome measure.面肩肱型肌营养不良功能综合结局指标
Muscle Nerve. 2018 Jan 30. doi: 10.1002/mus.26088.
6
225th ENMC international workshop:: A global FSHD registry framework, 18-20 November 2016, Heemskerk, The Netherlands.第225届ENMC国际研讨会:全球面肩肱型肌营养不良症登记框架,2016年11月18 - 20日,荷兰赫姆斯凯尔克
Neuromuscul Disord. 2017 Aug;27(8):782-790. doi: 10.1016/j.nmd.2017.04.004. Epub 2017 Apr 12.
7
Combination therapy in combating cancer.癌症治疗中的联合疗法。
Oncotarget. 2017 Jun 6;8(23):38022-38043. doi: 10.18632/oncotarget.16723.
8
Estrogens enhance myoblast differentiation in facioscapulohumeral muscular dystrophy by antagonizing DUX4 activity.雌激素通过拮抗DUX4活性增强面肩肱型肌营养不良症中的成肌细胞分化。
J Clin Invest. 2017 Apr 3;127(4):1531-1545. doi: 10.1172/JCI89401. Epub 2017 Mar 6.
9
Treatment of sporadic inclusion body myositis with bimagrumab.采用比马鲁单抗治疗散发性包涵体肌炎。
Neurology. 2014 Dec 9;83(24):2239-46. doi: 10.1212/WNL.0000000000001070. Epub 2014 Nov 7.
10
Risk of functional impairment in Facioscapulohumeral muscular dystrophy.面肩肱型肌营养不良症的功能障碍风险。
Muscle Nerve. 2014 Apr;49(4):520-7. doi: 10.1002/mus.23949. Epub 2014 Feb 10.