Suppr超能文献

姜(Roscoe)中生长素响应因子的全基因组分析及表达谱

Genome-Wide Analysis and Expression Profiles of Auxin Response Factors in Ginger ( Roscoe).

作者信息

Tong Yuanyuan, Xu Sujuan, Shi Jiayu, He Yi, Li Hong-Lei, Yu Tian, Zhang Sinian, Xing Hai-Tao

机构信息

College of Smart Agriculture/Institute of Special Plants, Chongqing University of Arts and Sciences, Chongqing 402168, China.

Chongqing Key Laboratory for Germplasm Innovation of Special Aromatic Spice Plants, Chongqing University of Arts and Sciences, Chongqing 402168, China.

出版信息

Int J Mol Sci. 2025 Aug 29;26(17):8412. doi: 10.3390/ijms26178412.

Abstract

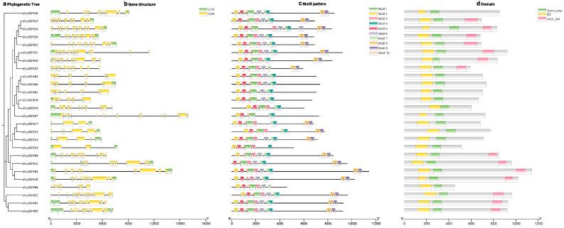
Ginger, an economically important crop, fulfills multifunctional roles as a spice, vegetable, and raw material for medicinal and chemical products. The family of Auxin Response Factors (ARFs) plays an essential role in facilitating auxin signal transduction and regulating plant growth and development. However, the role of genes in ginger, a crop of considerable economic importance, remains elucidated. In this study, a total of 26 genes were identified in the ginger genome, which were further categorized into four subfamilies (I-IV) and displayed a non-uniform distribution across 11 chromosomes. The proteins are predominantly localized to the nucleus. Promoter regions contained numerous -elements linked to light signaling, phytohormones, growth, development, and stress responses. Collinearity analysis revealed 9 pairs of fragment duplication events in , all uniformly distributed across their related chromosomes. In addition, the expression profiles of in ginger were analyzed during development and under several stress conditions like ABA, cold, drought, heat, and salt, employing RNA-seq data and qRT-PCR analysis. Notably, expression profiling revealed tissue-specific functions, with associated with flower development and implicated in root growth. This work provides an in-depth insight into the family and establishes a foundation for future investigations of gene functions in ginger growth, development, and abiotic stress tolerance.

摘要

生姜是一种具有重要经济价值的作物,兼具香料、蔬菜以及医药和化工产品原料等多种功能。生长素响应因子(ARF)家族在促进生长素信号转导以及调节植物生长发育过程中发挥着至关重要的作用。然而,在具有相当经济重要性的作物生姜中,这些基因的作用仍有待阐明。在本研究中,在生姜基因组中共鉴定出26个该基因,它们进一步被分为四个亚家族(I-IV),并在11条染色体上呈现出不均匀分布。这些蛋白质主要定位于细胞核。启动子区域包含许多与光信号、植物激素、生长、发育和应激反应相关的元件。共线性分析揭示了该基因中的9对片段重复事件,它们均均匀分布在其相关染色体上。此外,利用RNA测序数据和qRT-PCR分析,对生姜在发育过程中以及在脱落酸、寒冷、干旱、高温和盐等几种胁迫条件下该基因的表达谱进行了分析。值得注意的是,表达谱分析揭示了其组织特异性功能,其中一些基因与花发育相关,而另一些则与根生长有关。这项工作为深入了解该基因家族提供了见解,并为未来研究该基因在生姜生长、发育和非生物胁迫耐受性方面的功能奠定了基础。

https://cdn.ncbi.nlm.nih.gov/pmc/blobs/af40/12428267/827a39bf9b32/ijms-26-08412-g001.jpg

文献检索

告别复杂PubMed语法,用中文像聊天一样搜索,搜遍4000万医学文献。AI智能推荐,让科研检索更轻松。

立即免费搜索

文件翻译

保留排版,准确专业,支持PDF/Word/PPT等文件格式,支持 12+语言互译。

免费翻译文档

深度研究

AI帮你快速写综述,25分钟生成高质量综述,智能提取关键信息,辅助科研写作。

立即免费体验