Suppr超能文献

在杜氏肌营养不良症的产前诊断中,结合聚合酶链反应(PCR)检测连接片段和缺失外显子,可有效识别母体细胞污染。

Combining PCR to detect junction fragments and deleted exons in the prenatal diagnosis of BMD can effectively identify maternal cell contamination.

作者信息

Cai Lidan, Li Wei, Zhong Min

机构信息

Department of Psychiatry and Psychology, Nanfang Hospital, Southern Medical University, Guangzhou, Guangdong, China.

Department of Neurology, Nanfang Hospital, Southern Medical University, Guangzhou, Guangdong, China.

出版信息

Front Med (Lausanne). 2025 Sep 3;12:1599498. doi: 10.3389/fmed.2025.1599498. eCollection 2025.

Abstract

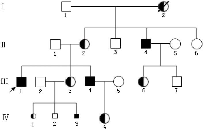
BACKGROUND

The junction fragment after the gene deletion has been identified as a new specific DNA sequence formed by the reconnection of the ends. Our study aims to report a novel method for prenatal diagnosis of BMD by using PCR to detect junction fragments and deleted exons.

METHODS

We performed the prenatal diagnosis of a fetus with deletional BMD in this study. The proband of this family was the deletion of exons 3 to 5 of the gene. The junction fragment primer designed after locating the breakpoint was used to PCR-amplify the junction fragments of the villus sample and the amniotic fluid genomic DNA. The exon 3 primer was used to amplify the deletion exons of the gene from the villus sample and the amniotic fluid genomic DNA, respectively. At the same time, sex identification was carried out. Finally, the diagnosis results were analyzed.

RESULTS

The diagnosis of villus sampling was a contradictory result of obtaining the gene deletion junction fragment and the absence of the exon deletion in the male fetus, suggesting that the villus sample was contaminated by maternal cells and the test was unsuccessful. The subsequent diagnosis of amniotic fluid was that the male fetus detected both the junction fragment and the corresponding exon deletion, and was diagnosed as a male fetus with BMD.

CONCLUSIONS

Combining PCR to detect junction fragments and deleted exons in the prenatal diagnosis of BMD can effectively identify maternal cell contamination. The results were confirmed to be highly accurate and specific.

摘要

背景

基因缺失后的连接片段已被鉴定为一种由末端重新连接形成的新的特异性DNA序列。我们的研究旨在报告一种通过聚合酶链反应(PCR)检测连接片段和缺失外显子来进行假肥大型肌营养不良症(BMD)产前诊断的新方法。

方法

在本研究中,我们对一名患有缺失型BMD的胎儿进行了产前诊断。该家族的先证者为该基因外显子3至5缺失。在定位断点后设计的连接片段引物用于对绒毛样本和羊水基因组DNA的连接片段进行PCR扩增。外显子3引物分别用于从绒毛样本和羊水基因组DNA中扩增该基因的缺失外显子。同时,进行性别鉴定。最后,对诊断结果进行分析。

结果

绒毛取样诊断结果为在男性胎儿中获得基因缺失连接片段但外显子缺失阴性,提示绒毛样本被母体细胞污染,检测失败。随后的羊水诊断结果为男性胎儿同时检测到连接片段和相应外显子缺失,诊断为患有BMD的男性胎儿。

结论

在BMD产前诊断中结合PCR检测连接片段和缺失外显子可有效识别母体细胞污染。结果经证实具有高度准确性和特异性。

https://cdn.ncbi.nlm.nih.gov/pmc/blobs/14ec/12440874/094b9037be39/fmed-12-1599498-g0001.jpg

文献检索

告别复杂PubMed语法,用中文像聊天一样搜索,搜遍4000万医学文献。AI智能推荐,让科研检索更轻松。

立即免费搜索

文件翻译

保留排版,准确专业,支持PDF/Word/PPT等文件格式,支持 12+语言互译。

免费翻译文档

深度研究

AI帮你快速写综述,25分钟生成高质量综述,智能提取关键信息,辅助科研写作。

立即免费体验