Suppr超能文献

用于多种癌症药物的极简肽纳米载体

Minimalistic Peptide Nanocarriers for Multiple Cancer Drugs.

作者信息

Vlachou Anastasia, Tiwari Om Shanker, Chibh Sonika, Remmert Jake R, Gazit Ehud, Tamamis Phanourios

机构信息

Artie McFerrin Department of Chemical Engineering, Texas A&M University, College Station, Texas 77843-3122, United States.

The Shmunis School of Biomedicine and Cancer Research, George S. Wise Faculty of Life Sciences, Tel Aviv University, Tel Aviv 6997801, Israel.

出版信息

ACS Appl Bio Mater. 2025 Oct 20;8(10):9093-9108. doi: 10.1021/acsabm.5c01234. Epub 2025 Oct 6.

Abstract

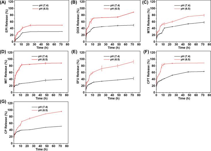
The co-assembly of minimalistic peptides with cancer drugs, leading to the formation of nanocarriers for drug delivery, comprises a promising direction in chemotherapeutics. We computationally designed fluorescent minimalistic four-residue peptide nanocarriers for multiple cancer drugs: Epirubicin, Doxorubicin, Methotrexate, Mitomycin-C, 5-Fluorouracil, Camptothecin, and Cyclophosphamide. The optimally designed resulting nanocarriers formed by FFWH have notable drug encapsulation properties for the drugs investigated, according to both computational and experimental studies. Additionally, the nanocarriers possess biocompatibility, enhanced fluorescence, and uptake into HeLa cells using live cell confocal microscopic images. Our simulations demonstrate how the same peptide can efficiently be used to encapsulate these drugs as well as provide structural and biophysical understanding of their properties. We suggest that the designed nanocarriers can serve as programmable nanostructures for the future design of new generations of advanced nanocarriers with potential cancer- and patient-specific targeting properties.

摘要

简约肽与抗癌药物的共组装,从而形成用于药物递送的纳米载体,这是化疗领域一个很有前景的方向。我们通过计算设计了用于多种抗癌药物的荧光简约四残基肽纳米载体,这些药物包括表柔比星、多柔比星、甲氨蝶呤、丝裂霉素-C、5-氟尿嘧啶、喜树碱和环磷酰胺。根据计算和实验研究,由FFWH形成的优化设计的纳米载体对所研究的药物具有显著的药物包封特性。此外,这些纳米载体具有生物相容性、增强的荧光性,并且通过活细胞共聚焦显微镜图像显示其能够被HeLa细胞摄取。我们的模拟展示了同一肽如何能够有效地用于包封这些药物,以及提供对其性质的结构和生物物理理解。我们认为,所设计的纳米载体可以作为可编程的纳米结构,用于未来设计具有潜在癌症和患者特异性靶向特性的新一代先进纳米载体。

https://cdn.ncbi.nlm.nih.gov/pmc/blobs/e100/12541707/2ffbb3c0a7b3/mt5c01234_0001.jpg

文献AI研究员

20分钟写一篇综述,助力文献阅读效率提升50倍。

立即体验

用中文搜PubMed

大模型驱动的PubMed中文搜索引擎

马上搜索

文档翻译

学术文献翻译模型,支持多种主流文档格式。

立即体验