Suppr超能文献

Comparison of artificial neural network-predicted PPG and HVPG with measured PPG in decompensated cirrhosis patients.

作者信息

Wang Zhonghua, Liu Ziwen, Lv Mengxin, Wang Yulin, Yu Yuanzi, Li Tao, Hu Jinhua

机构信息

Department of Gastroenterology, Shandong Provincial Hospital Affiliated to Shandong First Medical University, No.324, Jingwu Road, Jinan, Shandong, 250021, People's Republic of China.

Department of Gastroenterology, Affiliated Hospital of Shandong Second Medical University, Weifang, Shandong, 261000, People's Republic of China.

出版信息

Sci Rep. 2025 Oct 13;15(1):35641. doi: 10.1038/s41598-025-19464-y.

Abstract

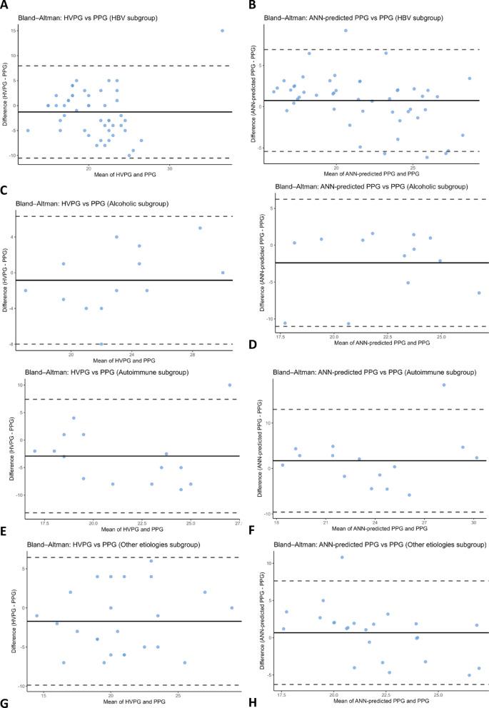
Portal hypertension (PHT) is pivotal in managing decompensated cirrhosis. In clinical practice, hepatic venous collaterals are frequently present, often leading to failure or reduced accuracy of hepatic venous pressure gradient (HVPG) measurements, thereby making HVPG an imperfect surrogate for the portal pressure gradient (PPG). Artificial neural networks (ANNs) have shown potential in integrating multidimensional clinical variables and predicting complex disease states; however, their value in the assessment of PHT remains insufficiently validated. The study compared ANN-predicted PPG with measured PPG and HVPG in two cohorts: Group A (all patients), reflecting routine clinical practice, and Group B (excluding cases with coefficient of variation (CV) > 30%, most with venous collaterals), approximating optimized conditions. Subgroup analyses in Group B further assessed differences by etiology and Child-Pugh class. We retrospectively included 164 patients with decompensated cirrhosis who underwent TIPS between June 2014 and July 2024, with intra-procedural HVPG and PPG measurements. An ANN model predicted PPG based on INR, WBC, and portal vein diameter. Group A included all patients (n = 164), reflecting real-world conditions where HVPG may be affected by collaterals. Group B represented a strict quality-control cohort (n = 101), in which cases with a measurement CV > 30% were excluded; retrospective review indicated that most of these excluded patients exhibited hepatic venous collaterals thereby approximating an "ideal condition" without the influence of collaterals. Statistical analyses included paired t tests, Pearson correlations, Steiger's Z-tests, and Bland-Altman analysis. Subgroup analyses were conducted by etiology and Child-Pugh class. In the overall cohort (Group A, n = 164), HVPG showed negligible correlation with PPG (r = 0.014), whereas ANN-predicted PPG demonstrated moderate correlation (r = 0.437, P < 0.001) with significantly narrower LoA. In the quality-controlled cohort (Group B, n = 101), both HVPG and ANN-predicted PPG correlated moderately with PPG (r = 0.457 vs. 0.476) with comparable agreement. Subgroup analyses indicated that ANN outperformed HVPG in hepatitis B and Child-Pugh C patients, while HVPG was slightly better in alcohol-related cirrhosis; both methods performed poorly in autoimmune liver disease. HVPG remains the gold standard for assessing portal pressure but is limited by hepatic venous collaterals, advanced liver dysfunction, and the need for invasive measurement. ANN-predicted PPG showed favorable correlation and agreement with measured PPG, providing a noninvasive, simple, and reproducible complement to HVPG for clinical assessment and follow-up.

摘要
https://cdn.ncbi.nlm.nih.gov/pmc/blobs/c8cf/12518846/2852596b97d5/41598_2025_19464_Fig1_HTML.jpg

文献AI研究员

20分钟写一篇综述,助力文献阅读效率提升50倍。

立即体验

用中文搜PubMed

大模型驱动的PubMed中文搜索引擎

马上搜索

文档翻译

学术文献翻译模型,支持多种主流文档格式。

立即体验