Suppr超能文献

氮杂谷氨酰胺衍生物作为甲型肝炎病毒(HAV)3C蛋白酶抑制剂的合成与测试

Synthesis and testing of azaglutamine derivatives as inhibitors of hepatitis A virus (HAV) 3C proteinase.

作者信息

Huang Y, Malcolm B A, Vederas J C

机构信息

Department of Chemistry, University of Alberta, Edmonton, Canada.

出版信息

Bioorg Med Chem. 1999 Apr;7(4):607-19. doi: 10.1016/s0968-0896(99)00006-1.

Abstract

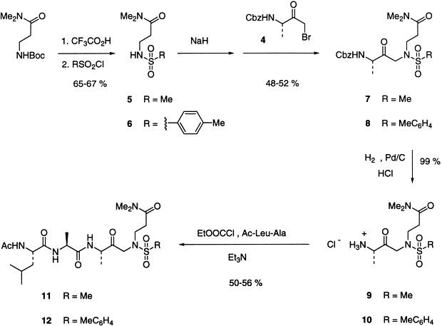
Hepatitis A virus (HAV) 3C proteinase is a picornaviral cysteine proteinase that is essential for cleavage of the initially synthesized viral polyprotein precursor to mature fragments and is therefore required for viral replication in vivo. Since the enzyme generally recognizes peptide substrates with L-glutamine at the P1 site, four types of analogues having an azaglutamine residue were chemically synthesized: hydrazo-o-nitrophenylsulfenamides A (e.g. 16); frame-shifted hydrazo-o-nitrophenylsulfenamides B (e.g. 25-28); the azaglutamine sulfonamides C (e.g. 7, 8, 11, 12); and haloacetyl azaglutamine analogues 2 and 3. Testing of these compounds for inhibition of the HAV 3C proteinase employed a C24S mutant in which the non-essential surface cysteine was replaced with serine and which displays identical catalytic parameters to the wild-type enzyme. Sulfenamide 16 (type A) showed no significant inhibition. Sulfenamide 27 (type B) had an IC50 of ca 100 microM and gave time-dependent inactivation of the enzyme due to disulfide bond formation with the active site cysteine thiol, as demonstrated by electrospray mass spectrometry. Sulfonamide 8 (type C) was a weak competitive inhibitor with an IC50 of approximately 75 microM. The haloacetyl azaglutamine analogues 2 and 3 were time-dependent irreversible inactivators of HAV 3C proteinase with rate constants k(obs)/[I] of 680 M(-1) s(-1) and 870 M(-1) s(-1), respectively, and were shown to alkylate the active site thiol.

摘要

甲型肝炎病毒(HAV)3C蛋白酶是一种小RNA病毒半胱氨酸蛋白酶,对于将最初合成的病毒多蛋白前体切割成成熟片段至关重要,因此是体内病毒复制所必需的。由于该酶通常识别P1位点带有L-谷氨酰胺的肽底物,因此化学合成了四种具有氮杂谷氨酰胺残基的类似物:连氮基邻硝基苯亚磺酰胺A(例如16);移码连氮基邻硝基苯亚磺酰胺B(例如25 - 28);氮杂谷氨酰胺磺酰胺C(例如7、8、11、12);以及卤乙酰氮杂谷氨酰胺类似物2和3。使用C24S突变体对这些化合物抑制HAV 3C蛋白酶进行测试,在该突变体中,非必需的表面半胱氨酸被丝氨酸取代,并且其催化参数与野生型酶相同。亚磺酰胺16(A类)未显示出明显抑制作用。亚磺酰胺27(B类)的IC50约为100 microM,并且由于与活性位点半胱氨酸硫醇形成二硫键而导致酶的时间依赖性失活,电喷雾质谱法证明了这一点。磺酰胺8(C类)是一种弱竞争性抑制剂,IC50约为75 microM。卤乙酰氮杂谷氨酰胺类似物2和3是HAV 3C蛋白酶的时间依赖性不可逆失活剂,速率常数k(obs)/[I]分别为680 M(-1) s(-1)和870 M(-1) s(-1),并且显示出使活性位点硫醇烷基化。

https://cdn.ncbi.nlm.nih.gov/pmc/blobs/2001/7172622/225547092922/fx1.jpg

文献检索

告别复杂PubMed语法,用中文像聊天一样搜索,搜遍4000万医学文献。AI智能推荐,让科研检索更轻松。

立即免费搜索

文件翻译

保留排版,准确专业,支持PDF/Word/PPT等文件格式,支持 12+语言互译。

免费翻译文档

深度研究

AI帮你快速写综述,25分钟生成高质量综述,智能提取关键信息,辅助科研写作。

立即免费体验