Suppr超能文献

胸科大手术后的高胆红素血症:心脏直视手术与食管癌切除术的比较。

Hyperbilirubinaemia after major thoracic surgery: comparison between open-heart surgery and oesophagectomy.

作者信息

Hosotsubo K K, Nishimura M, Nishimura S

机构信息

Osaka University Hospital, Suita, Japan.

出版信息

Crit Care. 2000;4(3):180-7. doi: 10.1186/cc691. Epub 2000 Mar 27.

Abstract

BACKGROUND

Hyperbilirubinaemia is a common occurrence in patients who are admitted to intensive care units (ICUs) after major surgery, and it is associated with high mortality. We investigated the incidence of hyperbilirubinaemia after two major types of thoracic surgery: open-heart surgery and oesophagectomy. In order to identify the risk factors associated with hyperbilirubinaemia after major surgery, we compared the incidence after open-heart surgery with that after oesophagectomy.

RESULTS

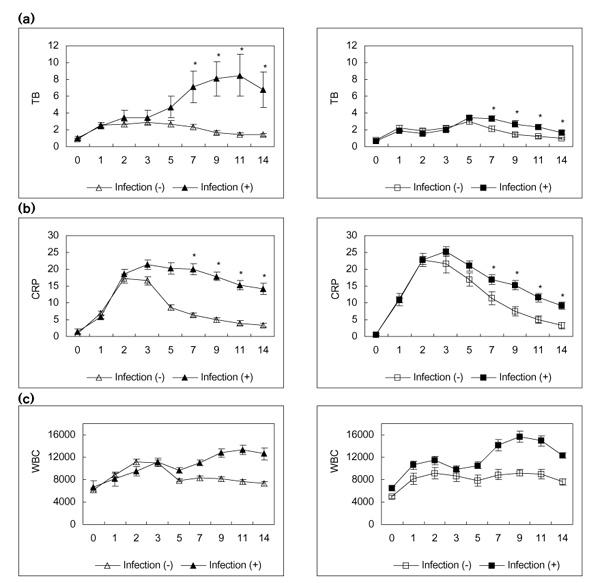
Hyperbilirubinaemia was detected in 51% of the open-heart surgery patients (n = 133) and in 64% in the oesophagectomy group (n = 74). The incidence of hyperbilirubinaemia was significantly related to the duration of surgery (P< 0.05). In the open-heart surgery group, duration of surgery was 465 +/- 24 min for the patients without hyperbilirubinaemia and 571 +/- 26 min for the patients with hyperbilirubinaemia. In the oesophagectomy group, the procedure durations were 415 +/- 17 min and 493 +/- 20 min, respectively. The overall mortality rate was 8% in the open-heart surgery group; the rate was 12% in those with hyperbilirubinaemia, but 5% in those without hyperbilirubinaemia. No members of the oesophagectomy group died, with or without hyperbilirubinaemia. Infection significantly affected both the occurrence of hyperbilirubinaemia and mortality in the open-heart surgery group. In the subgroups from the open-heart surgery group, 5% (three out of 65) of those without hyperbilirubinaemia (or evidence of infection) died; of the patients with hyperbilirubinaemia, 3% (one out of 38) of those without infection died and 23% (seven out of 30) with detected infection died.

CONCLUSION

After open-heart surgery and oesophagectomy, approximately half of the patients studied had higher levels of serum total bilirubin. Time spent in surgery was significantly related to the occurrence of hyperbilirubinaemia. Infection significantly affected mortality and total bilirubin levels after open-heart surgery. Control of infection plays a crucial role in the prevention of hyperbilirubinaemia and in reducing mortality.

摘要

背景

高胆红素血症在接受大手术后入住重症监护病房(ICU)的患者中很常见,且与高死亡率相关。我们调查了两种主要类型胸外科手术后高胆红素血症的发生率:心脏直视手术和食管切除术。为了确定大手术后与高胆红素血症相关的危险因素,我们比较了心脏直视手术后和食管切除术后的发生率。

结果

心脏直视手术患者中有51%(n = 133)检测到高胆红素血症,食管切除术组中有64%(n = 74)检测到。高胆红素血症的发生率与手术时间显著相关(P < 0.05)。在心脏直视手术组中,无高胆红素血症患者的手术时间为465±24分钟,有高胆红素血症患者的手术时间为571±26分钟。在食管切除术组中,手术时间分别为415±17分钟和493±20分钟。心脏直视手术组的总死亡率为8%;有高胆红素血症患者的死亡率为12%,无高胆红素血症患者的死亡率为5%。食管切除术组无论有无高胆红素血症均无死亡病例。感染对心脏直视手术组高胆红素血症的发生和死亡率均有显著影响。在心脏直视手术组的亚组中,无高胆红素血症(或无感染证据)的患者中有5%(65例中的3例)死亡;有高胆红素血症的患者中,无感染的患者中有3%(38例中的1例)死亡,有感染的患者中有23%(30例中的7例)死亡。

结论

心脏直视手术和食管切除术后,约一半的研究患者血清总胆红素水平较高。手术时间与高胆红素血症的发生显著相关。感染对心脏直视手术后的死亡率和总胆红素水平有显著影响。控制感染在预防高胆红素血症和降低死亡率方面起着关键作用。

https://cdn.ncbi.nlm.nih.gov/pmc/blobs/6aaf/29041/1d66f3aa7e4c/cc-4-3-180-1.jpg

文献检索

告别复杂PubMed语法,用中文像聊天一样搜索,搜遍4000万医学文献。AI智能推荐,让科研检索更轻松。

立即免费搜索

文件翻译

保留排版,准确专业,支持PDF/Word/PPT等文件格式,支持 12+语言互译。

免费翻译文档

深度研究

AI帮你快速写综述,25分钟生成高质量综述,智能提取关键信息,辅助科研写作。

立即免费体验