Polstra Abeltje M, Goudsmit J, Cornelissen M
Department of Human Retrovirology, Academic Medical Center, University of Amsterdam, Amsterdam, The Netherlands.
BMC Infect Dis. 2002 Sep 4;2:18. doi: 10.1186/1471-2334-2-18.
Human herpesvirus-8 (HHV-8) is linked to the pathogenesis of Kaposi's sarcoma (KS), and the HHV-8 DNA load in peripheral blood mononuclear cells (PBMC) is associated with the clinical stage of KS. To examine the expression of HHV-8 in PBMC, four HHV-8 mRNA specific NASBA assays were developed
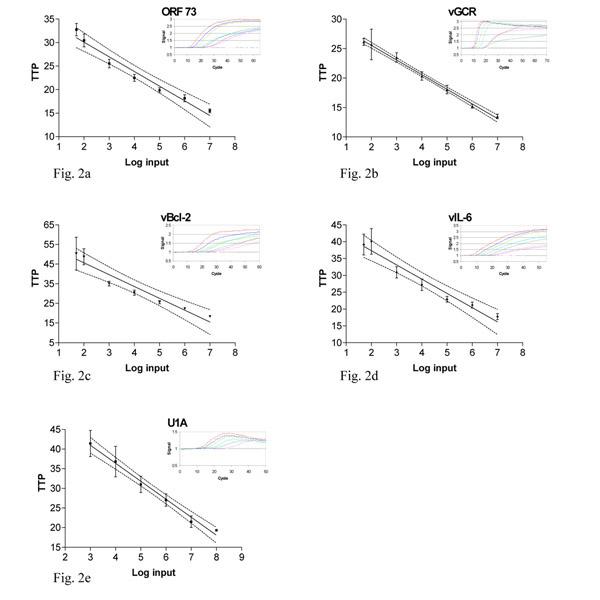
We have developed four quantitative nucleic acid sequence-based amplification assays (NASBA-QT) specifically to detect mRNA coding for ORF 73 (latency-associated nuclear antigen, LANA), vGCR (a membrane receptor), vBcl-2 (a viral inhibitor of apoptosis) and vIL-6 (a viral growth factor). The NASBA technique amplifies nucleic acids without thermocycling and mRNA can be amplified in a dsDNA background. A molecular beacon is used during amplification to enable real-time detection of the product. The assays were tested on PBMC samples of two AIDS-KS patients from the Amsterdam Cohort.
For all four assays, the limit of detection (LOD) of 50 molecules and the limit of quantification (LOQ) of 100 molecules were determined using in vitro transcribed RNA. The linear dynamic range was 50 to 10(7) molecules of HHV-8 mRNA. We found HHV-8 mRNA expression in 9 out of the 10 tested samples.
These real-time NASBA assays with beacon detection provide tools for further study of HHV-8 expression in patient material.
人类疱疹病毒8型(HHV-8)与卡波西肉瘤(KS)的发病机制相关,外周血单个核细胞(PBMC)中的HHV-8 DNA载量与KS的临床分期有关。为检测HHV-8在PBMC中的表达,开发了四种HHV-8 mRNA特异性核酸序列扩增分析方法。
我们开发了四种基于核酸序列的定量扩增分析方法(NASBA-QT),专门用于检测编码ORF 73(潜伏相关核抗原,LANA)、vGCR(一种膜受体)、vBcl-2(一种病毒凋亡抑制剂)和vIL-6(一种病毒生长因子)的mRNA。NASBA技术无需热循环即可扩增核酸,并且mRNA可以在双链DNA背景下扩增。扩增过程中使用分子信标实时检测产物。在来自阿姆斯特丹队列的两名艾滋病相关KS患者的PBMC样本上对这些分析方法进行了测试。
对于所有四种分析方法,使用体外转录RNA确定了检测限(LOD)为50个分子,定量限(LOQ)为100个分子。线性动态范围为50至10(7)个HHV-8 mRNA分子。我们在10个测试样本中的9个中发现了HHV-8 mRNA表达。
这些带有信标检测的实时NASBA分析方法为进一步研究患者材料中HHV-8的表达提供了工具。