Harbarth Stephan, Albrich Werner, Brun-Buisson Christian
University of Geneva Hospitals, Switzerland.
Emerg Infect Dis. 2002 Dec;8(12):1460-7. doi: 10.3201/eid0812.010533.
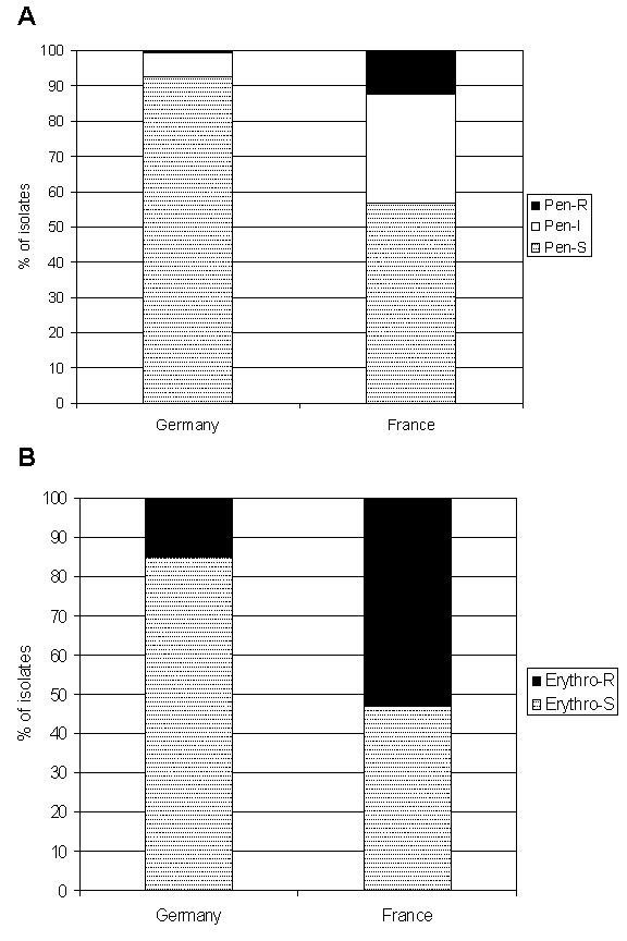
The prevalence of penicillin-nonsusceptible pneumococci is sharply divided between France (43%) and Germany (7%). These differences may be explained on different levels: antibiotic-prescribing practices for respiratory tract infections; patient-demand factors and health-belief differences; social determinants, including differing child-care practices; and differences in regulatory practices. Understanding these determinants is crucial for the success of possible interventions. Finally, we emphasize the overarching importance of a sociocultural approach to preventing antibiotic resistance in the community.
对青霉素不敏感的肺炎球菌的流行率在法国(43%)和德国(7%)之间存在显著差异。这些差异可以从不同层面来解释:呼吸道感染的抗生素处方习惯;患者需求因素和健康观念差异;社会决定因素,包括不同的儿童保育方式;以及监管方式的差异。了解这些决定因素对于可能的干预措施取得成功至关重要。最后,我们强调采用社会文化方法预防社区抗生素耐药性的总体重要性。