Suppr超能文献

空气栓塞作为全身炎症反应综合征的一个病因:病例报告

Air embolism as a cause of the systemic inflammatory response syndrome: a case report.

作者信息

Kapoor Tarun, Gutierrez Guillermo

机构信息

Department of Internal Medicine, The George Washington University, Washington, DC, USA.

出版信息

Crit Care. 2003 Oct;7(5):R98-R100. doi: 10.1186/cc2362. Epub 2003 Aug 14.

Abstract

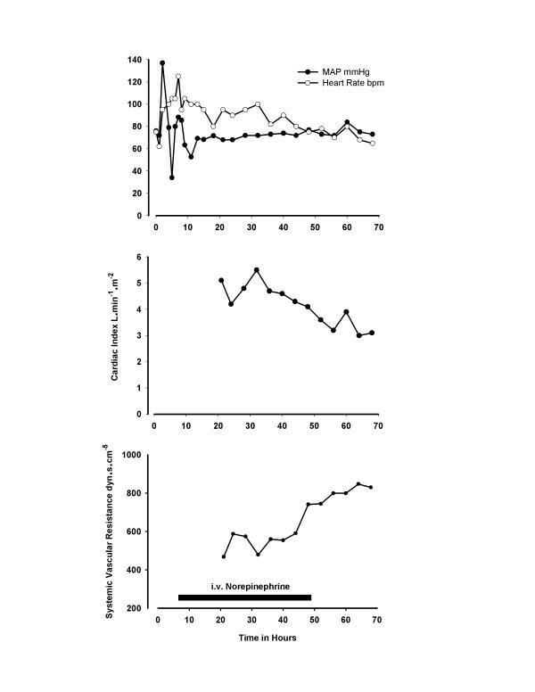
We describe a case of systemic inflammatory response syndrome associated with air embolism following the removal of a central line catheter, coupled with a deep inspiratory maneuver. The presence of a patent foramen ovale allowed the passage of a clinically significant amount of air from the venous circulation to the systemic circulation. The interaction of air with the systemic arterial endothelium may have triggered the release of endothelium-derived cytokines, resulting in the physiologic response of systemic inflammatory response syndrome.

摘要

我们描述了一例在拔除中心静脉导管并配合深吸气动作后发生空气栓塞伴发全身炎症反应综合征的病例。卵圆孔未闭使得临床上大量空气能够从静脉循环进入体循环。空气与体循环动脉内皮的相互作用可能触发了内皮源性细胞因子的释放,从而导致全身炎症反应综合征的生理反应。

https://cdn.ncbi.nlm.nih.gov/pmc/blobs/81e8/270722/82d7063119d3/cc2362-1.jpg

文献检索

告别复杂PubMed语法,用中文像聊天一样搜索,搜遍4000万医学文献。AI智能推荐,让科研检索更轻松。

立即免费搜索

文件翻译

保留排版,准确专业,支持PDF/Word/PPT等文件格式,支持 12+语言互译。

免费翻译文档

深度研究

AI帮你快速写综述,25分钟生成高质量综述,智能提取关键信息,辅助科研写作。

立即免费体验