• 文献检索
  • 文档翻译
  • 深度研究
  • 学术资讯
  • Suppr Zotero 插件Zotero 插件
  • 邀请有礼
  • 套餐&价格
  • 历史记录
应用&插件
Suppr Zotero 插件Zotero 插件浏览器插件Mac 客户端Windows 客户端微信小程序
定价
高级版会员购买积分包购买API积分包
服务
文献检索文档翻译深度研究API 文档MCP 服务
关于我们
关于 Suppr公司介绍联系我们用户协议隐私条款
关注我们

Suppr 超能文献

核心技术专利:CN118964589B侵权必究
粤ICP备2023148730 号-1Suppr @ 2026

文献检索

告别复杂PubMed语法,用中文像聊天一样搜索,搜遍4000万医学文献。AI智能推荐,让科研检索更轻松。

立即免费搜索

文件翻译

保留排版,准确专业,支持PDF/Word/PPT等文件格式,支持 12+语言互译。

免费翻译文档

深度研究

AI帮你快速写综述,25分钟生成高质量综述,智能提取关键信息,辅助科研写作。

立即免费体验

持续接触广泛使用的除草剂阿特拉津:脑单胺系统中神经元功能改变与神经元丧失。

Sustained exposure to the widely used herbicide atrazine: altered function and loss of neurons in brain monoamine systems.

作者信息

Rodriguez Veronica M, Thiruchelvam Mona, Cory-Slechta Deborah A

机构信息

Environmental and Occupational Health Sciences Institute, and Department of Environmental and Occupational Medicine, Robert Wood Johnson Medical School, University of Medicine and Dentistry of New Jersey, Piscataway, New Jersey 08854, USA.

出版信息

Environ Health Perspect. 2005 Jun;113(6):708-15. doi: 10.1289/ehp.7783.

DOI:10.1289/ehp.7783
PMID:15929893
原文链接:https://pmc.ncbi.nlm.nih.gov/articles/PMC1257595/
Abstract

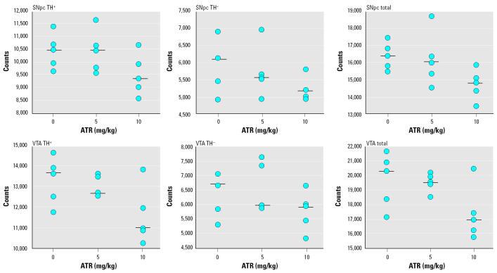
The widespread use of atrazine (ATR) and its persistence in the environment have resulted in documented human exposure. Alterations in hypothalamic catecholamines have been suggested as the mechanistic basis of the toxicity of ATR to hormonal systems in females and the reproductive tract in males. Because multiple catecholamine systems are present in the brain, however, ATR could have far broader effects than are currently understood. Catecholaminergic systems such as the two major long-length dopaminergic tracts of the central nervous system play key roles in mediating a wide array of critical behavioral functions. In this study we examined the hypothesis that ATR would adversely affect these brain dopaminergic systems. Male rats chronically exposed to 5 or 10 mg/kg ATR in the diet for 6 months exhibited persistent hyperactivity and altered behavioral responsivity to amphetamine. Moreover, when measured 2 weeks after the end of exposure, the levels of various monoamines and the numbers of tyrosine hydroxylase-positive (TH+) and -negative (TH-) cells measured using unbiased stereology were reduced in both dopaminergic tracts. Acute exposures to 100 or 200 mg/kg ATR given intraperitoneally to evaluate potential mechanisms reduced both basal and potassium-evoked striatal dopamine release. Collectively, these studies demonstrate that ATR can produce neurotoxicity in dopaminergic systems that are critical to the mediation of movement as well as cognition and executive function. Therefore, ATR may be an environmental risk factor contributing to dopaminergic system disorders, underscoring the need for further investigation of its mechanism(s) of action and corresponding assessment of its associated human health risks.

摘要

阿特拉津(ATR)的广泛使用及其在环境中的持久性已导致有记录的人类接触。下丘脑儿茶酚胺的改变被认为是ATR对女性激素系统和男性生殖道毒性的作用机制基础。然而,由于大脑中存在多个儿茶酚胺系统,ATR的影响可能远比目前所了解的更为广泛。儿茶酚胺能系统,如中枢神经系统的两条主要长程多巴胺能通路,在介导一系列关键行为功能中发挥着关键作用。在本研究中,我们检验了ATR会对这些脑多巴胺能系统产生不利影响的假设。雄性大鼠在饮食中慢性暴露于5或10 mg/kg ATR 6个月后,表现出持续的多动以及对苯丙胺的行为反应性改变。此外,在暴露结束2周后测量时,使用无偏倚立体学方法测得的两条多巴胺能通路中的各种单胺水平以及酪氨酸羟化酶阳性(TH+)和阴性(TH-)细胞数量均减少。腹腔注射100或200 mg/kg ATR进行急性暴露以评估潜在机制,结果显示基础和钾诱发的纹状体多巴胺释放均减少。总体而言,这些研究表明,ATR可在对运动以及认知和执行功能介导至关重要的多巴胺能系统中产生神经毒性。因此,ATR可能是导致多巴胺能系统紊乱的一个环境风险因素,这凸显了进一步研究其作用机制以及相应评估其相关人类健康风险的必要性。

https://cdn.ncbi.nlm.nih.gov/pmc/blobs/cb0e/1257595/8ffb84d0c07f/ehp0113-000708f5.jpg
https://cdn.ncbi.nlm.nih.gov/pmc/blobs/cb0e/1257595/77edc360007f/ehp0113-000708f1.jpg
https://cdn.ncbi.nlm.nih.gov/pmc/blobs/cb0e/1257595/0dfa2ae20f03/ehp0113-000708f2.jpg
https://cdn.ncbi.nlm.nih.gov/pmc/blobs/cb0e/1257595/784c6b52c9d1/ehp0113-000708f3.jpg
https://cdn.ncbi.nlm.nih.gov/pmc/blobs/cb0e/1257595/7e026b6749ca/ehp0113-000708f4.jpg
https://cdn.ncbi.nlm.nih.gov/pmc/blobs/cb0e/1257595/8ffb84d0c07f/ehp0113-000708f5.jpg
https://cdn.ncbi.nlm.nih.gov/pmc/blobs/cb0e/1257595/77edc360007f/ehp0113-000708f1.jpg
https://cdn.ncbi.nlm.nih.gov/pmc/blobs/cb0e/1257595/0dfa2ae20f03/ehp0113-000708f2.jpg
https://cdn.ncbi.nlm.nih.gov/pmc/blobs/cb0e/1257595/784c6b52c9d1/ehp0113-000708f3.jpg
https://cdn.ncbi.nlm.nih.gov/pmc/blobs/cb0e/1257595/7e026b6749ca/ehp0113-000708f4.jpg
https://cdn.ncbi.nlm.nih.gov/pmc/blobs/cb0e/1257595/8ffb84d0c07f/ehp0113-000708f5.jpg

相似文献

1
Sustained exposure to the widely used herbicide atrazine: altered function and loss of neurons in brain monoamine systems.持续接触广泛使用的除草剂阿特拉津:脑单胺系统中神经元功能改变与神经元丧失。
Environ Health Perspect. 2005 Jun;113(6):708-15. doi: 10.1289/ehp.7783.
2
Repeated exposure to the herbicide atrazine alters locomotor activity and the nigrostriatal dopaminergic system of the albino rat.反复接触除草剂莠去津会改变白化大鼠的运动活动和黑质纹状体多巴胺能系统。
Neurotoxicology. 2013 Jan;34:82-94. doi: 10.1016/j.neuro.2012.10.012. Epub 2012 Nov 2.
3
Short-term atrazine exposure causes behavioral deficits and disrupts monoaminergic systems in male C57BL/6 mice.短期接触莠去津会导致雄性C57BL/6小鼠出现行为缺陷并扰乱单胺能系统。
Neurotoxicol Teratol. 2013 Sep-Oct;39:26-35. doi: 10.1016/j.ntt.2013.06.002. Epub 2013 Jun 14.
4
Brain alterations in GABA, glutamate and glutamine markers after chronic atrazine exposure in the male albino rat.慢性莠去津暴露后雄性白化大鼠 GABA、谷氨酸和谷氨酰胺标志物的大脑改变。
Arch Toxicol. 2020 Sep;94(9):3217-3230. doi: 10.1007/s00204-020-02806-2. Epub 2020 Jun 19.
5
Dopaminergic toxicity of the herbicide atrazine in rat striatal slices.除草剂阿特拉津对大鼠纹状体切片的多巴胺能毒性
Toxicology. 2007 Mar 22;232(1-2):68-78. doi: 10.1016/j.tox.2006.12.007. Epub 2006 Dec 15.
6
Chronic atrazine exposure causes disruption of the spontaneous locomotor activity and alters the striatal dopaminergic system of the male Sprague-Dawley rat.慢性莠去津暴露会破坏雄性斯普拉格-道利大鼠的自发性运动活动,并改变纹状体多巴胺能系统。
Neurotoxicol Teratol. 2011 Mar-Apr;33(2):263-72. doi: 10.1016/j.ntt.2010.09.001. Epub 2010 Sep 16.
7
Dopaminergic toxicity associated with oral exposure to the herbicide atrazine in juvenile male C57BL/6 mice.幼龄雄性C57BL/6小鼠经口接触除草剂阿特拉津所致的多巴胺能毒性
J Neurochem. 2007 Mar;100(5):1177-87. doi: 10.1111/j.1471-4159.2006.04294.x. Epub 2007 Jan 8.
8
Age-dependent dopaminergic dysfunction following fetal exposure to atrazine in SD rats.SD大鼠胎儿期暴露于莠去津后出现的年龄依赖性多巴胺能功能障碍。
Environ Toxicol Pharmacol. 2014 May;37(3):1275-82. doi: 10.1016/j.etap.2014.04.023. Epub 2014 Apr 28.
9
Behavioral effects and neuroanatomical targets of acute atrazine exposure in the male Sprague-Dawley rat.雄性斯普拉格-道利大鼠急性暴露于莠去津后的行为效应及神经解剖学靶点
Neurotoxicology. 2017 Jan;58:161-170. doi: 10.1016/j.neuro.2016.12.006. Epub 2016 Dec 21.
10
Early and transitory hypoactivity and olfactory alterations after chronic atrazine exposure in female Sprague-Dawley rats.慢性莠去津暴露对雌性 Sprague-Dawley 大鼠早期和短暂的活动减少和嗅觉改变。
Neurotoxicology. 2024 Mar;101:68-81. doi: 10.1016/j.neuro.2024.01.004. Epub 2024 Feb 8.

引用本文的文献

1
Why We Will Continue to Lose Our Battle with Cancers If We Do Not Stop Their Triggers from Environmental Pollution.如果我们不能阻止环境污染引发癌症,我们将继续输掉与癌症的战斗。
Int J Environ Res Public Health. 2021 Jun 5;18(11):6107. doi: 10.3390/ijerph18116107.
2
Effects of co-exposure to atrazine and ethanol on the oxidative damage of kidney and liver in Wistar rats.阿特拉津和乙醇共同暴露对Wistar大鼠肾脏和肝脏氧化损伤的影响。
Ren Fail. 2017 Nov;39(1):588-596. doi: 10.1080/0886022X.2017.1351373.
3
Atrazine Triggers DNA Damage Response and Induces DNA Double-Strand Breaks in MCF-10A Cells.

本文引用的文献

1
A risk assessment of atrazine use in California: human health and ecological aspects.加利福尼亚州阿特拉津使用的风险评估:人类健康与生态方面
Pest Manag Sci. 2005 Apr;61(4):331-55. doi: 10.1002/ps.1000.
2
A fetal risk factor for Parkinson's disease.帕金森病的一个胎儿风险因素。
Dev Neurosci. 2004 Jan-Feb;26(1):11-23. doi: 10.1159/000080707.
3
The neuropsychology of ventral prefrontal cortex: decision-making and reversal learning.腹侧前额叶皮层的神经心理学:决策与逆向学习
阿特拉津引发DNA损伤反应并诱导MCF-10A细胞中的DNA双链断裂。
Int J Mol Sci. 2015 Jun 24;16(7):14353-68. doi: 10.3390/ijms160714353.
4
Effects of atrazine on the oxidative damage of kidney in Wister rats.阿特拉津对Wistar大鼠肾脏氧化损伤的影响。
Int J Clin Exp Med. 2014 Oct 15;7(10):3235-43. eCollection 2014.
5
Atrazine affects phosphoprotein and protein expression in MCF-10A human breast epithelial cells.莠去津影响MCF-10A人乳腺上皮细胞中的磷酸化蛋白和蛋白表达。
Int J Mol Sci. 2014 Oct 1;15(10):17806-26. doi: 10.3390/ijms151017806.
6
Exposure to atrazine during gestation and lactation periods: toxicity effects on dopaminergic neurons in offspring by downregulation of Nurr1 and VMAT2.妊娠期和哺乳期暴露于莠去津:通过下调Nurr1和VMAT2对后代多巴胺能神经元产生毒性作用。
Int J Mol Sci. 2014 Feb 18;15(2):2811-25. doi: 10.3390/ijms15022811.
7
Personal air sampling and risks of inhalation exposure during atrazine application in Honduras.个人空气采样和洪都拉斯莠去津施药期间吸入暴露的风险。
Int Arch Occup Environ Health. 2013 May;86(4):479-88. doi: 10.1007/s00420-012-0776-2. Epub 2012 May 22.
8
Atrazine-induced apoptosis of splenocytes in BALB/C mice.阿特拉津诱导 BALB/C 小鼠脾细胞凋亡。
BMC Med. 2011 Oct 27;9:117. doi: 10.1186/1741-7015-9-117.
9
Demasculinization and feminization of male gonads by atrazine: consistent effects across vertebrate classes.莠去津致雄性性腺去男性化和女性化:对脊椎动物类群的一致影响。
J Steroid Biochem Mol Biol. 2011 Oct;127(1-2):64-73. doi: 10.1016/j.jsbmb.2011.03.015. Epub 2011 Mar 23.
10
A qualitative meta-analysis reveals consistent effects of atrazine on freshwater fish and amphibians.一项定性荟萃分析揭示了阿特拉津对淡水鱼类和两栖类动物的一致影响。
Environ Health Perspect. 2010 Jan;118(1):20-32. doi: 10.1289/ehp.0901164.
Brain Cogn. 2004 Jun;55(1):41-53. doi: 10.1016/S0278-2626(03)00284-7.
4
The role of dopamine in cognition: evidence from functional imaging studies.多巴胺在认知中的作用:来自功能成像研究的证据。
Curr Opin Neurol. 2003 Dec;16 Suppl 2:S37-41. doi: 10.1097/00019052-200312002-00007.
5
Risk factors for dopaminergic neuron loss in human alpha-synuclein transgenic mice.人类α-突触核蛋白转基因小鼠中多巴胺能神经元丢失的风险因素。
Eur J Neurosci. 2004 Feb;19(4):845-54. doi: 10.1111/j.0953-816x.2004.03139.x.
6
Interactions of paraquat and triadimefon: behavioral and neurochemical effects.百草枯与三唑酮的相互作用:行为和神经化学效应。
Neurotoxicology. 2003 Dec;24(6):839-50. doi: 10.1016/S0161-813X(03)00057-3.
7
Behavioural, pharmacological, morpho-functional molecular studies reveal a hyperfunctioning mesocortical dopamine system in an animal model of attention deficit and hyperactivity disorder.行为学、药理学、形态功能分子学研究揭示,在注意缺陷多动障碍动物模型中存在中脑皮质多巴胺系统功能亢进。
Neurosci Biobehav Rev. 2003 Nov;27(7):683-9. doi: 10.1016/j.neubiorev.2003.08.011.
8
Potential mechanisms responsible for chlorotriazine-induced alterations in catecholamines in pheochromocytoma (PC12) cells.负责氯代三嗪诱导嗜铬细胞瘤(PC12)细胞中儿茶酚胺变化的潜在机制。
Life Sci. 2003 Oct 31;73(24):3123-38. doi: 10.1016/j.lfs.2003.05.002.
9
Developmental atrazine exposure suppresses immune function in male, but not female Sprague-Dawley rats.发育期接触阿特拉津会抑制雄性而非雌性斯普拉格-道利大鼠的免疫功能。
Toxicol Sci. 2003 Dec;76(2):366-75. doi: 10.1093/toxsci/kfg250. Epub 2003 Sep 26.
10
Mortality among triazine herbicide manufacturing workers.三嗪类除草剂制造工人的死亡率。
J Toxicol Environ Health A. 2003 Mar 28;66(6):501-17. doi: 10.1080/15287390306356.