Suppr超能文献

绝望感的快速评估:一项横断面研究。

Quick assessment of hopelessness: a cross-sectional study.

作者信息

Yip Paul S F, Cheung Yin Bun

机构信息

The Hong Kong Jockey Club Centre for Suicide Research and Prevention, The University of Hong Kong, Pokfulam Road, Hong Kong, SAR.

出版信息

Health Qual Life Outcomes. 2006 Mar 1;4:13. doi: 10.1186/1477-7525-4-13.

Abstract

BACKGROUND

Lengthy questionnaires reduce data quality and impose a burden on respondents. Previous researchers proposed that a single item ("My future seems dark to me") and a 4-item component of the Beck's Hopelessness Scale (BHS) can summarise most of the information the BHS provides. There is no clear indication of what BHS cutoff values are useful in identifying people with suicide tendency.

METHODS

In a population-based study of Chinese people aged between 15 and 59 in Hong Kong, the Chinese version of the BHS and the Centre for Epidemiologic Studies--Depression scale were administered by trained interviewers and suicidal ideation and suicidal attempts were self-reported. Receiver operating characteristics curve analysis and regression analysis were used to compare the performance of the BHS and its components in identifying people with suicidality and depression. Smoothed level of suicidal tendency was assessed in relation to scores on the BHS and its component to identify thresholds.

RESULTS

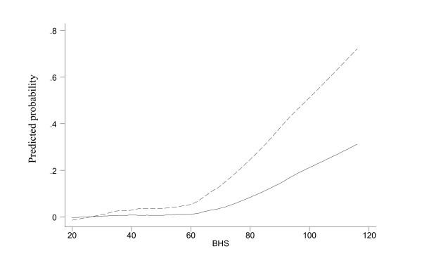
It is found that the 4-item component and, to a lesser extent, the single item of the BHS perform in ways similar to the BHS. There are non-linear relationship between suicidality and scores on the BHS and the 4-item component; cutoff values identified accordingly have sensitivity and specificity of about 65%.

CONCLUSION

The 4-item component is a useful alternative to the BHS. Shortening of psycho-social measurement scales should be considered in order to reduce burden on patients or respondents and to improve response rate.

摘要

背景

冗长的问卷会降低数据质量并给受访者带来负担。先前的研究人员提出,一个单项(“我的未来对我来说似乎很暗淡”)和贝克绝望量表(BHS)的一个4项组成部分可以概括BHS所提供的大部分信息。目前尚无明确迹象表明哪些BHS临界值可用于识别有自杀倾向的人。

方法

在一项针对香港15至59岁中国人的基于人群的研究中,由经过培训的访谈员进行BHS中文版和流行病学研究中心抑郁量表的施测,自杀意念和自杀未遂情况由受访者自我报告。采用受试者工作特征曲线分析和回归分析来比较BHS及其组成部分在识别有自杀倾向和抑郁的人方面的表现。根据BHS及其组成部分的得分评估自杀倾向的平滑水平,以确定阈值。

结果

发现BHS的4项组成部分以及在较小程度上其单项的表现与BHS相似。自杀倾向与BHS及4项组成部分的得分之间存在非线性关系;据此确定的临界值的敏感性和特异性约为65%。

结论

4项组成部分是BHS的一个有用替代方案。应考虑缩短心理社会测量量表,以减轻患者或受访者的负担并提高应答率。

https://cdn.ncbi.nlm.nih.gov/pmc/blobs/0853/1413514/e0e0595b74a2/1477-7525-4-13-1.jpg

文献AI研究员

20分钟写一篇综述,助力文献阅读效率提升50倍。

立即体验

用中文搜PubMed

大模型驱动的PubMed中文搜索引擎

马上搜索

文档翻译

学术文献翻译模型,支持多种主流文档格式。

立即体验