Suppr超能文献

与以谷物为基础的饮食相比,旧石器时代饮食可使家猪具有更高的胰岛素敏感性、更低的C反应蛋白水平和更低的血压。

A Paleolithic diet confers higher insulin sensitivity, lower C-reactive protein and lower blood pressure than a cereal-based diet in domestic pigs.

作者信息

Jönsson Tommy, Ahrén Bo, Pacini Giovanni, Sundler Frank, Wierup Nils, Steen Stig, Sjöberg Trygve, Ugander Martin, Frostegård Johan, Göransson Leif, Lindeberg Staffan

机构信息

Department of Clinical Sciences, Lund University, Box 117, 221 00 Lund, Sweden.

出版信息

Nutr Metab (Lond). 2006 Nov 2;3:39. doi: 10.1186/1743-7075-3-39.

Abstract

BACKGROUND

A Paleolithic diet has been suggested to be more in concordance with human evolutionary legacy than a cereal based diet. This might explain the lower incidence among hunter-gatherers of diseases of affluence such as type 2 diabetes, obesity and cardiovascular disease. The aim of this study was to experimentally study the long-term effect of a Paleolithic diet on risk factors for these diseases in domestic pigs. We examined glucose tolerance, post-challenge insulin response, plasma C-reactive protein and blood pressure after 15 months on Paleolithic diet in comparison with a cereal based swine feed.

METHODS

Upon weaning twenty-four piglets were randomly allocated either to cereal based swine feed (Cereal group) or cereal free Paleolithic diet consisting of vegetables, fruit, meat and a small amount of tubers (Paleolithic group). At 17 months of age an intravenous glucose tolerance test was performed and pancreas specimens were collected for immunohistochemistry. Group comparisons of continuous variables were made by use of the t-test. P < 0.05 was chosen for statistical significance. Simple and multivariate correlations were evaluated by use of linear regression analysis.

RESULTS

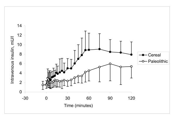
At the end of the study the Paleolithic group weighed 22% less and had 43% lower subcutaneous fat thickness at mid sternum. No significant difference was seen in fasting glucose between groups. Dynamic insulin sensitivity was significantly higher (p = 0.004) and the insulin response was significantly lower in the Paleolithic group (p = 0.001). The geometric mean of C-reactive protein was 82% lower (p = 0.0007) and intra-arterial diastolic blood pressure was 13% lower in the Paleolithic group (p = 0.007). In evaluations of multivariate correlations, diet emerged as the strongest explanatory variable for the variations in dynamic insulin sensitivity, insulin response, C-reactive protein and diastolic blood pressure when compared to other relevant variables such as weight and subcutaneous fat thickness at mid sternum. There was no obvious immunohistochemical difference in pancreatic islets between the groups, but leukocytes were clearly more frequent in sampled pancreas from the Cereal group.

CONCLUSION

This study in domestic pigs suggests that a Paleolithic diet conferred higher insulin sensitivity, lower C-reactive protein and lower blood pressure when compared to a cereal based diet.

摘要

背景

与谷类饮食相比,旧石器时代饮食被认为更符合人类进化遗产。这可能解释了狩猎采集者中2型糖尿病、肥胖症和心血管疾病等富贵病发病率较低的原因。本研究的目的是通过实验研究旧石器时代饮食对家猪这些疾病危险因素的长期影响。与基于谷物的猪饲料相比,我们在给予旧石器时代饮食15个月后,检测了葡萄糖耐量、激发后胰岛素反应、血浆C反应蛋白和血压。

方法

断奶后,将24头仔猪随机分配到基于谷物的猪饲料组(谷物组)或不含谷物的旧石器时代饮食组,该饮食由蔬菜、水果、肉类和少量块茎组成(旧石器时代组)。在17月龄时进行静脉葡萄糖耐量试验,并采集胰腺标本进行免疫组织化学检查。连续变量的组间比较采用t检验。选择P < 0.05作为统计学显著性标准。采用线性回归分析评估简单和多元相关性。

结果

在研究结束时,旧石器时代组体重轻22%,胸骨中部皮下脂肪厚度低43%。两组之间空腹血糖无显著差异。旧石器时代组的动态胰岛素敏感性显著更高(p = 0.004),胰岛素反应显著更低(p = 0.001)。旧石器时代组C反应蛋白的几何平均值低82%(p = 0.0007),动脉内舒张压低13%(p = 0.007)。在多元相关性评估中,与体重和胸骨中部皮下脂肪厚度等其他相关变量相比,饮食是动态胰岛素敏感性、胰岛素反应、C反应蛋白和舒张压变化的最强解释变量。两组之间胰岛的免疫组织化学无明显差异,但谷物组胰腺样本中的白细胞明显更常见。

结论

这项在家猪身上的研究表明,与基于谷物的饮食相比,旧石器时代饮食具有更高的胰岛素敏感性、更低的C反应蛋白和更低的血压。

https://cdn.ncbi.nlm.nih.gov/pmc/blobs/8efd/1635051/12a3bd968994/1743-7075-3-39-1.jpg

文献AI研究员

20分钟写一篇综述,助力文献阅读效率提升50倍。

立即体验

用中文搜PubMed

大模型驱动的PubMed中文搜索引擎

马上搜索

文档翻译

学术文献翻译模型,支持多种主流文档格式。

立即体验