Suppr超能文献

基于微卫星的蜜蜂(西方蜜蜂)第三代连锁图谱及其与基于序列的物理图谱的比较。

A third-generation microsatellite-based linkage map of the honey bee, Apis mellifera, and its comparison with the sequence-based physical map.

作者信息

Solignac Michel, Mougel Florence, Vautrin Dominique, Monnerot Monique, Cornuet Jean-Marie

机构信息

Laboratoire Evolution, Génomes et Spéciation, CNRS, Gif-sur-Yvette cedex, France.

出版信息

Genome Biol. 2007;8(4):R66. doi: 10.1186/gb-2007-8-4-r66.

Abstract

BACKGROUND

The honey bee is a key model for social behavior and this feature led to the selection of the species for genome sequencing. A genetic map is a necessary companion to the sequence. In addition, because there was originally no physical map for the honey bee genome project, a meiotic map was the only resource for organizing the sequence assembly on the chromosomes.

RESULTS

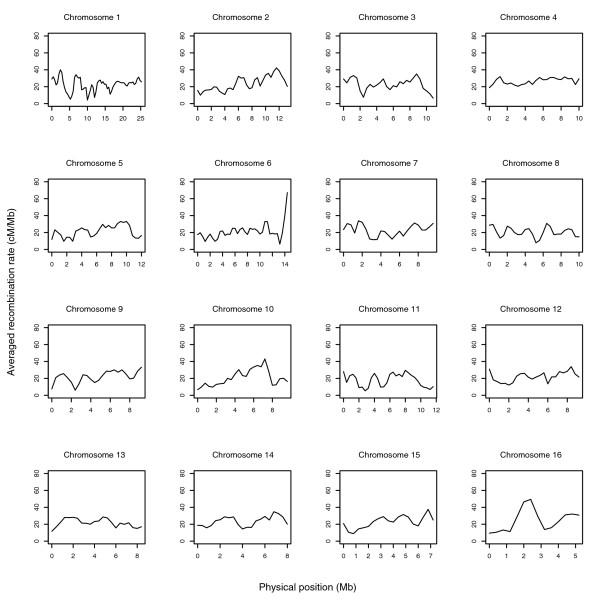
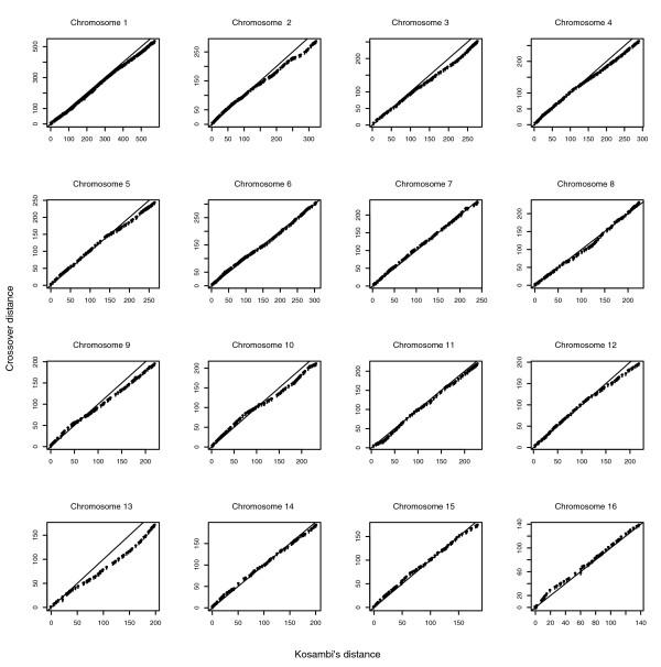
We present the genetic (meiotic) map here and describe the main features that emerged from comparison with the sequence-based physical map. The genetic map of the honey bee is saturated and the chromosomes are oriented from the centromeric to the telomeric regions. The map is based on 2,008 markers and is about 40 Morgans (M) long, resulting in a marker density of one every 2.05 centiMorgans (cM). For the 186 megabases (Mb) of the genome mapped and assembled, this corresponds to a very high average recombination rate of 22.04 cM/Mb. Honey bee meiosis shows a relatively homogeneous recombination rate along and across chromosomes, as well as within and between individuals. Interference is higher than inferred from the Kosambi function of distance. In addition, numerous recombination hotspots are dispersed over the genome.

CONCLUSION

The very large genetic length of the honey bee genome, its small physical size and an almost complete genome sequence with a relatively low number of genes suggest a very promising future for association mapping in the honey bee, particularly as the existence of haploid males allows easy bulk segregant analysis.

摘要

背景

蜜蜂是社会行为的关键模型,这一特性促使该物种被选为基因组测序对象。遗传图谱是序列的必要补充。此外,由于蜜蜂基因组计划最初没有物理图谱,减数分裂图谱是在染色体上组织序列组装的唯一资源。

结果

我们在此展示了遗传(减数分裂)图谱,并描述了与基于序列的物理图谱比较后出现的主要特征。蜜蜂的遗传图谱已饱和,染色体从着丝粒区域向端粒区域定向。该图谱基于2008个标记,长度约为40摩根(M),标记密度为每2.05厘摩根(cM)一个。对于已绘制和组装的186兆碱基(Mb)基因组,这对应着22.04 cM/Mb的非常高的平均重组率。蜜蜂减数分裂在染色体间和染色体上、个体内和个体间显示出相对均匀的重组率。干扰高于根据Kosambi距离函数推断的值。此外,大量重组热点分散在基因组中。

结论

蜜蜂基因组的遗传长度非常大,物理尺寸小,且基因数量相对较少的几乎完整的基因组序列表明,关联图谱在蜜蜂研究中有着非常广阔的前景,特别是由于单倍体雄蜂的存在使得易于进行混合分离分析。

https://cdn.ncbi.nlm.nih.gov/pmc/blobs/26fc/1896015/b430d0814680/gb-2007-8-4-r66-1.jpg

文献检索

告别复杂PubMed语法,用中文像聊天一样搜索,搜遍4000万医学文献。AI智能推荐,让科研检索更轻松。

立即免费搜索

文件翻译

保留排版,准确专业,支持PDF/Word/PPT等文件格式,支持 12+语言互译。

免费翻译文档

深度研究

AI帮你快速写综述,25分钟生成高质量综述,智能提取关键信息,辅助科研写作。

立即免费体验