Suppr超能文献

葡萄球菌α毒素与白细胞毒素形成的孔道组装之间的区别。

Distinction between pore assembly by staphylococcal alpha-toxin versus leukotoxins.

作者信息

Joubert Olivier, Voegelin Joëlle, Guillet Valérie, Tranier Samuel, Werner Sandra, Colin Didier A, Dalla Serra Mauro, Keller Daniel, Monteil Henri, Mourey Lionel, Prévost Gilles

机构信息

Laboratoire de Physiopathologie et d'Antibiologie des Infections Bactériennes Emergentes et Nosocomiales, EA 3432, Institut de Bactériologie de la Faculté de Médecine, Université Louis Pasteur-Hôpitaux Universitaires de Strasbourg, 67000 Strasbourg, France.

出版信息

J Biomed Biotechnol. 2007;2007(1):25935. doi: 10.1155/2007/25935. Epub 2007 Feb 28.

Abstract

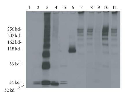
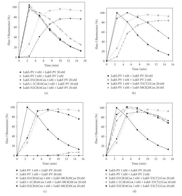
The staphylococcal bipartite leukotoxins and the homoheptameric alpha-toxin belong to the same family of beta-barrel pore-forming toxins despite slight differences. In the alpha-toxin pore, the N-terminal extremity of each protomer interacts as a deployed latch with two consecutive protomers in the vicinity of the pore lumen. N-terminal extremities of leukotoxins as seen in their three-dimensional structures are heterogeneous in length and take part in the beta-sandwich core of soluble monomers. Hence, the interaction of these N-terminal extremities within structures of adjacent monomers is questionable. We show here that modifications of their N-termini by two different processes, using fusion with glutathione S-transferase (GST) and bridging of the N-terminal extremity to the adjacent beta-sheet via disulphide bridges, are not deleterious for biological activity. Therefore, bipartite leukotoxins do not need a large extension of their N-terminal extremities to form functional pores, thus illustrating a microheterogeneity of the structural organizations between bipartite leukotoxins and alpha-toxin.

摘要

葡萄球菌双组分白细胞毒素和同型七聚体α毒素尽管存在细微差异,但属于同一类β桶状成孔毒素家族。在α毒素孔中,每个原体的N末端作为一个展开的闩锁与孔腔附近的两个连续原体相互作用。从白细胞毒素的三维结构中可以看出,其N末端长度各异,并参与可溶性单体的β折叠核心。因此,这些N末端在相邻单体结构内的相互作用值得怀疑。我们在此表明,通过两种不同方法对其N末端进行修饰,即与谷胱甘肽S-转移酶(GST)融合以及通过二硫键将N末端与相邻β折叠桥接,对生物活性无害。因此,双组分白细胞毒素形成功能性孔不需要其N末端有很大延伸,从而说明了双组分白细胞毒素与α毒素之间结构组织的微观异质性。

https://cdn.ncbi.nlm.nih.gov/pmc/blobs/c42b/1847480/9217d813a542/JBB2007-25935.001.jpg

文献AI研究员

20分钟写一篇综述,助力文献阅读效率提升50倍。

立即体验

用中文搜PubMed

大模型驱动的PubMed中文搜索引擎

马上搜索

文档翻译

学术文献翻译模型,支持多种主流文档格式。

立即体验