Suppr超能文献

V1R启动子高度保守,并呈现出常见的假定调控基序。

V1R promoters are well conserved and exhibit common putative regulatory motifs.

作者信息

Stewart Robert, Lane Robert P

机构信息

Department of Molecular Biology and Biochemistry, Wesleyan University, Middletown, Connecticut 06459, USA.

出版信息

BMC Genomics. 2007 Jul 25;8:253. doi: 10.1186/1471-2164-8-253.

Abstract

BACKGROUND

The mouse vomeronasal organ (VNO) processes chemosensory information, including pheromone signals that influence reproductive behaviors. The sensory neurons of the VNO express two types of chemosensory receptors, V1R and V2R. There are ~165 V1R genes in the mouse genome that have been classified into ~12 divergent subfamilies. Each sensory neuron of the apical compartment of the VNO transcribes only one of the repertoire of V1R genes. A model for mutually exclusive V1R transcription in these cells has been proposed in which each V1R gene might compete stochastically for a single transcriptional complex. This model predicts that the large repertoire of divergent V1R genes in the mouse genome contains common regulatory elements. In this study, we have characterized V1R promoter regions by comparative genomics and by mapping transcription start sites.

RESULTS

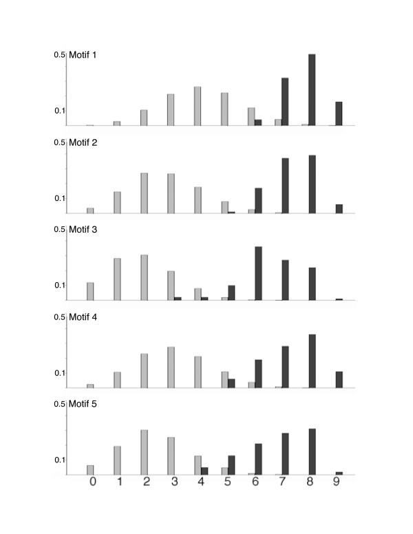
We find that transcription is initiated from ~1 kb promoter regions that are well conserved within V1R subfamilies. While cross-subfamily homology is not evident by traditional methods, we developed a heuristic motif-searching tool, LogoAlign, and applied this tool to identify motifs shared within the promoters of all V1R genes. Our motif-searching tool exhibits rapid convergence to a relatively small number of non-redundant solutions (97% convergence). We also find that the best motifs contain significantly more information than those identified in controls, and that these motifs are more likely to be found in the immediate vicinity of transcription start sites than elsewhere in gene blocks. The best motifs occur near transcription start sites of ~90% of all V1R genes and across all of the divergent subfamilies. Therefore, these motifs are candidate binding sites for transcription factors involved in V1R co-regulation.

CONCLUSION

Our analyses show that V1R subfamilies have broad and well conserved promoter regions from which transcription is initiated. Results from a new motif-finding algorithm, LogoAlign, designed for this context and more generally for searching large, hierarchical datasets, suggest the existence of common information-rich regulatory motifs that are shared across otherwise divergent V1R subfamilies.

摘要

背景

小鼠犁鼻器(VNO)处理化学感觉信息,包括影响生殖行为的信息素信号。VNO的感觉神经元表达两种类型的化学感觉受体,即V1R和V2R。小鼠基因组中有约165个V1R基因,已被分类为约12个不同的亚家族。VNO顶端区室的每个感觉神经元仅转录V1R基因库中的一个基因。已提出这些细胞中V1R转录相互排斥的模型,其中每个V1R基因可能随机竞争单个转录复合物。该模型预测,小鼠基因组中大量不同的V1R基因包含共同的调控元件。在本研究中,我们通过比较基因组学和绘制转录起始位点来表征V1R启动子区域。

结果

我们发现转录起始于V1R亚家族内高度保守的约1kb启动子区域。虽然传统方法未显示出明显的跨亚家族同源性,但我们开发了一种启发式基序搜索工具LogoAlign,并应用该工具识别所有V1R基因启动子中共享的基序。我们的基序搜索工具能快速收敛到相对较少的非冗余解决方案(收敛率97%)。我们还发现,最佳基序比对照中鉴定出的基序包含更多信息,并且这些基序更可能出现在转录起始位点附近而非基因块的其他位置。约90%的所有V1R基因以及所有不同亚家族的转录起始位点附近都出现了最佳基序。因此,这些基序是参与V1R共同调控的转录因子的候选结合位点。

结论

我们的分析表明,V1R亚家族具有广泛且高度保守的启动子区域,转录从该区域起始。为这种情况以及更广泛地搜索大型分层数据集而设计的新基序发现算法LogoAlign的结果表明,存在跨其他不同V1R亚家族共享的富含信息的共同调控基序。

https://cdn.ncbi.nlm.nih.gov/pmc/blobs/ec1f/1955453/143cd8402367/1471-2164-8-253-1.jpg

文献AI研究员

20分钟写一篇综述,助力文献阅读效率提升50倍。

立即体验

用中文搜PubMed

大模型驱动的PubMed中文搜索引擎

马上搜索

文档翻译

学术文献翻译模型,支持多种主流文档格式。

立即体验