• 文献检索
  • 文档翻译
  • 深度研究
  • 学术资讯
  • Suppr Zotero 插件Zotero 插件
  • 邀请有礼
  • 套餐&价格
  • 历史记录
应用&插件
Suppr Zotero 插件Zotero 插件浏览器插件Mac 客户端Windows 客户端微信小程序
定价
高级版会员购买积分包购买API积分包
服务
文献检索文档翻译深度研究API 文档MCP 服务
关于我们
关于 Suppr公司介绍联系我们用户协议隐私条款
关注我们

Suppr 超能文献

核心技术专利:CN118964589B侵权必究
粤ICP备2023148730 号-1Suppr @ 2026

文献检索

告别复杂PubMed语法,用中文像聊天一样搜索,搜遍4000万医学文献。AI智能推荐,让科研检索更轻松。

立即免费搜索

文件翻译

保留排版,准确专业,支持PDF/Word/PPT等文件格式,支持 12+语言互译。

免费翻译文档

深度研究

AI帮你快速写综述,25分钟生成高质量综述,智能提取关键信息,辅助科研写作。

立即免费体验

百日咳博德特氏菌感染后两种同源近交系小鼠的比较基因表达谱分析。

Comparative gene expression profiling in two congenic mouse strains following Bordetella pertussis infection.

作者信息

Banus Sander, Vandebriel Rob J, Pennings Jeroen L A, Gremmer Eric R, Wester Piet W, van Kranen Henk J, Breit Timo M, Demant Peter, Mooi Frits R, Hoebee Barbara, Kimman Tjeerd G

机构信息

Laboratory for Infectious Diseases and Screening, National Institute of Public Health and the Environment (RIVM), PO Box 1, 3720 BA Bilthoven, The Netherlands.

出版信息

BMC Microbiol. 2007 Oct 12;7:88. doi: 10.1186/1471-2180-7-88.

DOI:10.1186/1471-2180-7-88
PMID:17935610
原文链接:https://pmc.ncbi.nlm.nih.gov/articles/PMC2174938/
Abstract

BACKGROUND

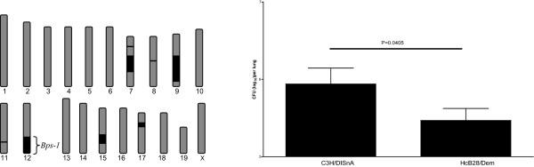
Susceptibility to Bordetella pertussis infection varies widely. These differences can partly be explained by genetic host factors. HcB-28 mice are more resistant to B. pertussis infection than C3H mice, which could partially be ascribed to the B. pertussis susceptibility locus-1 (Bps1) on chromosome 12. The presence of C57BL/10 genome on this locus instead of C3H genome resulted in a decreased number of bacteria in the lung. To further elucidate the role of host genetic factors, in particular in the Bps1 locus, in B. pertussis infection, and to identify candidate genes within in this region, we compared expression profiles in the lungs of the C3H and HcB-28 mouse strains following B. pertussis inoculation. Twelve and a half percent of the genomes of these mice are from a different genetic background.

RESULTS

Upon B. pertussis inoculation 2,353 genes were differentially expressed in the lungs of both mouse strains. Two hundred and six genes were differentially expressed between the two mouse strains, but, remarkably, none of these were up- or down-regulated upon B. pertussis infection. Of these 206 genes, 17 were located in the Bps1 region. Eight of these genes, which showed a strong difference in gene expression between the two mouse strains, map to the immunoglobulin heavy chain complex (Igh).

CONCLUSION

Gene expression changes upon B. pertussis infection are highly identical between the two mouse strains despite the differences in the course of B. pertussis infection. Because the genes that were differentially regulated between the mouse strains only showed differences in expression before infection, it appears likely that such intrinsic differences in gene regulation are involved in determining differences in susceptibility to B. pertussis infection. Alternatively, such genetic differences in susceptibility may be explained by genes that are not differentially regulated between these two mouse strains. Genes in the Igh complex, among which Igh-1a/b, are likely candidates to explain differences in susceptibility to B. pertussis. Thus, by microarray analysis we significantly reduced the number of candidate susceptibility genes within the Bps1 locus. Further work should establish the role of the Igh complex in B. pertussis infection.

摘要

背景

百日咳博德特氏菌感染的易感性差异很大。这些差异部分可由宿主遗传因素解释。HcB - 28小鼠比C3H小鼠对百日咳博德特氏菌感染更具抵抗力,这部分可归因于12号染色体上的百日咳博德特氏菌易感性位点1(Bps1)。该位点存在C57BL / 10基因组而非C3H基因组导致肺部细菌数量减少。为了进一步阐明宿主遗传因素,特别是Bps1位点在百日咳博德特氏菌感染中的作用,并鉴定该区域内的候选基因,我们比较了百日咳博德特氏菌接种后C3H和HcB - 28小鼠品系肺部的表达谱。这些小鼠基因组的12.5%来自不同的遗传背景。

结果

接种百日咳博德特氏菌后,两种小鼠品系的肺部有2353个基因差异表达。两种小鼠品系之间有206个基因差异表达,但值得注意的是,这些基因在百日咳博德特氏菌感染后均未上调或下调。在这206个基因中,17个位于Bps1区域。其中8个基因在两种小鼠品系之间表现出强烈的基因表达差异,定位于免疫球蛋白重链复合体(Igh)。

结论

尽管百日咳博德特氏菌感染过程存在差异,但两种小鼠品系在百日咳博德特氏菌感染后的基因表达变化高度相同。由于小鼠品系之间差异调节的基因仅在感染前表现出表达差异,因此这种基因调节的内在差异似乎可能参与了百日咳博德特氏菌感染易感性差异的决定。或者,这种易感性的遗传差异可能由这两种小鼠品系之间未差异调节的基因解释。Igh复合体中的基因,其中包括Igh - 1a / b,可能是解释百日咳博德特氏菌易感性差异的候选基因。因此,通过微阵列分析,我们显著减少了Bps1位点内候选易感性基因的数量。进一步的工作应确定Igh复合体在百日咳博德特氏菌感染中的作用。

https://cdn.ncbi.nlm.nih.gov/pmc/blobs/bedd/2174938/77bca3b0b418/1471-2180-7-88-6.jpg
https://cdn.ncbi.nlm.nih.gov/pmc/blobs/bedd/2174938/361943ee4458/1471-2180-7-88-1.jpg
https://cdn.ncbi.nlm.nih.gov/pmc/blobs/bedd/2174938/a21e48a52207/1471-2180-7-88-2.jpg
https://cdn.ncbi.nlm.nih.gov/pmc/blobs/bedd/2174938/43ef06b91d28/1471-2180-7-88-3.jpg
https://cdn.ncbi.nlm.nih.gov/pmc/blobs/bedd/2174938/9fc058056a2c/1471-2180-7-88-4.jpg
https://cdn.ncbi.nlm.nih.gov/pmc/blobs/bedd/2174938/38d5edb95b68/1471-2180-7-88-5.jpg
https://cdn.ncbi.nlm.nih.gov/pmc/blobs/bedd/2174938/77bca3b0b418/1471-2180-7-88-6.jpg
https://cdn.ncbi.nlm.nih.gov/pmc/blobs/bedd/2174938/361943ee4458/1471-2180-7-88-1.jpg
https://cdn.ncbi.nlm.nih.gov/pmc/blobs/bedd/2174938/a21e48a52207/1471-2180-7-88-2.jpg
https://cdn.ncbi.nlm.nih.gov/pmc/blobs/bedd/2174938/43ef06b91d28/1471-2180-7-88-3.jpg
https://cdn.ncbi.nlm.nih.gov/pmc/blobs/bedd/2174938/9fc058056a2c/1471-2180-7-88-4.jpg
https://cdn.ncbi.nlm.nih.gov/pmc/blobs/bedd/2174938/38d5edb95b68/1471-2180-7-88-5.jpg
https://cdn.ncbi.nlm.nih.gov/pmc/blobs/bedd/2174938/77bca3b0b418/1471-2180-7-88-6.jpg

相似文献

1
Comparative gene expression profiling in two congenic mouse strains following Bordetella pertussis infection.百日咳博德特氏菌感染后两种同源近交系小鼠的比较基因表达谱分析。
BMC Microbiol. 2007 Oct 12;7:88. doi: 10.1186/1471-2180-7-88.
2
Genetic control of Bordetella pertussis infection: identification of susceptibility loci using recombinant congenic strains of mice.百日咳博德特氏菌感染的遗传控制:利用小鼠重组近交系鉴定易感基因座。
Infect Immun. 2005 Feb;73(2):741-7. doi: 10.1128/IAI.73.2.741-747.2005.
3
Lung response to Bordetella pertussis infection in mice identified by gene-expression profiling.通过基因表达谱分析确定小鼠肺部对百日咳博德特氏菌感染的反应。
Immunogenetics. 2007 Jul;59(7):555-64. doi: 10.1007/s00251-007-0227-5. Epub 2007 May 9.
4
Host genetics of Bordetella pertussis infection in mice: significance of Toll-like receptor 4 in genetic susceptibility and pathobiology.小鼠中百日咳博德特氏菌感染的宿主遗传学:Toll样受体4在遗传易感性和病理生物学中的意义
Infect Immun. 2006 May;74(5):2596-605. doi: 10.1128/IAI.74.5.2596-2605.2006.
5
Pertussis toxin exacerbates and prolongs airway inflammatory responses during Bordetella pertussis infection.百日咳毒素在百日咳博德特氏菌感染期间加重和延长气道炎症反应。
Infect Immun. 2012 Dec;80(12):4317-32. doi: 10.1128/IAI.00808-12. Epub 2012 Oct 1.
6
[Accumulation of the bvg- Bordetella pertussis a virulent mutants in the process of experimental whooping cough in mice].[百日咳博德特氏菌无毒力突变体在小鼠实验性百日咳过程中的积累]
Mol Gen Mikrobiol Virusol. 2013(4):22-6.
7
Comparative genomic profiling of Dutch clinical Bordetella pertussis isolates using DNA microarrays: identification of genes absent from epidemic strains.使用DNA微阵列对荷兰临床百日咳博德特氏菌分离株进行比较基因组分析:鉴定流行菌株中缺失的基因。
BMC Genomics. 2008 Jun 30;9:311. doi: 10.1186/1471-2164-9-311.
8
Analysis of the Transcriptome of Bordetella pertussis during Infection of Mice.百日咳博德特氏菌感染小鼠的转录组分析。
mSphere. 2019 Apr 17;4(2):e00154-19. doi: 10.1128/mSphereDirect.00154-19.
9
[Application of DNA microcarriers for evaluation of mice splenocytes genes expression after immunization with pertussis vaccines and challenged with different B. pertussis strains].[DNA微载体在评估百日咳疫苗免疫及不同百日咳杆菌菌株攻击后小鼠脾细胞基因表达中的应用]
Med Dosw Mikrobiol. 2007;59(2):149-59.
10
Toll-like receptor 4 orchestrates neutrophil recruitment into airways during the first hours of Bordetella pertussis infection.Toll 样受体 4 在百日咳博德特氏菌感染的最初几个小时内协调中性粒细胞向气道的募集。
Microbes Infect. 2013 Sep-Oct;15(10-11):708-18. doi: 10.1016/j.micinf.2013.06.010. Epub 2013 Jun 28.

引用本文的文献

1
Non-primate animal models for pertussis: back to the drawing board?百日咳的非灵长类动物模型:回到绘图板?
Appl Microbiol Biotechnol. 2022 Feb;106(4):1383-1398. doi: 10.1007/s00253-022-11798-1. Epub 2022 Feb 1.
2
A comparison of two distinct murine macrophage gene expression profiles in response to Leishmania amazonensis infection.两种不同的鼠巨噬细胞基因表达谱在感染美洲利什曼原虫后的比较。
BMC Microbiol. 2012 Feb 9;12:22. doi: 10.1186/1471-2180-12-22.
3
Identification of the Mhc region as an asthma susceptibility locus in recombinant congenic mice.

本文引用的文献

1
Lung response to Bordetella pertussis infection in mice identified by gene-expression profiling.通过基因表达谱分析确定小鼠肺部对百日咳博德特氏菌感染的反应。
Immunogenetics. 2007 Jul;59(7):555-64. doi: 10.1007/s00251-007-0227-5. Epub 2007 May 9.
2
Immunomodulation in the pathogenesis of Bordetella pertussis infection and disease.百日咳博德特氏菌感染与疾病发病机制中的免疫调节
Curr Opin Pharmacol. 2007 Jun;7(3):272-8. doi: 10.1016/j.coph.2006.12.004. Epub 2007 Apr 5.
3
Host genetics of Bordetella pertussis infection in mice: significance of Toll-like receptor 4 in genetic susceptibility and pathobiology.
鉴定 MHC 区域作为重组近交系小鼠哮喘易感性位点。
Am J Respir Cell Mol Biol. 2011 Aug;45(2):295-303. doi: 10.1165/rcmb.2009-0369OC. Epub 2010 Oct 22.
4
Identification of a common gene expression response in different lung inflammatory diseases in rodents and macaques.在啮齿动物和猕猴的不同肺部炎症疾病中鉴定常见的基因表达反应。
PLoS One. 2008 Jul 9;3(7):e2596. doi: 10.1371/journal.pone.0002596.
小鼠中百日咳博德特氏菌感染的宿主遗传学:Toll样受体4在遗传易感性和病理生物学中的意义
Infect Immun. 2006 May;74(5):2596-605. doi: 10.1128/IAI.74.5.2596-2605.2006.
4
A SIMPLIFIED LIQUID CULTURE MEDIUM FOR THE GROWTH OF HEMOPHILUS PERTUSSIS.一种用于百日咳杆菌生长的简化液体培养基。
J Bacteriol. 1949 Aug;58(2):127-34.
5
Comparative toll-like receptor 4-mediated innate host defense to Bordetella infection.Toll样受体4介导的针对博德特氏菌感染的先天性宿主防御比较
Infect Immun. 2005 Dec;73(12):8144-52. doi: 10.1128/IAI.73.12.8144-8152.2005.
6
Genetic control of Bordetella pertussis infection: identification of susceptibility loci using recombinant congenic strains of mice.百日咳博德特氏菌感染的遗传控制:利用小鼠重组近交系鉴定易感基因座。
Infect Immun. 2005 Feb;73(2):741-7. doi: 10.1128/IAI.73.2.741-747.2005.
7
Timing of infection and prior immunization with respiratory syncytial virus (RSV) in RSV-enhanced allergic inflammation.呼吸道合胞病毒(RSV)感染的时机以及RSV增强型过敏性炎症中先前的免疫情况。
J Infect Dis. 2004 May 15;189(10):1866-72. doi: 10.1086/386341. Epub 2004 Apr 27.
8
Toll-like receptor 4 is critical to innate host defense in a murine model of bordetellosis.在博德特氏菌病的小鼠模型中,Toll样受体4对宿主天然防御至关重要。
J Infect Dis. 2004 Mar 1;189(5):833-6. doi: 10.1086/381898. Epub 2004 Feb 17.
9
Normalization of cDNA microarray data.cDNA微阵列数据的标准化
Methods. 2003 Dec;31(4):265-73. doi: 10.1016/s1046-2023(03)00155-5.
10
Identifying biological themes within lists of genes with EASE.使用EASE在基因列表中识别生物学主题。
Genome Biol. 2003;4(10):R70. doi: 10.1186/gb-2003-4-10-r70. Epub 2003 Sep 11.