Suppr超能文献

在一项功能基因组筛选中发现的一种在肿瘤中对p27调控异常的机制。

A mechanism misregulating p27 in tumors discovered in a functional genomic screen.

作者信息

Garrett-Engele Carrie M, Tasch Michael A, Hwang Harry C, Fero Matthew L, Perlmutter Roger M, Clurman Bruce E, Roberts James M

机构信息

Division of Basic Sciences, Fred Hutchinson Cancer Research Center, Seattle, Washington, USA.

出版信息

PLoS Genet. 2007 Dec;3(12):e219. doi: 10.1371/journal.pgen.0030219.

Abstract

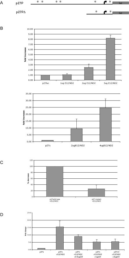
The cyclin-dependent kinase inhibitor p27(KIP1) is a tumor suppressor gene in mice, and loss of p27 protein is a negative prognostic indicator in human cancers. Unlike other tumor suppressors, the p27 gene is rarely mutated in tumors. Therefore misregulation of p27, rather than loss of the gene, is responsible for tumor-associated decreases in p27 protein levels. We performed a functional genomic screen in p27(+/-) mice to identify genes that regulate p27 during lymphomagenesis. This study demonstrated that decreased p27 expression in tumors resulted from altered transcription of the p27 gene, and the retroviral tagging strategy enabled us to pinpoint relevant transcription factors. inhibitor of DNA binding 3 (Id3) was isolated and validated as a transcriptional repressor of p27. We further demonstrated that p27 was a downstream target of Id3 in src-family kinase Lck-driven thymic lymphomagenesis and that p27 was an essential regulator of Lck-dependent thymic maturation during normal T-cell development. Thus, we have identified and characterized transcriptional repression of p27 by Id3 as a new mechanism decreasing p27 protein in tumors.

摘要

细胞周期蛋白依赖性激酶抑制剂p27(KIP1)在小鼠中是一种肿瘤抑制基因,而p27蛋白的缺失在人类癌症中是一个负面预后指标。与其他肿瘤抑制因子不同,p27基因在肿瘤中很少发生突变。因此,p27的调控异常而非基因缺失,是导致肿瘤中p27蛋白水平降低的原因。我们在p27(+/-)小鼠中进行了功能基因组筛选,以鉴定在淋巴瘤发生过程中调控p27的基因。这项研究表明,肿瘤中p27表达的降低是由于p27基因转录的改变,而逆转录病毒标签策略使我们能够确定相关的转录因子。DNA结合抑制剂3(Id3)被分离出来并被证实是p27的转录抑制因子。我们进一步证明,在src家族激酶Lck驱动的胸腺淋巴瘤发生过程中,p27是Id3的下游靶点,并且在正常T细胞发育过程中,p27是Lck依赖性胸腺成熟的重要调节因子。因此,我们已经确定并表征了Id3对p27的转录抑制,这是一种在肿瘤中降低p27蛋白的新机制。

https://cdn.ncbi.nlm.nih.gov/pmc/blobs/bdea/2323310/21d8f22709c3/pgen.0030219.g001.jpg

文献AI研究员

20分钟写一篇综述,助力文献阅读效率提升50倍。

立即体验

用中文搜PubMed

大模型驱动的PubMed中文搜索引擎

马上搜索

文档翻译

学术文献翻译模型,支持多种主流文档格式。

立即体验