• 文献检索
  • 文档翻译
  • 深度研究
  • 学术资讯
  • Suppr Zotero 插件Zotero 插件
  • 邀请有礼
  • 套餐&价格
  • 历史记录
应用&插件
Suppr Zotero 插件Zotero 插件浏览器插件Mac 客户端Windows 客户端微信小程序
定价
高级版会员购买积分包购买API积分包
服务
文献检索文档翻译深度研究API 文档MCP 服务
关于我们
关于 Suppr公司介绍联系我们用户协议隐私条款
关注我们

Suppr 超能文献

核心技术专利:CN118964589B侵权必究
粤ICP备2023148730 号-1Suppr @ 2026

文献检索

告别复杂PubMed语法,用中文像聊天一样搜索,搜遍4000万医学文献。AI智能推荐,让科研检索更轻松。

立即免费搜索

文件翻译

保留排版,准确专业,支持PDF/Word/PPT等文件格式,支持 12+语言互译。

免费翻译文档

深度研究

AI帮你快速写综述,25分钟生成高质量综述,智能提取关键信息,辅助科研写作。

立即免费体验

用于控制蚊虫幼虫的操作工具箱:坦桑尼亚达累斯萨拉姆市城市疟疾控制项目的初步结果和早期经验教训

A tool box for operational mosquito larval control: preliminary results and early lessons from the Urban Malaria Control Programme in Dar es Salaam, Tanzania.

作者信息

Fillinger Ulrike, Kannady Khadija, William George, Vanek Michael J, Dongus Stefan, Nyika Dickson, Geissbühler Yvonne, Chaki Prosper P, Govella Nico J, Mathenge Evan M, Singer Burton H, Mshinda Hassan, Lindsay Steven W, Tanner Marcel, Mtasiwa Deo, de Castro Marcia C, Killeen Gerry F

机构信息

Durham University, School of Biological and Biomedical Sciences, South Road, Durham DH13LE, UK.

出版信息

Malar J. 2008 Jan 25;7:20. doi: 10.1186/1475-2875-7-20.

DOI:10.1186/1475-2875-7-20
PMID:18218148
原文链接:https://pmc.ncbi.nlm.nih.gov/articles/PMC2259364/
Abstract

BACKGROUND

As the population of Africa rapidly urbanizes, large populations could be protected from malaria by controlling aquatic stages of mosquitoes if cost-effective and scalable implementation systems can be designed.

METHODS

A recently initiated Urban Malaria Control Programme in Dar es Salaam delegates responsibility for routine mosquito control and surveillance to modestly-paid community members, known as Community-Owned Resource Persons (CORPs). New vector surveillance, larviciding and management systems were designed and evaluated in 15 city wards to allow timely collection, interpretation and reaction to entomologic monitoring data using practical procedures that rely on minimal technology. After one year of baseline data collection, operational larviciding with Bacillus thuringiensis var. israelensis commenced in March 2006 in three selected wards.

RESULTS

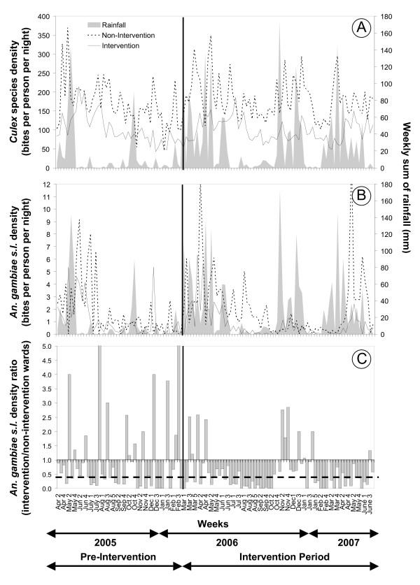
The procedures and staff management systems described greatly improved standards of larval surveillance relative to that reported at the outset of this programme. In the first year of the programme, over 65,000 potential Anopheles habitats were surveyed by 90 CORPs on a weekly basis. Reaction times to vector surveillance at observations were one day, week and month at ward, municipal and city levels, respectively. One year of community-based larviciding reduced transmission by the primary malaria vector, Anopheles gambiae s.l., by 31% (95% C.I. = 21.6-37.6%; p = 0.04).

CONCLUSION

This novel management, monitoring and evaluation system for implementing routine larviciding of malaria vectors in African cities has shown considerable potential for sustained, rapidly responsive, data-driven and affordable application. Nevertheless, the true programmatic value of larviciding in urban Africa can only be established through longer-term programmes which are stably financed and allow the operational teams and management infrastructures to mature by learning from experience.

摘要

背景

随着非洲人口迅速城市化,如果能够设计出具有成本效益且可扩展的实施系统,大量人口可通过控制蚊子的水生阶段来预防疟疾。

方法

达累斯萨拉姆最近启动的城市疟疾控制项目将常规蚊虫控制和监测的责任委托给薪酬适度的社区成员,即社区自有资源人员(CORPs)。在15个城市街区设计并评估了新的病媒监测、杀幼虫和管理系统,以便使用依赖最少技术的实用程序及时收集、解释和应对昆虫学监测数据。在收集了一年的基线数据后,2006年3月在三个选定街区开始使用苏云金芽孢杆菌以色列变种进行实际杀幼虫操作。

结果

相对于本项目开始时报告的情况,所描述的程序和人员管理系统极大地提高了幼虫监测标准。在项目的第一年,90名社区自有资源人员每周对超过65000个潜在按蚊栖息地进行调查。在病房、市政和城市层面,对病媒监测观察结果的反应时间分别为一天、一周和一个月。基于社区的一年杀幼虫操作使主要疟疾传播媒介冈比亚按蚊复合种的传播减少了31%(95%置信区间=21.6-37.6%;p=0.04)。

结论

这种用于在非洲城市实施常规疟疾媒介杀幼虫操作的新型管理、监测和评估系统已显示出在持续、快速响应、数据驱动且经济适用的应用方面具有相当大的潜力。然而,在非洲城市杀幼虫操作的真正项目价值只能通过长期项目来确定,这些项目要有稳定的资金支持,并允许运营团队和管理基础设施通过从经验中学习而成熟起来。

https://cdn.ncbi.nlm.nih.gov/pmc/blobs/bbf6/2259364/301d67c8d25c/1475-2875-7-20-12.jpg
https://cdn.ncbi.nlm.nih.gov/pmc/blobs/bbf6/2259364/ea91ca1da53d/1475-2875-7-20-1.jpg
https://cdn.ncbi.nlm.nih.gov/pmc/blobs/bbf6/2259364/220eb8b33ec4/1475-2875-7-20-2.jpg
https://cdn.ncbi.nlm.nih.gov/pmc/blobs/bbf6/2259364/3c4079c42d64/1475-2875-7-20-3.jpg
https://cdn.ncbi.nlm.nih.gov/pmc/blobs/bbf6/2259364/a34460633e20/1475-2875-7-20-4.jpg
https://cdn.ncbi.nlm.nih.gov/pmc/blobs/bbf6/2259364/258feaea4da1/1475-2875-7-20-5.jpg
https://cdn.ncbi.nlm.nih.gov/pmc/blobs/bbf6/2259364/274eebd92599/1475-2875-7-20-6.jpg
https://cdn.ncbi.nlm.nih.gov/pmc/blobs/bbf6/2259364/fe583bb073f2/1475-2875-7-20-7.jpg
https://cdn.ncbi.nlm.nih.gov/pmc/blobs/bbf6/2259364/c1431b7891ca/1475-2875-7-20-8.jpg
https://cdn.ncbi.nlm.nih.gov/pmc/blobs/bbf6/2259364/89013676f69e/1475-2875-7-20-9.jpg
https://cdn.ncbi.nlm.nih.gov/pmc/blobs/bbf6/2259364/f8b800fab68e/1475-2875-7-20-10.jpg
https://cdn.ncbi.nlm.nih.gov/pmc/blobs/bbf6/2259364/cf15abaed979/1475-2875-7-20-11.jpg
https://cdn.ncbi.nlm.nih.gov/pmc/blobs/bbf6/2259364/301d67c8d25c/1475-2875-7-20-12.jpg
https://cdn.ncbi.nlm.nih.gov/pmc/blobs/bbf6/2259364/ea91ca1da53d/1475-2875-7-20-1.jpg
https://cdn.ncbi.nlm.nih.gov/pmc/blobs/bbf6/2259364/220eb8b33ec4/1475-2875-7-20-2.jpg
https://cdn.ncbi.nlm.nih.gov/pmc/blobs/bbf6/2259364/3c4079c42d64/1475-2875-7-20-3.jpg
https://cdn.ncbi.nlm.nih.gov/pmc/blobs/bbf6/2259364/a34460633e20/1475-2875-7-20-4.jpg
https://cdn.ncbi.nlm.nih.gov/pmc/blobs/bbf6/2259364/258feaea4da1/1475-2875-7-20-5.jpg
https://cdn.ncbi.nlm.nih.gov/pmc/blobs/bbf6/2259364/274eebd92599/1475-2875-7-20-6.jpg
https://cdn.ncbi.nlm.nih.gov/pmc/blobs/bbf6/2259364/fe583bb073f2/1475-2875-7-20-7.jpg
https://cdn.ncbi.nlm.nih.gov/pmc/blobs/bbf6/2259364/c1431b7891ca/1475-2875-7-20-8.jpg
https://cdn.ncbi.nlm.nih.gov/pmc/blobs/bbf6/2259364/89013676f69e/1475-2875-7-20-9.jpg
https://cdn.ncbi.nlm.nih.gov/pmc/blobs/bbf6/2259364/f8b800fab68e/1475-2875-7-20-10.jpg
https://cdn.ncbi.nlm.nih.gov/pmc/blobs/bbf6/2259364/cf15abaed979/1475-2875-7-20-11.jpg
https://cdn.ncbi.nlm.nih.gov/pmc/blobs/bbf6/2259364/301d67c8d25c/1475-2875-7-20-12.jpg

相似文献

1
A tool box for operational mosquito larval control: preliminary results and early lessons from the Urban Malaria Control Programme in Dar es Salaam, Tanzania.用于控制蚊虫幼虫的操作工具箱:坦桑尼亚达累斯萨拉姆市城市疟疾控制项目的初步结果和早期经验教训
Malar J. 2008 Jan 25;7:20. doi: 10.1186/1475-2875-7-20.
2
Community-based surveillance of malaria vector larval habitats: a baseline study in urban Dar es Salaam, Tanzania.基于社区的疟疾媒介幼虫栖息地监测:坦桑尼亚达累斯萨拉姆市的一项基线研究
BMC Public Health. 2006 Jun 15;6:154. doi: 10.1186/1471-2458-6-154.
3
Achieving high coverage of larval-stage mosquito surveillance: challenges for a community-based mosquito control programme in urban Dar es Salaam, Tanzania.实现高覆盖率的幼虫期蚊虫监测:坦桑尼亚达累斯萨拉姆市基于社区的蚊虫控制项目面临的挑战。
Malar J. 2009 Dec 30;8:311. doi: 10.1186/1475-2875-8-311.
4
Microbial larvicide application by a large-scale, community-based program reduces malaria infection prevalence in urban Dar es Salaam, Tanzania.通过一项大规模的社区项目应用微生物杀幼虫剂可降低坦桑尼亚达累斯萨拉姆市城区的疟疾感染率。
PLoS One. 2009;4(3):e5107. doi: 10.1371/journal.pone.0005107. Epub 2009 Mar 31.
5
Bacterial larvicides used for malaria vector control in sub-Saharan Africa: review of their effectiveness and operational feasibility.撒哈拉以南非洲地区用于疟疾病媒控制的细菌杀虫剂:对其有效性和操作可行性的审查。
Parasit Vectors. 2019 Aug 30;12(1):426. doi: 10.1186/s13071-019-3683-5.
6
Participatory mapping of target areas to enable operational larval source management to suppress malaria vector mosquitoes in Dar es Salaam, Tanzania.对目标区域进行参与式绘图,以实现有效的幼虫源管理,从而抑制坦桑尼亚达累斯萨拉姆的疟疾媒介蚊子。
Int J Health Geogr. 2007 Sep 4;6:37. doi: 10.1186/1476-072X-6-37.
7
Addressing key gaps in implementation of mosquito larviciding to accelerate malaria vector control in southern Tanzania: results of a stakeholder engagement process in local district councils.解决坦桑尼亚南部蚊幼虫控制实施中的关键差距,以加速疟疾病媒控制:地方地区理事会利益攸关方参与进程的结果。
Malar J. 2021 Mar 2;20(1):123. doi: 10.1186/s12936-021-03661-x.
8
Efficacy and persistence of long-lasting microbial larvicides against malaria vectors in western Kenya highlands.长效微生物杀虫剂在肯尼亚高地西部控制疟疾媒介的效果和持久性。
Parasit Vectors. 2018 Jul 31;11(1):438. doi: 10.1186/s13071-018-3009-z.
9
The impact of Bacillus thuringiensis var. israelensis (Vectobac WDG) larvicide sprayed with drones on the bio-control of malaria vectors in rice fields of sub-urban Kigali, Rwanda.利用无人机喷洒苏云金芽孢杆菌以色列变种(Vectobac WDG)乳剂对卢旺达基加利郊区稻田中疟疾传播媒介的生物控制的影响。
Malar J. 2024 Sep 17;23(1):281. doi: 10.1186/s12936-024-05104-9.
10
Suppression of malaria vector densities and human infection prevalence associated with scale-up of mosquito-proofed housing in Dar es Salaam, Tanzania: re-analysis of an observational series of parasitological and entomological surveys.在坦桑尼亚达累斯萨拉姆,随着防蚊住房的大规模推广,疟疾病媒密度和人类感染率得到了抑制:对寄生虫学和昆虫学调查的观察性系列研究的重新分析。
Lancet Planet Health. 2019 Mar;3(3):e132-e143. doi: 10.1016/S2542-5196(19)30035-X.

引用本文的文献

1
Assessing the role of community involvement and capacity building in larviciding applications for malaria control in Africa: A scoping review.评估社区参与和能力建设在非洲疟疾控制杀幼虫应用中的作用:一项范围综述。
Curr Res Parasitol Vector Borne Dis. 2025 Aug 14;8:100307. doi: 10.1016/j.crpvbd.2025.100307. eCollection 2025.
2
Know your enemy: understanding mosquito biology to advance malaria elimination in Africa.了解你的敌人:认识蚊子生物学以推动非洲消除疟疾
Parasitol Res. 2025 Aug 18;124(8):93. doi: 10.1007/s00436-025-08534-9.
3
Elevating larval source management as a key strategy for controlling malaria and other vector-borne diseases in Africa.

本文引用的文献

1
Species-eradication: The Eradication of Anopheles gambioe from Upper Egypt, 1942-1945.物种根除:1942 - 1945年在上埃及根除冈比亚按蚊
Bull World Health Organ. 1948;1(2):309-52.
2
Interdependence of domestic malaria prevention measures and mosquito-human interactions in urban Dar es Salaam, Tanzania.坦桑尼亚达累斯萨拉姆市城市地区疟疾预防措施与蚊虫-人类相互作用的相互依存关系。
Malar J. 2007 Sep 19;6:126. doi: 10.1186/1475-2875-6-126.
3
Participatory mapping of target areas to enable operational larval source management to suppress malaria vector mosquitoes in Dar es Salaam, Tanzania.
提升幼虫源管理作为非洲控制疟疾和其他病媒传播疾病的关键策略。
Parasit Vectors. 2025 Feb 7;18(1):45. doi: 10.1186/s13071-024-06621-x.
4
Larviciding for malaria control and elimination in Africa.用于非洲疟疾控制与消除的杀幼虫措施
Malar J. 2025 Jan 15;24(1):16. doi: 10.1186/s12936-024-05236-y.
5
Malaria pervasiveness in Sub-Saharan Africa: Overcoming the scuffle.撒哈拉以南非洲地区的疟疾流行情况:克服困境。
Medicine (Baltimore). 2024 Dec 6;103(49):e40241. doi: 10.1097/MD.0000000000040241.
6
Larval source management in Ethiopia: modelling to assess its effectiveness in curbing malaria surge in dire Dawa and Batu Towns.埃塞俄比亚的幼虫源管理:通过建模评估其在遏制德雷达瓦和巴图镇疟疾激增方面的有效性。
Malar J. 2024 Dec 3;23(1):366. doi: 10.1186/s12936-024-05189-2.
7
Field surveys in rural Tanzania reveal key opportunities for targeted larval source management and species sanitation to control malaria in areas dominated by Anopheles funestus.坦桑尼亚农村实地调查揭示了有针对性地进行幼虫源管理和物种卫生处理的重要机会,以控制由冈比亚按蚊主导的疟疾流行地区的疟疾。
Malar J. 2024 Nov 16;23(1):344. doi: 10.1186/s12936-024-05172-x.
8
Societal uses of the main water bodies inhabited by malaria vectors and implications for larval source management.疟疾媒介主要栖息水体的社会利用及其对幼虫源管理的意义。
Malar J. 2024 Nov 9;23(1):336. doi: 10.1186/s12936-024-05154-z.
9
Novel malaria control by strategic net-hoisting with S/O channel/grip devices.通过使用S/O通道/握持装置进行战略性蚊帐悬挂实现新型疟疾防控。
Malariaworld J. 2011 Sep 26;2:3. doi: 10.5281/zenodo.10998669. eCollection 2011.
10
Cost effectiveness of malaria vector control activities in Sudan.苏丹疟疾媒介控制活动的成本效益。
Malar J. 2024 Mar 15;23(1):80. doi: 10.1186/s12936-024-04900-7.
对目标区域进行参与式绘图,以实现有效的幼虫源管理,从而抑制坦桑尼亚达累斯萨拉姆的疟疾媒介蚊子。
Int J Health Geogr. 2007 Sep 4;6:37. doi: 10.1186/1476-072X-6-37.
4
Microbial larvicides for malaria control in The Gambia.冈比亚用于疟疾控制的微生物杀幼虫剂。
Malar J. 2007 Jun 7;6:76. doi: 10.1186/1475-2875-6-76.
5
An exploratory study of community factors relevant for participatory malaria control on Rusinga Island, western Kenya.肯尼亚西部鲁辛加岛参与式疟疾控制相关社区因素的探索性研究。
Malar J. 2007 Apr 24;6:48. doi: 10.1186/1475-2875-6-48.
6
Contributions of Anopheles larval control to malaria suppression in tropical Africa: review of achievements and potential.按蚊幼虫控制对热带非洲疟疾抑制的贡献:成就与潜力综述
Med Vet Entomol. 2007 Mar;21(1):2-21. doi: 10.1111/j.1365-2915.2007.00674.x.
7
Comparison of mosquito control programs in seven urban sites in Africa, the Middle East, and the Americas.非洲、中东和美洲七个城市地区蚊虫控制项目的比较。
Health Policy. 2007 Oct;83(2-3):196-212. doi: 10.1016/j.healthpol.2007.01.009. Epub 2007 Feb 20.
8
Revisiting the basic reproductive number for malaria and its implications for malaria control.重新审视疟疾的基本繁殖数及其对疟疾控制的影响。
PLoS Biol. 2007 Mar;5(3):e42. doi: 10.1371/journal.pbio.0050042.
9
Urban farming and malaria risk factors in a medium-sized town in Cote d'Ivoire.科特迪瓦一个中等规模城镇的城市农业与疟疾风险因素
Am J Trop Med Hyg. 2006 Dec;75(6):1223-31.
10
Quantifying behavioural interactions between humans and mosquitoes: evaluating the protective efficacy of insecticidal nets against malaria transmission in rural Tanzania.量化人类与蚊子之间的行为相互作用:评估坦桑尼亚农村地区杀虫网对疟疾传播的防护效果。
BMC Infect Dis. 2006 Nov 10;6:161. doi: 10.1186/1471-2334-6-161.