Chen Jun De, Feng Dan Qin, Yang Zhi Wei, Wang Zhan Chang, Qiu Yan, Lin Yi Ming
Department of Biology, School of Life Sciences, Xiamen University, Xiamen 361005, PR China.
Molecules. 2008 Jan 31;13(2):212-9. doi: 10.3390/molecules13020212.
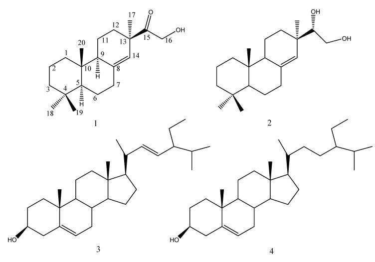
The new diterpene methoxy-ent-8(14)-pimarenely-15-one (1) and three known metabolites: ent-8(14)-pimarene-15R,16-diol (2), stigmasterol (3) and beta-sitosterol (4), were isolated from the roots of the mangrove plant Ceriops tagal. Their structures and relative stereochemistry were elucidated by means of extensive NMR, IR and MS analysis. Compounds 1, 2, 3 and 4 exhibited significant antifouling activities against cyprid larvae of the barnacle Balanus albicostatus Pilsbry, with EC(50) values of 0.32 +/- 0.01, 0.04 +/- 0.00,4.05 +/- 0.15 and 18.47 +/- 0.40 microg/cm(2), respectively, whereas their toxicities towards cyprids were very low, with LC(50 )values all above 10 microg/cm(2).
从红树植物角果木的根部分离得到了新的二萜类化合物甲氧基-对映-8(14)-海松烯-15-酮(1)以及三种已知的代谢产物:对映-8(14)-海松烯-15R,16-二醇(2)、豆甾醇(3)和β-谷甾醇(4)。通过广泛的核磁共振、红外光谱和质谱分析确定了它们的结构和相对立体化学。化合物1、2、3和4对藤壶白脊藤壶的无节幼虫表现出显著的防污活性,其半数有效浓度(EC50)值分别为0.32±0.01、0.04±0.00、4.05±0.15和18.47±0.40微克/平方厘米,而它们对无节幼虫的毒性非常低,半数致死浓度(LC50)值均高于10微克/平方厘米。