Menezes Maria José, Costa Dirceu J, Clarêncio Jorge, Miranda José Carlos, Barral Aldina, Barral-Netto Manoel, Brodskyn Cláudia, de Oliveira Camila I
Centro de Pesquisas Gonçalo Moniz-FIOCRUZ, Salvador, Brazil.
BMC Immunol. 2008 Apr 10;9:12. doi: 10.1186/1471-2172-9-12.
Sand fly saliva contains potent and complex pharmacologic molecules that are able to modulate the host's hemostatic, inflammatory, and immune systems. In this study, we evaluated the effects of salivary gland sonicate (SGS) of Lutzomyia intermedia, the natural vector of Leishmania braziliensis, on monocytes obtained from the peripheral blood mononuclear cells (PBMC) of healthy volunteers. We investigated the effects of sand fly saliva on cytokine production and surface molecule expression of LPS-stimulated human monocytes uninfected or infected with L. braziliensis.
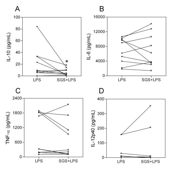
Pre-treatment of non-infected human monocytes with L. intermedia SGS followed by LPS-stimulation led to a significant decrease in IL-10 production accompanied by a significant increase in CD86, CD80, and HLA-DR expression. Pre-treatment with SGS followed by LPS stimulation and L. braziliensis infection led to a significant increase in TNF-alpha, IL-6, and IL-8 production without significant alterations in co-stimulatory molecule expression. However, pre-treatment with L. intermedia SGS did not result in significant changes in the infection rate of human monocytes.
Our data indicate that L. intermedia saliva is able to modulate monocyte response, and, although this modulation is dissociated from enhanced infection with L. braziliensis, it may be associated with successful parasitism.
白蛉唾液含有强效且复杂的药理分子,能够调节宿主的止血、炎症和免疫系统。在本研究中,我们评估了巴西利什曼原虫的天然传播媒介中间罗蛉唾液腺超声提取物(SGS)对从健康志愿者外周血单核细胞(PBMC)中获得的单核细胞的影响。我们研究了白蛉唾液对未感染或感染巴西利什曼原虫的LPS刺激的人单核细胞的细胞因子产生和表面分子表达的影响。
用中间罗蛉SGS预处理未感染的人单核细胞,随后进行LPS刺激,导致IL-10产生显著减少,同时CD86、CD80和HLA-DR表达显著增加。用SGS预处理,随后进行LPS刺激和巴西利什曼原虫感染,导致TNF-α、IL-6和IL-8产生显著增加,共刺激分子表达无显著变化。然而,用中间罗蛉SGS预处理并未导致人单核细胞感染率的显著变化。
我们的数据表明,中间罗蛉唾液能够调节单核细胞反应,并且,尽管这种调节与巴西利什曼原虫感染增强无关,但它可能与成功寄生有关。