• 文献检索
  • 文档翻译
  • 深度研究
  • 学术资讯
  • Suppr Zotero 插件Zotero 插件
  • 邀请有礼
  • 套餐&价格
  • 历史记录
应用&插件
Suppr Zotero 插件Zotero 插件浏览器插件Mac 客户端Windows 客户端微信小程序
定价
高级版会员购买积分包购买API积分包
服务
文献检索文档翻译深度研究API 文档MCP 服务
关于我们
关于 Suppr公司介绍联系我们用户协议隐私条款
关注我们

Suppr 超能文献

核心技术专利:CN118964589B侵权必究
粤ICP备2023148730 号-1Suppr @ 2026

文献检索

告别复杂PubMed语法,用中文像聊天一样搜索,搜遍4000万医学文献。AI智能推荐,让科研检索更轻松。

立即免费搜索

文件翻译

保留排版,准确专业,支持PDF/Word/PPT等文件格式,支持 12+语言互译。

免费翻译文档

深度研究

AI帮你快速写综述,25分钟生成高质量综述,智能提取关键信息,辅助科研写作。

立即免费体验

用于治疗被忽视疾病的前体药物。

Prodrugs for the treatment of neglected diseases.

作者信息

Chung Man Chin, Ferreira Elizabeth Igne, Santos Jean Leandro, Giarolla Jeanine, Rando Daniela Gonçales, Almeida Adélia Emília, Bosquesi Priscila Longhin, Menegon Renato Farina, Blau Lorena

机构信息

Lapdesf - Laboratório de Desenvolvimento de Fármacos, Departamento de Fármacos e Medicamentos, Faculdade de Ciências Farmacêuticas - UNESP Rodovia Araraquara-Jaú Km 1, 14801-902, Brazil.

出版信息

Molecules. 2007 Mar 19;13(3):616-77. doi: 10.3390/molecules13030616.

DOI:10.3390/molecules13030616
PMID:18463559
原文链接:https://pmc.ncbi.nlm.nih.gov/articles/PMC6245083/
Abstract

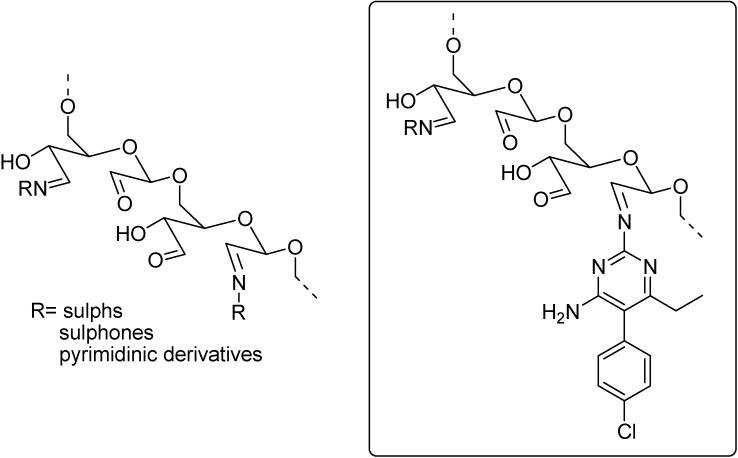
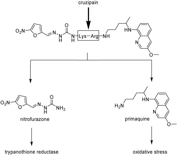
Recently, World Health Organization (WHO) and Medicins San Frontieres (MSF) proposed a classification of diseases as global, neglected and extremely neglected. Global diseases, such as cancer, cardiovascular and mental (CNS) diseases represent the targets of the majority of the R&D efforts of pharmaceutical companies. Neglected diseases affect millions of people in the world yet existing drug therapy is limited and often inappropriate. Furthermore, extremely neglected diseases affect people living under miserable conditions who barely have access to the bare necessities for survival. Most of these diseases are excluded from the goals of the R&D programs in the pharmaceutical industry and therefore fall outside the pharmaceutical market. About 14 million people,mainly in developing countries, die each year from infectious diseases. From 1975 to 1999,1393 new drugs were approved yet only 1% were for the treatment of neglected diseases[3]. These numbers have not changed until now, so in those countries there is an urgent need for the design and synthesis of new drugs and in this area the prodrug approach is a very interesting field. It provides, among other effects, activity improvements and toxicity decreases for current and new drugs, improving market availability. It is worth noting that it is essential in drug design to save time and money, and prodrug approaches can be considered of high interest in this respect. The present review covers 20 years of research on the design of prodrugs for the treatment of neglected and extremely neglected diseases such as Chagas' disease (American trypanosomiasis), sleeping sickness (African trypanosomiasis), malaria, sickle cell disease, tuberculosis, leishmaniasis and schistosomiasis.

摘要

最近,世界卫生组织(WHO)和无国界医生组织(MSF)提出了一种疾病分类,分为全球性疾病、被忽视疾病和极度被忽视疾病。全球性疾病,如癌症、心血管疾病和精神(中枢神经系统)疾病,是制药公司大部分研发工作的目标。被忽视疾病影响着世界上数百万人,但现有的药物治疗有限且往往不合适。此外,极度被忽视疾病影响着生活在悲惨条件下、几乎无法获得基本生存必需品的人群。这些疾病中的大多数被排除在制药行业研发计划的目标之外,因此不属于制药市场范畴。每年约有1400万人,主要是发展中国家的人,死于传染病。从1975年到1999年,有1393种新药获批,但其中只有1%用于治疗被忽视疾病[3]。直到现在这些数字都没有改变,所以在那些国家迫切需要设计和合成新药,在这一领域前药方法是一个非常有趣的领域。它除了其他作用外,还能提高现有药物和新药的活性并降低毒性,提高市场可得性。值得注意的是,在药物设计中节省时间和金钱至关重要,在前药方法在这方面可被认为具有很高的价值。本综述涵盖了20年来关于设计用于治疗被忽视和极度被忽视疾病(如恰加斯病(美洲锥虫病)、昏睡病(非洲锥虫病)、疟疾、镰状细胞病、结核病、利什曼病和血吸虫病)的前药的研究。

https://cdn.ncbi.nlm.nih.gov/pmc/blobs/392e/6245083/56eac9c2bce3/molecules-13-00616-g025.jpg
https://cdn.ncbi.nlm.nih.gov/pmc/blobs/392e/6245083/460373c28332/molecules-13-00616-g001.jpg
https://cdn.ncbi.nlm.nih.gov/pmc/blobs/392e/6245083/4c3164c1132b/molecules-13-00616-g002.jpg
https://cdn.ncbi.nlm.nih.gov/pmc/blobs/392e/6245083/e63fcdd90fb9/molecules-13-00616-g003.jpg
https://cdn.ncbi.nlm.nih.gov/pmc/blobs/392e/6245083/74a53e087885/molecules-13-00616-g004.jpg
https://cdn.ncbi.nlm.nih.gov/pmc/blobs/392e/6245083/957f5eb823da/molecules-13-00616-g005.jpg
https://cdn.ncbi.nlm.nih.gov/pmc/blobs/392e/6245083/46f6d07ae462/molecules-13-00616-g006.jpg
https://cdn.ncbi.nlm.nih.gov/pmc/blobs/392e/6245083/ca0446275ba1/molecules-13-00616-g007.jpg
https://cdn.ncbi.nlm.nih.gov/pmc/blobs/392e/6245083/f76a838970a3/molecules-13-00616-g008.jpg
https://cdn.ncbi.nlm.nih.gov/pmc/blobs/392e/6245083/e558eaa097a7/molecules-13-00616-g009.jpg
https://cdn.ncbi.nlm.nih.gov/pmc/blobs/392e/6245083/845d9eca203e/molecules-13-00616-g010.jpg
https://cdn.ncbi.nlm.nih.gov/pmc/blobs/392e/6245083/083bc2299e64/molecules-13-00616-g011.jpg
https://cdn.ncbi.nlm.nih.gov/pmc/blobs/392e/6245083/b26d8c0dcb1b/molecules-13-00616-g012.jpg
https://cdn.ncbi.nlm.nih.gov/pmc/blobs/392e/6245083/038e92c82587/molecules-13-00616-g013.jpg
https://cdn.ncbi.nlm.nih.gov/pmc/blobs/392e/6245083/4b707313948f/molecules-13-00616-g014.jpg
https://cdn.ncbi.nlm.nih.gov/pmc/blobs/392e/6245083/48bc944769f2/molecules-13-00616-g015.jpg
https://cdn.ncbi.nlm.nih.gov/pmc/blobs/392e/6245083/4f37f2da5025/molecules-13-00616-g016.jpg
https://cdn.ncbi.nlm.nih.gov/pmc/blobs/392e/6245083/2f1c3c7a71d3/molecules-13-00616-g017.jpg
https://cdn.ncbi.nlm.nih.gov/pmc/blobs/392e/6245083/d0892346c17a/molecules-13-00616-g019.jpg
https://cdn.ncbi.nlm.nih.gov/pmc/blobs/392e/6245083/f54d32a632a7/molecules-13-00616-g021.jpg
https://cdn.ncbi.nlm.nih.gov/pmc/blobs/392e/6245083/6b1fc3bc682f/molecules-13-00616-g023.jpg
https://cdn.ncbi.nlm.nih.gov/pmc/blobs/392e/6245083/56eac9c2bce3/molecules-13-00616-g025.jpg
https://cdn.ncbi.nlm.nih.gov/pmc/blobs/392e/6245083/460373c28332/molecules-13-00616-g001.jpg
https://cdn.ncbi.nlm.nih.gov/pmc/blobs/392e/6245083/4c3164c1132b/molecules-13-00616-g002.jpg
https://cdn.ncbi.nlm.nih.gov/pmc/blobs/392e/6245083/e63fcdd90fb9/molecules-13-00616-g003.jpg
https://cdn.ncbi.nlm.nih.gov/pmc/blobs/392e/6245083/74a53e087885/molecules-13-00616-g004.jpg
https://cdn.ncbi.nlm.nih.gov/pmc/blobs/392e/6245083/957f5eb823da/molecules-13-00616-g005.jpg
https://cdn.ncbi.nlm.nih.gov/pmc/blobs/392e/6245083/46f6d07ae462/molecules-13-00616-g006.jpg
https://cdn.ncbi.nlm.nih.gov/pmc/blobs/392e/6245083/ca0446275ba1/molecules-13-00616-g007.jpg
https://cdn.ncbi.nlm.nih.gov/pmc/blobs/392e/6245083/f76a838970a3/molecules-13-00616-g008.jpg
https://cdn.ncbi.nlm.nih.gov/pmc/blobs/392e/6245083/e558eaa097a7/molecules-13-00616-g009.jpg
https://cdn.ncbi.nlm.nih.gov/pmc/blobs/392e/6245083/845d9eca203e/molecules-13-00616-g010.jpg
https://cdn.ncbi.nlm.nih.gov/pmc/blobs/392e/6245083/083bc2299e64/molecules-13-00616-g011.jpg
https://cdn.ncbi.nlm.nih.gov/pmc/blobs/392e/6245083/b26d8c0dcb1b/molecules-13-00616-g012.jpg
https://cdn.ncbi.nlm.nih.gov/pmc/blobs/392e/6245083/038e92c82587/molecules-13-00616-g013.jpg
https://cdn.ncbi.nlm.nih.gov/pmc/blobs/392e/6245083/4b707313948f/molecules-13-00616-g014.jpg
https://cdn.ncbi.nlm.nih.gov/pmc/blobs/392e/6245083/48bc944769f2/molecules-13-00616-g015.jpg
https://cdn.ncbi.nlm.nih.gov/pmc/blobs/392e/6245083/4f37f2da5025/molecules-13-00616-g016.jpg
https://cdn.ncbi.nlm.nih.gov/pmc/blobs/392e/6245083/2f1c3c7a71d3/molecules-13-00616-g017.jpg
https://cdn.ncbi.nlm.nih.gov/pmc/blobs/392e/6245083/d0892346c17a/molecules-13-00616-g019.jpg
https://cdn.ncbi.nlm.nih.gov/pmc/blobs/392e/6245083/f54d32a632a7/molecules-13-00616-g021.jpg
https://cdn.ncbi.nlm.nih.gov/pmc/blobs/392e/6245083/6b1fc3bc682f/molecules-13-00616-g023.jpg
https://cdn.ncbi.nlm.nih.gov/pmc/blobs/392e/6245083/56eac9c2bce3/molecules-13-00616-g025.jpg

相似文献

1
Prodrugs for the treatment of neglected diseases.用于治疗被忽视疾病的前体药物。
Molecules. 2007 Mar 19;13(3):616-77. doi: 10.3390/molecules13030616.
2
Folic acid supplementation and malaria susceptibility and severity among people taking antifolate antimalarial drugs in endemic areas.在流行地区,服用抗叶酸抗疟药物的人群中,叶酸补充剂与疟疾易感性和严重程度的关系。
Cochrane Database Syst Rev. 2022 Feb 1;2(2022):CD014217. doi: 10.1002/14651858.CD014217.
3
Malaria and tuberculosis as diseases of neglected populations: state of the art in chemotherapy and advances in the search for new drugs.疟疾和结核病作为被忽视人群的疾病:化疗的最新进展和新药研究的进展。
Mem Inst Oswaldo Cruz. 2020 Oct 5;115:e200229. doi: 10.1590/0074-02760200229. eCollection 2020.
4
DB-289 Immtech International.DB - 289 Immtech国际公司。
IDrugs. 2003 Nov;6(11):1086-93.
5
Dual Inhibition of Parasitic Targets: A Valuable Strategy to Treat Malaria and Neglected Tropical Diseases.双重抑制寄生虫靶点:治疗疟疾和被忽视热带病的有效策略。
Curr Med Chem. 2022;29(17):2952-2978. doi: 10.2174/0929867328666210810125309.
6
Opportunities and challenges in antiparasitic drug discovery.抗寄生虫药物研发中的机遇与挑战。
Nat Rev Drug Discov. 2005 Sep;4(9):727-40. doi: 10.1038/nrd1824.
7
[Endemic tropical diseases: comtemporary health problem due to abandoned diseases in the developing world].[地方性热带疾病:发展中世界因被忽视疾病导致的当代健康问题]
Kansenshogaku Zasshi. 2006 Sep;80(5):469-74. doi: 10.11150/kansenshogakuzasshi1970.80.469.
8
Computer-Aided Drug Discovery Approaches against the Tropical Infectious Diseases Malaria, Tuberculosis, Trypanosomiasis, and Leishmaniasis.针对热带传染病疟疾、结核病、锥虫病和利什曼病的计算机辅助药物发现方法
ACS Infect Dis. 2016 Jan 8;2(1):8-31. doi: 10.1021/acsinfecdis.5b00093. Epub 2015 Nov 16.
9
Drugs for neglected diseases: part I.治疗被忽视疾病的药物:第一部分。
Future Med Chem. 2011 Aug;3(10):1235-7. doi: 10.4155/fmc.11.103.
10
[International Partnership for Therapeutic Drug Development of NTDs by DNDi].[被忽视热带病药物开发全球合作组织(DNDi)的国际治疗药物开发伙伴关系]
Yakugaku Zasshi. 2016;136(2):213-22. doi: 10.1248/yakushi.15-00233-2.

引用本文的文献

1
Furan Dissociation Induced by Collisions with H and C Ions.与氢和碳离子碰撞引发的呋喃离解
Molecules. 2025 Jun 12;30(12):2559. doi: 10.3390/molecules30122559.
2
Harnessing the 12 Green Chemistry Principles for Sustainable Antiparasitic Drugs: Toward the One Health Approach.利用 12 条绿色化学原则开发可持续的抗寄生虫药物:迈向“同一健康”方法。
ACS Infect Dis. 2024 Jun 14;10(6):1856-1870. doi: 10.1021/acsinfecdis.4c00172. Epub 2024 May 9.
3
Synthesis and Antiviral Activity of Novel β-D-N4-Hydroxycytidine Ester Prodrugs as Potential Compounds for the Treatment of SARS-CoV-2 and Other Human Coronaviruses.

本文引用的文献

1
Assessment of safety of the major antimalarial drugs.主要抗疟药物的安全性评估。
Expert Opin Drug Saf. 2007 Sep;6(5):505-21. doi: 10.1517/14740338.6.5.505.
2
In vivo studies on the antileishmanial activity of buparvaquone and its prodrugs.关于丁萘醌及其前药抗利什曼原虫活性的体内研究。
J Antimicrob Chemother. 2007 Oct;60(4):802-10. doi: 10.1093/jac/dkm303. Epub 2007 Aug 21.
3
Neglected diseases, civil conflicts, and the right to health.被忽视的疾病、内战与健康权。
新型β-D-N4-羟基胞苷酯前药的合成及其抗病毒活性:作为治疗SARS-CoV-2和其他人类冠状病毒的潜在化合物
Pharmaceuticals (Basel). 2023 Dec 26;17(1):35. doi: 10.3390/ph17010035.
4
The Application of Prodrugs as a Tool to Enhance the Properties of Nucleoside Reverse Transcriptase Inhibitors.前药在增强核苷逆转录酶抑制剂性质中的应用。
Viruses. 2023 Nov 9;15(11):2234. doi: 10.3390/v15112234.
5
Modular Fabrication of Bioorthogonal Nanozymes for Biomedical Applications.用于生物医学应用的生物正交纳米酶的模块化构建
Adv Mater. 2024 Mar;36(10):e2300943. doi: 10.1002/adma.202300943. Epub 2023 Oct 18.
6
Effect of B-NIPOx in Experimental Infection in Mice.B-NIPOx 在小鼠实验感染中的作用。
Int J Mol Sci. 2022 Dec 25;24(1):333. doi: 10.3390/ijms24010333.
7
Chinese medicinal herbs as potential prodrugs for obesity.作为肥胖症潜在前体药物的中草药。
Front Pharmacol. 2022 Oct 3;13:1016004. doi: 10.3389/fphar.2022.1016004. eCollection 2022.
8
Drug/Lead Compound Hydroxymethylation as a Simple Approach to Enhance Pharmacodynamic and Pharmacokinetic Properties.药物/先导化合物羟甲基化:一种增强药效学和药代动力学性质的简单方法
Front Chem. 2022 Feb 14;9:734983. doi: 10.3389/fchem.2021.734983. eCollection 2021.
9
Alkoxycarbonate Ester Prodrugs of Preclinical Drug Candidate ELQ-300 for Prophylaxis and Treatment of Malaria.用于预防和治疗疟疾的临床前候选药物ELQ-300的烷氧碳酸酯前药
ACS Infect Dis. 2017 Oct 13;3(10):728-735. doi: 10.1021/acsinfecdis.7b00062. Epub 2017 Sep 27.
10
The Prodrug Approach: A Successful Tool for Improving Drug Solubility.前药方法:提高药物溶解度的成功工具。
Molecules. 2015 Dec 29;21(1):42. doi: 10.3390/molecules21010042.
Lancet. 2007 Aug 18;370(9587):619-27. doi: 10.1016/S0140-6736(07)61301-4.
4
Genetic polymorphisms associated with priapism in sickle cell disease.镰状细胞病中与阴茎异常勃起相关的基因多态性。
Br J Haematol. 2007 May;137(3):262-7. doi: 10.1111/j.1365-2141.2007.06560.x.
5
NLCQ-1 and NLCQ-2, two new agents with activity against dormant Mycobacterium tuberculosis.NLCQ-1和NLCQ-2,两种对休眠结核分枝杆菌具有活性的新型药物。
Int J Antimicrob Agents. 2007 Jun;29(6):724-7. doi: 10.1016/j.ijantimicag.2007.01.015. Epub 2007 Mar 26.
6
Nicorandil elevates tissue cGMP levels in a nitric-oxide-independent manner.尼可地尔以不依赖一氧化氮的方式提高组织中环鸟苷酸(cGMP)水平。
J Pharmacol Sci. 2007 Jan;103(1):33-9. doi: 10.1254/jphs.fp0061003. Epub 2007 Jan 1.
7
Design, synthesis, and in vivo evaluation of oxamniquine methacrylate and acrylamide prodrugs.甲基丙烯酸奥沙尼喹和丙烯酰胺前药的设计、合成及体内评价
Bioorg Med Chem. 2007 Feb 1;15(3):1229-36. doi: 10.1016/j.bmc.2006.11.027. Epub 2006 Nov 16.
8
Use of thermolytic protective groups to prevent G-tetrad formation in CpG ODN type D: structural studies and immunomodulatory activity in primates.利用热解保护基团防止D型CpG ODN中G-四联体的形成:灵长类动物的结构研究和免疫调节活性
Nucleic Acids Res. 2006;34(22):6488-95. doi: 10.1093/nar/gkl867. Epub 2006 Nov 27.
9
Synthesis and antimalarial activity of new 1,12-bis(N,N'-acetamidinyl)dodecane derivatives.新型1,12 - 双(N,N'- 脒基)十二烷衍生物的合成及其抗疟活性
Bioorg Med Chem Lett. 2007 Feb 1;17(3):593-6. doi: 10.1016/j.bmcl.2006.11.013. Epub 2006 Nov 10.
10
Identification of novel inhibitors of UDP-Glc 4'-epimerase, a validated drug target for african sleeping sickness.鉴定新型UDP-葡萄糖4'-表异构酶抑制剂,该酶是非洲昏睡病的一个已验证的药物靶点。
Bioorg Med Chem Lett. 2006 Nov 15;16(22):5744-7. doi: 10.1016/j.bmcl.2006.08.091. Epub 2006 Sep 7.