Suppr超能文献

含聚乙烯醇主链的多核苷酸类似物的合成。

Synthesis of polynucleotide analogs containing a polyvinyl alcohol backbone.

作者信息

Yu Qiang, Carlsen Per

机构信息

Department of Chemistry, Norwegian University of Science and Technology-NTNU, N-7491 Trondheim, Norway.

出版信息

Molecules. 2008 Mar 26;13(3):701-15. doi: 10.3390/molecules13030701.

Abstract

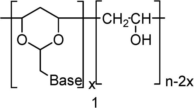
Water soluble homo-base polynucleotide analogues were synthesized in which polyvinyl alcohol and partially phosphonated polyvinyl alcohol constituted the backbones,onto which were grafted uracil or adenine via 1,3-dioxane spacers formed by acetal formation with the 1,3-diol moieties in PVA. The resulting adenine-PVA polynucleotide analogs exhibited hyperchromic effects, which was not the case for the corresponding uracil compounds. Mixtures of the adenine- and aracil PVA-phosphate polynucleotide analogs in solutions exhibited characteristic S-shaped UV-absorbance vs temperature and melting curves with melting points at approximately 40 degrees C.

摘要

合成了水溶性均碱基多核苷酸类似物,其中聚乙烯醇和部分膦酸化聚乙烯醇构成主链,通过与聚乙烯醇中的1,3 -二醇部分形成缩醛而形成的1,3 -二氧六环间隔基将尿嘧啶或腺嘌呤接枝到主链上。所得的腺嘌呤 - 聚乙烯醇多核苷酸类似物表现出增色效应,而相应的尿嘧啶化合物则不然。溶液中腺嘌呤和尿嘧啶聚乙烯醇 - 磷酸多核苷酸类似物的混合物表现出特征性的S形紫外吸光度与温度关系以及熔点约为40摄氏度的熔解曲线。

https://cdn.ncbi.nlm.nih.gov/pmc/blobs/656f/6245193/3fa7318b03a3/molecules-13-00701-g001.jpg

文献检索

告别复杂PubMed语法,用中文像聊天一样搜索,搜遍4000万医学文献。AI智能推荐,让科研检索更轻松。

立即免费搜索

文件翻译

保留排版,准确专业,支持PDF/Word/PPT等文件格式,支持 12+语言互译。

免费翻译文档

深度研究

AI帮你快速写综述,25分钟生成高质量综述,智能提取关键信息,辅助科研写作。

立即免费体验