Suppr超能文献

川崎病后晚期儿童的氧化应激:与颈动脉粥样硬化及僵硬度的关系。

Oxidative stress in children late after Kawasaki disease: relationship with carotid atherosclerosis and stiffness.

作者信息

Cheung Yiu-fai, O Karmin, Woo Connie W H, Armstrong Stephanie, Siow Yaw L, Chow Pak-cheong, Cheung Eddie W Y

机构信息

Division of Paediatric Cardiology, Department of Paediatrics and Adolescent Medicine, Grantham Hospital, The University of Hong Kong, Hong Kong, China.

出版信息

BMC Pediatr. 2008 May 8;8:20. doi: 10.1186/1471-2431-8-20.

Abstract

BACKGROUND

Persistent arterial dysfunction in patients with a history of Kawasaki disease (KD) and an integral role of oxidative stress in the development of cardiovascular disease are increasingly recognized. We sought to test the hypothesis that oxidative stress is increased in KD patients and related to carotid atherosclerotic changes and stiffness.

METHODS

We compared the serum levels of oxidative stress biomarkers, carotid intima-media thickness (IMT), and carotid stiffness index among KD patients with coronary aneurysms (n = 32), those without coronary complications (n = 19), and controls (n = 32).

RESULTS

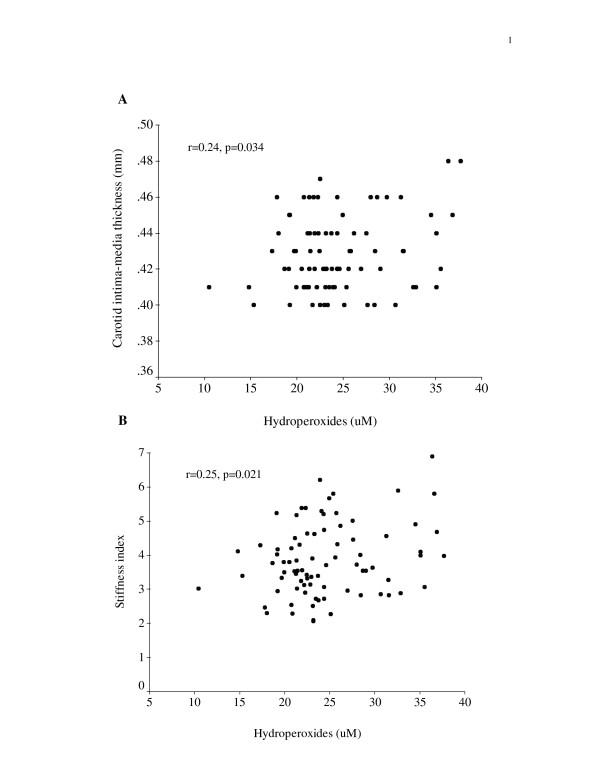
Compared with controls, patients with coronary aneurysms had significantly higher serum levels of malonaldehyde (2.62 +/- 0.12 microM vs 2.22 +/- 0.07 microM, p = 0.014) and hydroperoxides (26.50 +/- 1.13 microM vs 22.50 +/- 0.62 microM, p = 0.008). A linear trend of the magnitude of oxidative stress in relation to inflammatory damage was observed for malonaldehyde (p = 0.018) and hydroperoxides (p = 0.014) levels. Serum malonaldehyde and hydroperoxide levels correlated positively with carotid IMT (p < 0.001 and p = 0.034, respectively) and stiffness index (p = 0.001 and p = 0.021, respectively). Multiple linear regression analysis identified serum malonaldehyde level as a significant determinant of carotid IMT (beta = 0.31, p = 0.006) and stiffness (beta = 0.27, p = 0.008).

CONCLUSION

Our findings suggest oxidative stress is increased in KD patients with coronary aneurysms and is associated with carotid intima-media thickening and stiffening.

摘要

背景

川崎病(KD)患者持续存在动脉功能障碍,且氧化应激在心血管疾病发展中起重要作用,这一点日益受到认可。我们试图验证以下假设:KD患者氧化应激增加,并与颈动脉粥样硬化改变及僵硬有关。

方法

我们比较了患有冠状动脉瘤的KD患者(n = 32)、无冠状动脉并发症的KD患者(n = 19)和对照组(n = 32)的氧化应激生物标志物血清水平、颈动脉内膜中层厚度(IMT)及颈动脉僵硬指数。

结果

与对照组相比,患有冠状动脉瘤的患者血清丙二醛水平显著更高(2.62±0.12微摩尔/升对2.22±0.07微摩尔/升,p = 0.014),氢过氧化物水平也显著更高(26.50±1.13微摩尔/升对22.50±0.62微摩尔/升,p = 0.008)。观察到丙二醛(p = 0.018)和氢过氧化物(p = 0.014)水平与炎症损伤相关的氧化应激程度呈线性趋势。血清丙二醛和氢过氧化物水平与颈动脉IMT呈正相关(分别为p < 0.001和p = 0.034),与僵硬指数也呈正相关(分别为p = 0.001和p = 0.021)。多元线性回归分析确定血清丙二醛水平是颈动脉IMT(β = 0.31,p = 0.006)和僵硬程度(β = 0.27,p = 0.008)的重要决定因素。

结论

我们的研究结果表明,患有冠状动脉瘤的KD患者氧化应激增加,且与颈动脉内膜中层增厚和僵硬有关。

https://cdn.ncbi.nlm.nih.gov/pmc/blobs/784d/2396619/96f232a73600/1471-2431-8-20-1.jpg

文献AI研究员

20分钟写一篇综述,助力文献阅读效率提升50倍。

立即体验

用中文搜PubMed

大模型驱动的PubMed中文搜索引擎

马上搜索

文档翻译

学术文献翻译模型,支持多种主流文档格式。

立即体验