• 文献检索
  • 文档翻译
  • 深度研究
  • 学术资讯
  • Suppr Zotero 插件Zotero 插件
  • 邀请有礼
  • 套餐&价格
  • 历史记录
应用&插件
Suppr Zotero 插件Zotero 插件浏览器插件Mac 客户端Windows 客户端微信小程序
定价
高级版会员购买积分包购买API积分包
服务
文献检索文档翻译深度研究API 文档MCP 服务
关于我们
关于 Suppr公司介绍联系我们用户协议隐私条款
关注我们

Suppr 超能文献

核心技术专利:CN118964589B侵权必究
粤ICP备2023148730 号-1Suppr @ 2026

文献检索

告别复杂PubMed语法,用中文像聊天一样搜索,搜遍4000万医学文献。AI智能推荐,让科研检索更轻松。

立即免费搜索

文件翻译

保留排版,准确专业,支持PDF/Word/PPT等文件格式,支持 12+语言互译。

免费翻译文档

深度研究

AI帮你快速写综述,25分钟生成高质量综述,智能提取关键信息,辅助科研写作。

立即免费体验

响尾蛇蛇毒对淋巴管的影响:对中毒这一隐匿方面的深入了解。

Effects of Bothrops asper snake venom on lymphatic vessels: insights into a hidden aspect of envenomation.

机构信息

Departamento de Parasitología, Universidad de Costa Rica, San José, Costa Rica.

出版信息

PLoS Negl Trop Dis. 2008;2(10):e318. doi: 10.1371/journal.pntd.0000318. Epub 2008 Oct 15.

DOI:10.1371/journal.pntd.0000318
PMID:18923712
原文链接:https://pmc.ncbi.nlm.nih.gov/articles/PMC2563035/
Abstract

BACKGROUND

Envenomations by the snake Bothrops asper represent a serious medical problem in Central America and parts of South America. These envenomations concur with drastic local tissue pathology, including a prominent edema. Since lymph flow plays a role in the maintenance of tissue fluid balance, the effect of B. asper venom on collecting lymphatic vessels was studied.

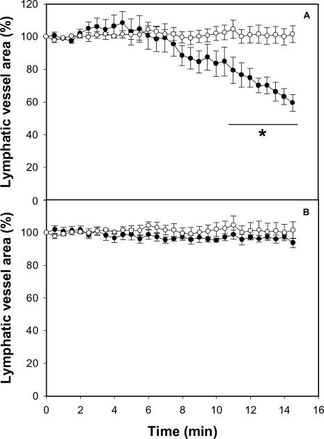
METHODOLOGY/PRINCIPAL FINDINGS: B. asper venom was applied to mouse mesentery, and the effects were studied using an intravital microscopy methodology coupled with an image analysis program. B. asper venom induced a dose-dependent contraction of collecting lymphatic vessels, resulting in a reduction of their lumen and in a halting of lymph flow. The effect was reproduced by a myotoxic phospholipase A(2) (PLA(2)) homologue isolated from this venom, but not by a hemorrhagic metalloproteinase or a coagulant thrombin-like serine proteinase. In agreement with this, treatment of the venom with fucoidan, a myotoxin inhibitor, abrogated the effect, whereas no inhibition was observed after incubation with the peptidomimetic metalloproteinase inhibitor Batimastat. Moreover, fucoidan significantly reduced venom-induced footpad edema. The myotoxic PLA(2) homologue, known to induce skeletal muscle necrosis, was able to induce cytotoxicity in smooth muscle cells in culture and to promote an increment in the permeability to propidium iodide in these cells.

CONCLUSIONS/SIGNIFICANCE: Our observations indicate that B. asper venom affects collecting lymphatic vessels through the action of myotoxic PLA(2)s on the smooth muscle of these vessels, inducing cell contraction and irreversible cell damage. This activity may play an important role in the pathogenesis of the pronounced local edema characteristic of viperid snakebite envenomation, as well as in the systemic biodistribution of the venom, thus representing a potential therapeutical target in these envenomations.

摘要

背景

在中美洲和南美洲部分地区,蛇 Bothrops asper 的咬伤是一个严重的医学问题。这些咬伤与剧烈的局部组织病理学有关,包括明显的水肿。由于淋巴流在维持组织液平衡中起作用,因此研究了 B. asper 毒液对收集淋巴管的作用。

方法/主要发现:将 B. asper 毒液应用于小鼠肠系膜,并使用活体显微镜方法结合图像分析程序研究其效果。B. asper 毒液诱导收集淋巴管的剂量依赖性收缩,导致其管腔缩小和淋巴流动停止。这种效应可以通过从这种毒液中分离出的一种肌毒性磷脂酶 A2(PLA2)同工酶重现,但不能通过一种出血性金属蛋白酶或一种凝血酶样丝氨酸蛋白酶重现。与此一致的是,用褐藻聚糖,一种肌毒素抑制剂,处理毒液可消除这种效应,而在用肽模拟金属蛋白酶抑制剂 Batimastat 孵育后则观察不到抑制作用。此外,褐藻聚糖可显著减少毒液引起的足垫水肿。已知引起骨骼肌坏死的肌毒性 PLA2 同工酶能够诱导培养中的平滑肌细胞产生细胞毒性,并促进这些细胞对碘化丙啶的通透性增加。

结论/意义:我们的观察结果表明,B. asper 毒液通过肌毒性 PLA2s 对这些血管的平滑肌作用来影响收集淋巴管,诱导细胞收缩和不可逆的细胞损伤。这种活性可能在响尾蛇咬伤毒液引起的明显局部水肿的发病机制中起重要作用,并且在毒液的全身分布中起作用,因此在这些毒液中毒中代表一个潜在的治疗靶点。

https://cdn.ncbi.nlm.nih.gov/pmc/blobs/2138/2563035/754561a0747d/pntd.0000318.g009.jpg
https://cdn.ncbi.nlm.nih.gov/pmc/blobs/2138/2563035/2ea23b2efca6/pntd.0000318.g001.jpg
https://cdn.ncbi.nlm.nih.gov/pmc/blobs/2138/2563035/bd1b44b0012c/pntd.0000318.g002.jpg
https://cdn.ncbi.nlm.nih.gov/pmc/blobs/2138/2563035/0a85ecae18d1/pntd.0000318.g003.jpg
https://cdn.ncbi.nlm.nih.gov/pmc/blobs/2138/2563035/bbfb78d1a097/pntd.0000318.g004.jpg
https://cdn.ncbi.nlm.nih.gov/pmc/blobs/2138/2563035/23c70064873f/pntd.0000318.g005.jpg
https://cdn.ncbi.nlm.nih.gov/pmc/blobs/2138/2563035/7e4e1de2e844/pntd.0000318.g006.jpg
https://cdn.ncbi.nlm.nih.gov/pmc/blobs/2138/2563035/fba08e0024bd/pntd.0000318.g007.jpg
https://cdn.ncbi.nlm.nih.gov/pmc/blobs/2138/2563035/4ba5cc35e01f/pntd.0000318.g008.jpg
https://cdn.ncbi.nlm.nih.gov/pmc/blobs/2138/2563035/754561a0747d/pntd.0000318.g009.jpg
https://cdn.ncbi.nlm.nih.gov/pmc/blobs/2138/2563035/2ea23b2efca6/pntd.0000318.g001.jpg
https://cdn.ncbi.nlm.nih.gov/pmc/blobs/2138/2563035/bd1b44b0012c/pntd.0000318.g002.jpg
https://cdn.ncbi.nlm.nih.gov/pmc/blobs/2138/2563035/0a85ecae18d1/pntd.0000318.g003.jpg
https://cdn.ncbi.nlm.nih.gov/pmc/blobs/2138/2563035/bbfb78d1a097/pntd.0000318.g004.jpg
https://cdn.ncbi.nlm.nih.gov/pmc/blobs/2138/2563035/23c70064873f/pntd.0000318.g005.jpg
https://cdn.ncbi.nlm.nih.gov/pmc/blobs/2138/2563035/7e4e1de2e844/pntd.0000318.g006.jpg
https://cdn.ncbi.nlm.nih.gov/pmc/blobs/2138/2563035/fba08e0024bd/pntd.0000318.g007.jpg
https://cdn.ncbi.nlm.nih.gov/pmc/blobs/2138/2563035/4ba5cc35e01f/pntd.0000318.g008.jpg
https://cdn.ncbi.nlm.nih.gov/pmc/blobs/2138/2563035/754561a0747d/pntd.0000318.g009.jpg

相似文献

1
Effects of Bothrops asper snake venom on lymphatic vessels: insights into a hidden aspect of envenomation.响尾蛇蛇毒对淋巴管的影响:对中毒这一隐匿方面的深入了解。
PLoS Negl Trop Dis. 2008;2(10):e318. doi: 10.1371/journal.pntd.0000318. Epub 2008 Oct 15.
2
Effect of the metalloproteinase inhibitor batimastat in the systemic toxicity induced by Bothrops asper snake venom: understanding the role of metalloproteinases in envenomation.金属蛋白酶抑制剂batimastat对矛头蝮蛇毒所致全身毒性的影响:了解金属蛋白酶在蛇咬伤中毒中的作用
Toxicon. 2004 Mar 15;43(4):417-24. doi: 10.1016/j.toxicon.2004.01.016.
3
Increments in cytokines and matrix metalloproteinases in skeletal muscle after injection of tissue-damaging toxins from the venom of the snake Bothrops asper.注射矛头蝮蛇毒液中具有组织损伤性的毒素后,骨骼肌中细胞因子和基质金属蛋白酶的增加。
Mediators Inflamm. 2002 Apr;11(2):121-8. doi: 10.1080/09629350220131980.
4
Experimental pathology of local tissue damage induced by Bothrops asper snake venom.矛头蝮蛇毒诱导的局部组织损伤的实验病理学
Toxicon. 2009 Dec 1;54(7):958-75. doi: 10.1016/j.toxicon.2009.01.038. Epub 2009 Mar 18.
5
Inhibition of local hemorrhage and dermonecrosis induced by Bothrops asper snake venom: effectiveness of early in situ administration of the peptidomimetic metalloproteinase inhibitor batimastat and the chelating agent CaNa2EDTA.抑制矛头蝮蛇毒诱导的局部出血和皮肤坏死:早期原位给予拟肽类金属蛋白酶抑制剂batimastat和螯合剂CaNa2EDTA的有效性
Am J Trop Med Hyg. 2000 Nov-Dec;63(5-6):313-9.
6
Neutrophils do not contribute to local tissue damage, but play a key role in skeletal muscle regeneration, in mice injected with Bothrops asper snake venom.在注射了矛头蝮蛇毒的小鼠中,中性粒细胞不会导致局部组织损伤,但在骨骼肌再生中起关键作用。
Muscle Nerve. 2003 Oct;28(4):449-59. doi: 10.1002/mus.10453.
7
Experimental pathophysiology of systemic alterations induced by Bothrops asper snake venom.矛头蝮蛇毒诱导的全身改变的实验病理生理学
Toxicon. 2009 Dec 1;54(7):976-87. doi: 10.1016/j.toxicon.2009.01.039. Epub 2009 Mar 18.
8
Inflammation induced by Bothrops asper venom.矛头蝮蛇毒诱导的炎症。
Toxicon. 2009 Dec 1;54(7):988-97. doi: 10.1016/j.toxicon.2009.05.026.
9
Cytotoxicity induced in myotubes by a Lys49 phospholipase A2 homologue from the venom of the snake Bothrops asper: evidence of rapid plasma membrane damage and a dual role for extracellular calcium.来自矛头蝮蛇毒液的Lys49磷脂酶A2同源物在肌管中诱导的细胞毒性:快速质膜损伤的证据以及细胞外钙的双重作用。
Toxicol In Vitro. 2007 Dec;21(8):1382-9. doi: 10.1016/j.tiv.2007.04.010. Epub 2007 Apr 29.
10
Inhibition of enzymatic activities of Bothrops asper snake venom and docking analysis of compounds from plants used in Central America to treat snakebite envenoming.抑制中美洲用于治疗蛇咬伤中毒的植物化合物与 Bothrops asper 蛇毒的酶活性和对接分析。
J Ethnopharmacol. 2022 Jan 30;283:114710. doi: 10.1016/j.jep.2021.114710. Epub 2021 Oct 6.

引用本文的文献

1
Pharmacokinetics of Snake Antivenom Following Intravenous and Intramuscular Administration in Envenomed Large Animal Model.蛇毒抗毒素在中毒大型动物模型中静脉注射和肌肉注射后的药代动力学
Pharmaceutics. 2025 Feb 7;17(2):212. doi: 10.3390/pharmaceutics17020212.
2
Proteomic diversity of Russell's viper venom: exploring PLA2 isoforms, pharmacological effects, and inhibitory approaches.响尾蛇 venom 的蛋白质组多样性:探索 PLA2 同工酶、药理学作用和抑制方法。
Arch Toxicol. 2024 Nov;98(11):3569-3584. doi: 10.1007/s00204-024-03849-5. Epub 2024 Aug 24.
3
Antivenom treatment for snakebite envenoming.

本文引用的文献

1
Snake venomics of the lancehead pitviper Bothrops asper: geographic, individual, and ontogenetic variations.矛头蝮蛇(Bothrops asper)的蛇毒蛋白质组学:地理、个体及个体发育变异
J Proteome Res. 2008 Aug;7(8):3556-71. doi: 10.1021/pr800332p. Epub 2008 Jun 17.
2
Ability of fucoidan to prevent muscle necrosis induced by snake venom myotoxins: comparison of high- and low-molecular weight fractions.
Toxicon. 2008 Mar 1;51(3):373-80. doi: 10.1016/j.toxicon.2007.10.008. Epub 2007 Oct 23.
3
Lymphatic vasculature: a molecular perspective.淋巴脉管系统:分子视角
蛇咬伤中毒的抗蛇毒血清治疗
Nat Rev Dis Primers. 2024 Aug 22;10(1):59. doi: 10.1038/s41572-024-00543-9.
4
Investigating Snake-Venom-Induced Dermonecrosis and Inflammation Using an Ex Vivo Human Skin Model.采用离体人皮肤模型研究蛇毒诱导的皮肤坏死和炎症。
Toxins (Basel). 2024 Jun 17;16(6):276. doi: 10.3390/toxins16060276.
5
Tissue damaging toxins in snake venoms: mechanisms of action, pathophysiology and treatment strategies.蛇毒中的组织损伤毒素:作用机制、病理生理学和治疗策略。
Commun Biol. 2024 Mar 22;7(1):358. doi: 10.1038/s42003-024-06019-6.
6
Novel Toxicodynamic Model of Subcutaneous Envenomation to Characterize Snake Venom Coagulopathies and Assess the Efficacy of Site-Directed Inorganic Antivenoms.新型皮下注射蛇毒中毒动力学模型用于表征蛇毒所致凝血障碍,并评估靶向无机抗蛇毒血清的疗效。
Int J Mol Sci. 2023 Sep 11;24(18):13939. doi: 10.3390/ijms241813939.
7
Varespladib in the Treatment of Snakebite Envenoming: Development History and Preclinical Evidence Supporting Advancement to Clinical Trials in Patients Bitten by Venomous Snakes.蝰蛇抗栓酶在蛇伤治疗中的应用:临床前研究证据支持其用于治疗毒蛇咬伤患者的临床试验。
Toxins (Basel). 2022 Nov 11;14(11):783. doi: 10.3390/toxins14110783.
8
Neutralising effects of small molecule toxin inhibitors on nanofractionated coagulopathic Crotalinae snake venoms.小分子毒素抑制剂对纳米分级凝血病性响尾蛇科蛇毒的中和作用。
Acta Pharm Sin B. 2020 Oct;10(10):1835-1845. doi: 10.1016/j.apsb.2020.09.005. Epub 2020 Sep 15.
9
Neotropical Rattlesnake () Venom Pharmacokinetics in Lymph and Blood Using an Ovine Model.利用绵羊模型研究新热带响尾蛇毒液在淋巴和血液中的药代动力学。
Toxins (Basel). 2020 Jul 17;12(7):455. doi: 10.3390/toxins12070455.
10
Inflammation Induced by Platelet-Activating Viperid Snake Venoms: Perspectives on Thromboinflammation.血小板激活的蝰蛇蛇毒引起的炎症:血栓炎症的观点。
Front Immunol. 2019 Sep 4;10:2082. doi: 10.3389/fimmu.2019.02082. eCollection 2019.
Bioessays. 2007 Dec;29(12):1192-202. doi: 10.1002/bies.20672.
4
Isolation and characterization of a serine proteinase with thrombin-like activity from the venom of the snake Bothrops asper.从矛头蝮蛇毒液中分离并鉴定一种具有凝血酶样活性的丝氨酸蛋白酶。
Braz J Med Biol Res. 2008 Jan;41(1):12-7. doi: 10.1590/s0100-879x2006005000189. Epub 2007 Dec 17.
5
Cytotoxicity induced in myotubes by a Lys49 phospholipase A2 homologue from the venom of the snake Bothrops asper: evidence of rapid plasma membrane damage and a dual role for extracellular calcium.来自矛头蝮蛇毒液的Lys49磷脂酶A2同源物在肌管中诱导的细胞毒性:快速质膜损伤的证据以及细胞外钙的双重作用。
Toxicol In Vitro. 2007 Dec;21(8):1382-9. doi: 10.1016/j.tiv.2007.04.010. Epub 2007 Apr 29.
6
Novel insights into capillary vessel basement membrane damage by snake venom hemorrhagic metalloproteinases: a biochemical and immunohistochemical study.蛇毒出血性金属蛋白酶对毛细血管基底膜损伤的新见解:一项生化与免疫组织化学研究
Arch Biochem Biophys. 2006 Nov 15;455(2):144-53. doi: 10.1016/j.abb.2006.09.018. Epub 2006 Oct 6.
7
New insights into the molecular control of the lymphatic vascular system and its role in disease.对淋巴血管系统分子调控及其在疾病中作用的新见解。
J Invest Dermatol. 2006 Oct;126(10):2167-77. doi: 10.1038/sj.jid.5700464.
8
Confronting the neglected problem of snake bite envenoming: the need for a global partnership.应对被忽视的蛇咬伤中毒问题:建立全球伙伴关系的必要性。
PLoS Med. 2006 Jun;3(6):e150. doi: 10.1371/journal.pmed.0030150.
9
Blood flow is required for rapid endothelial cell damage induced by a snake venom hemorrhagic metalloproteinase.蛇毒出血性金属蛋白酶诱导的快速内皮细胞损伤需要血流。
Microvasc Res. 2006 Jan;71(1):55-63. doi: 10.1016/j.mvr.2005.10.007. Epub 2005 Dec 9.
10
Hemorrhage induced by snake venom metalloproteinases: biochemical and biophysical mechanisms involved in microvessel damage.蛇毒金属蛋白酶诱导的出血:微血管损伤所涉及的生化和生物物理机制
Toxicon. 2005 Jun 15;45(8):997-1011. doi: 10.1016/j.toxicon.2005.02.029. Epub 2005 Apr 18.