• 文献检索
  • 文档翻译
  • 深度研究
  • 学术资讯
  • Suppr Zotero 插件Zotero 插件
  • 邀请有礼
  • 套餐&价格
  • 历史记录
应用&插件
Suppr Zotero 插件Zotero 插件浏览器插件Mac 客户端Windows 客户端微信小程序
定价
高级版会员购买积分包购买API积分包
服务
文献检索文档翻译深度研究API 文档MCP 服务
关于我们
关于 Suppr公司介绍联系我们用户协议隐私条款
关注我们

Suppr 超能文献

核心技术专利:CN118964589B侵权必究
粤ICP备2023148730 号-1Suppr @ 2026

文献检索

告别复杂PubMed语法,用中文像聊天一样搜索,搜遍4000万医学文献。AI智能推荐,让科研检索更轻松。

立即免费搜索

文件翻译

保留排版,准确专业,支持PDF/Word/PPT等文件格式,支持 12+语言互译。

免费翻译文档

深度研究

AI帮你快速写综述,25分钟生成高质量综述,智能提取关键信息,辅助科研写作。

立即免费体验

单调和近单调生化网络

Monotone and near-monotone biochemical networks.

作者信息

Sontag Eduardo D

机构信息

Rutgers University, New Brunswick, NJ, USA,

出版信息

Syst Synth Biol. 2007 Apr;1(2):59-87. doi: 10.1007/s11693-007-9005-9. Epub 2007 Jul 4.

DOI:10.1007/s11693-007-9005-9
PMID:19003437
原文链接:https://pmc.ncbi.nlm.nih.gov/articles/PMC2533521/
Abstract

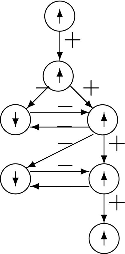
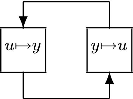
Monotone subsystems have appealing properties as components of larger networks, since they exhibit robust dynamical stability and predictability of responses to perturbations. This suggests that natural biological systems may have evolved to be, if not monotone, at least close to monotone in the sense of being decomposable into a "small" number of monotone components, In addition, recent research has shown that much insight can be attained from decomposing networks into monotone subsystems and the analysis of the resulting interconnections using tools from control theory. This paper provides an expository introduction to monotone systems and their interconnections, describing the basic concepts and some of the main mathematical results in a largely informal fashion.

摘要

单调子系统作为更大网络的组件具有吸引人的特性,因为它们表现出强大的动态稳定性以及对扰动响应的可预测性。这表明自然生物系统可能已经进化为,即便不是单调的,至少在可分解为“少量”单调组件的意义上接近单调。此外,最近的研究表明,通过将网络分解为单调子系统,并使用控制理论工具分析由此产生的互连,可以获得很多见解。本文对单调系统及其互连进行了说明性介绍,以一种基本非正式的方式描述了基本概念和一些主要的数学结果。

https://cdn.ncbi.nlm.nih.gov/pmc/blobs/85a8/2533521/2eb95db05446/11693_2007_9005_Fig26_HTML.jpg
https://cdn.ncbi.nlm.nih.gov/pmc/blobs/85a8/2533521/dd426b5185d5/11693_2007_9005_Fig1_HTML.jpg
https://cdn.ncbi.nlm.nih.gov/pmc/blobs/85a8/2533521/75f3c0e7e6e7/11693_2007_9005_Fig2_HTML.jpg
https://cdn.ncbi.nlm.nih.gov/pmc/blobs/85a8/2533521/022ec446141f/11693_2007_9005_Fig3_HTML.jpg
https://cdn.ncbi.nlm.nih.gov/pmc/blobs/85a8/2533521/a93cef56eb29/11693_2007_9005_Fig4_HTML.jpg
https://cdn.ncbi.nlm.nih.gov/pmc/blobs/85a8/2533521/bcc5418f21b8/11693_2007_9005_Fig5_HTML.jpg
https://cdn.ncbi.nlm.nih.gov/pmc/blobs/85a8/2533521/d7f52c5c9b16/11693_2007_9005_Fig6_HTML.jpg
https://cdn.ncbi.nlm.nih.gov/pmc/blobs/85a8/2533521/5c66782ceadf/11693_2007_9005_Fig7_HTML.jpg
https://cdn.ncbi.nlm.nih.gov/pmc/blobs/85a8/2533521/ea11da8f1e78/11693_2007_9005_Fig8_HTML.jpg
https://cdn.ncbi.nlm.nih.gov/pmc/blobs/85a8/2533521/cc34c6c6e7bc/11693_2007_9005_Fig9_HTML.jpg
https://cdn.ncbi.nlm.nih.gov/pmc/blobs/85a8/2533521/5b3b795faec9/11693_2007_9005_Fig10_HTML.jpg
https://cdn.ncbi.nlm.nih.gov/pmc/blobs/85a8/2533521/ba697eb68486/11693_2007_9005_Fig11_HTML.jpg
https://cdn.ncbi.nlm.nih.gov/pmc/blobs/85a8/2533521/7b9b064d58cb/11693_2007_9005_Fig12_HTML.jpg
https://cdn.ncbi.nlm.nih.gov/pmc/blobs/85a8/2533521/22f24b19cd34/11693_2007_9005_Fig13_HTML.jpg
https://cdn.ncbi.nlm.nih.gov/pmc/blobs/85a8/2533521/c17bf0f78375/11693_2007_9005_Fig14_HTML.jpg
https://cdn.ncbi.nlm.nih.gov/pmc/blobs/85a8/2533521/8f044a7da260/11693_2007_9005_Fig15_HTML.jpg
https://cdn.ncbi.nlm.nih.gov/pmc/blobs/85a8/2533521/1f440db2a5ca/11693_2007_9005_Fig16_HTML.jpg
https://cdn.ncbi.nlm.nih.gov/pmc/blobs/85a8/2533521/a310e90093cd/11693_2007_9005_Fig17_HTML.jpg
https://cdn.ncbi.nlm.nih.gov/pmc/blobs/85a8/2533521/9093278e49a2/11693_2007_9005_Fig18_HTML.jpg
https://cdn.ncbi.nlm.nih.gov/pmc/blobs/85a8/2533521/abf0c0c0b66b/11693_2007_9005_Fig19_HTML.jpg
https://cdn.ncbi.nlm.nih.gov/pmc/blobs/85a8/2533521/53ccfd66a575/11693_2007_9005_Fig20_HTML.jpg
https://cdn.ncbi.nlm.nih.gov/pmc/blobs/85a8/2533521/9753e60c67e3/11693_2007_9005_Fig21_HTML.jpg
https://cdn.ncbi.nlm.nih.gov/pmc/blobs/85a8/2533521/00f9c518e50e/11693_2007_9005_Fig22_HTML.jpg
https://cdn.ncbi.nlm.nih.gov/pmc/blobs/85a8/2533521/61f17ce75bbb/11693_2007_9005_Fig23_HTML.jpg
https://cdn.ncbi.nlm.nih.gov/pmc/blobs/85a8/2533521/651672a45029/11693_2007_9005_Fig24_HTML.jpg
https://cdn.ncbi.nlm.nih.gov/pmc/blobs/85a8/2533521/7f30e04cb841/11693_2007_9005_Fig25_HTML.jpg
https://cdn.ncbi.nlm.nih.gov/pmc/blobs/85a8/2533521/2eb95db05446/11693_2007_9005_Fig26_HTML.jpg
https://cdn.ncbi.nlm.nih.gov/pmc/blobs/85a8/2533521/dd426b5185d5/11693_2007_9005_Fig1_HTML.jpg
https://cdn.ncbi.nlm.nih.gov/pmc/blobs/85a8/2533521/75f3c0e7e6e7/11693_2007_9005_Fig2_HTML.jpg
https://cdn.ncbi.nlm.nih.gov/pmc/blobs/85a8/2533521/022ec446141f/11693_2007_9005_Fig3_HTML.jpg
https://cdn.ncbi.nlm.nih.gov/pmc/blobs/85a8/2533521/a93cef56eb29/11693_2007_9005_Fig4_HTML.jpg
https://cdn.ncbi.nlm.nih.gov/pmc/blobs/85a8/2533521/bcc5418f21b8/11693_2007_9005_Fig5_HTML.jpg
https://cdn.ncbi.nlm.nih.gov/pmc/blobs/85a8/2533521/d7f52c5c9b16/11693_2007_9005_Fig6_HTML.jpg
https://cdn.ncbi.nlm.nih.gov/pmc/blobs/85a8/2533521/5c66782ceadf/11693_2007_9005_Fig7_HTML.jpg
https://cdn.ncbi.nlm.nih.gov/pmc/blobs/85a8/2533521/ea11da8f1e78/11693_2007_9005_Fig8_HTML.jpg
https://cdn.ncbi.nlm.nih.gov/pmc/blobs/85a8/2533521/cc34c6c6e7bc/11693_2007_9005_Fig9_HTML.jpg
https://cdn.ncbi.nlm.nih.gov/pmc/blobs/85a8/2533521/5b3b795faec9/11693_2007_9005_Fig10_HTML.jpg
https://cdn.ncbi.nlm.nih.gov/pmc/blobs/85a8/2533521/ba697eb68486/11693_2007_9005_Fig11_HTML.jpg
https://cdn.ncbi.nlm.nih.gov/pmc/blobs/85a8/2533521/7b9b064d58cb/11693_2007_9005_Fig12_HTML.jpg
https://cdn.ncbi.nlm.nih.gov/pmc/blobs/85a8/2533521/22f24b19cd34/11693_2007_9005_Fig13_HTML.jpg
https://cdn.ncbi.nlm.nih.gov/pmc/blobs/85a8/2533521/c17bf0f78375/11693_2007_9005_Fig14_HTML.jpg
https://cdn.ncbi.nlm.nih.gov/pmc/blobs/85a8/2533521/8f044a7da260/11693_2007_9005_Fig15_HTML.jpg
https://cdn.ncbi.nlm.nih.gov/pmc/blobs/85a8/2533521/1f440db2a5ca/11693_2007_9005_Fig16_HTML.jpg
https://cdn.ncbi.nlm.nih.gov/pmc/blobs/85a8/2533521/a310e90093cd/11693_2007_9005_Fig17_HTML.jpg
https://cdn.ncbi.nlm.nih.gov/pmc/blobs/85a8/2533521/9093278e49a2/11693_2007_9005_Fig18_HTML.jpg
https://cdn.ncbi.nlm.nih.gov/pmc/blobs/85a8/2533521/abf0c0c0b66b/11693_2007_9005_Fig19_HTML.jpg
https://cdn.ncbi.nlm.nih.gov/pmc/blobs/85a8/2533521/53ccfd66a575/11693_2007_9005_Fig20_HTML.jpg
https://cdn.ncbi.nlm.nih.gov/pmc/blobs/85a8/2533521/9753e60c67e3/11693_2007_9005_Fig21_HTML.jpg
https://cdn.ncbi.nlm.nih.gov/pmc/blobs/85a8/2533521/00f9c518e50e/11693_2007_9005_Fig22_HTML.jpg
https://cdn.ncbi.nlm.nih.gov/pmc/blobs/85a8/2533521/61f17ce75bbb/11693_2007_9005_Fig23_HTML.jpg
https://cdn.ncbi.nlm.nih.gov/pmc/blobs/85a8/2533521/651672a45029/11693_2007_9005_Fig24_HTML.jpg
https://cdn.ncbi.nlm.nih.gov/pmc/blobs/85a8/2533521/7f30e04cb841/11693_2007_9005_Fig25_HTML.jpg
https://cdn.ncbi.nlm.nih.gov/pmc/blobs/85a8/2533521/2eb95db05446/11693_2007_9005_Fig26_HTML.jpg

相似文献

1
Monotone and near-monotone biochemical networks.单调和近单调生化网络
Syst Synth Biol. 2007 Apr;1(2):59-87. doi: 10.1007/s11693-007-9005-9. Epub 2007 Jul 4.
2
Proximity of intracellular regulatory networks to monotone systems.细胞内调节网络与单调系统的接近程度。
IET Syst Biol. 2008 May;2(3):103-12. doi: 10.1049/iet-syb:20070036.
3
Algorithmic and complexity results for decompositions of biological networks into monotone subsystems.将生物网络分解为单调子系统的算法及复杂度结果
Biosystems. 2007 Jul-Aug;90(1):161-78. doi: 10.1016/j.biosystems.2006.08.001. Epub 2006 Aug 12.
4
Monotone bifurcation graphs.单调分岔图。
J Biol Dyn. 2008 Apr;2(2):121-39. doi: 10.1080/17513750701793873.
5
Decompositions of large-scale biological systems based on dynamical properties.基于动力学特性的大规模生物系统的分解。
Bioinformatics. 2012 Jan 1;28(1):76-83. doi: 10.1093/bioinformatics/btr620. Epub 2011 Nov 9.
6
Monotone and partially monotone neural networks.单调和部分单调神经网络。
IEEE Trans Neural Netw. 2010 Jun;21(6):906-17. doi: 10.1109/TNN.2010.2044803. Epub 2010 Apr 5.
7
Size and Depth of Monotone Neural Networks: Interpolation and Approximation.单调神经网络的规模与深度:插值与逼近
IEEE Trans Neural Netw Learn Syst. 2025 Apr;36(4):6314-6325. doi: 10.1109/TNNLS.2024.3387878. Epub 2025 Apr 4.
8
Quorum-Sensing Synchronization of Synthetic Toggle Switches: A Design Based on Monotone Dynamical Systems Theory.合成拨动开关的群体感应同步:基于单调动力系统理论的设计
PLoS Comput Biol. 2016 Apr 29;12(4):e1004881. doi: 10.1371/journal.pcbi.1004881. eCollection 2016 Apr.
9
Pattern Formation over Multigraphs.多重图上的模式形成
IEEE Trans Netw Sci Eng. 2018 Jan-Mar;5(1):55-64. doi: 10.1109/TNSE.2017.2730261. Epub 2017 Jul 21.
10
Reprogramming multistable monotone systems with application to cell fate control.用于细胞命运控制的多稳态单调系统重编程
IEEE Trans Netw Sci Eng. 2020 Oct-Dec;7(4):2940-2951. doi: 10.1109/tnse.2020.3008135. Epub 2020 Jul 9.

引用本文的文献

1
Cumulative dose responses for adapting biological systems.生物系统适应性的累积剂量反应。
J R Soc Interface. 2025 Aug;22(229):20240877. doi: 10.1098/rsif.2024.0877. Epub 2025 Aug 13.
2
Regulation strategies for two-output biomolecular networks.双输出生物分子网络的调控策略。
J R Soc Interface. 2023 Aug;20(205):20230174. doi: 10.1098/rsif.2023.0174. Epub 2023 Aug 2.
3
An integrated modelling approach for targeted degradation: insights on optimization, data requirements and PKPD predictions from semi- or fully-mechanistic models and exact steady state solutions.

本文引用的文献

1
On predator-prey systems and small-gain theorems.论捕食者-猎物系统和小增益定理。
Math Biosci Eng. 2005 Jan;2(1):25-42. doi: 10.3934/mbe.2005.2.25.
2
Oscillations in multi-stable monotone systems with slowly varying feedback.具有缓慢变化反馈的多稳态单调系统中的振荡
J Differ Equ. 2007 Aug 15;239(2):273-295. doi: 10.1016/j.jde.2007.05.029.
3
A Petri net approach to the study of persistence in chemical reaction networks.一种用于研究化学反应网络中持久性的Petri网方法。
一种靶向降解的综合建模方法:从半机理或全机理模型和精确稳态解中获得关于优化、数据需求和 PKPD 预测的见解。
J Pharmacokinet Pharmacodyn. 2023 Oct;50(5):327-349. doi: 10.1007/s10928-023-09857-9. Epub 2023 Apr 29.
4
Minimal frustration underlies the usefulness of incomplete regulatory network models in biology.不完全监管网络模型在生物学中的有用性源于最小的挫折。
Proc Natl Acad Sci U S A. 2023 Jan 3;120(1):e2216109120. doi: 10.1073/pnas.2216109120. Epub 2022 Dec 29.
5
Network topology metrics explaining enrichment of hybrid epithelial/mesenchymal phenotypes in metastasis.网络拓扑指标解释转移中混合上皮/间充质表型的富集。
PLoS Comput Biol. 2022 Nov 8;18(11):e1010687. doi: 10.1371/journal.pcbi.1010687. eCollection 2022 Nov.
6
Leveraging network structure in nonlinear control.利用网络结构进行非线性控制。
NPJ Syst Biol Appl. 2022 Oct 1;8(1):36. doi: 10.1038/s41540-022-00249-2.
7
A deeper understanding of system interactions can explain contradictory field results on pesticide impact on honey bees.更深入地了解系统相互作用可以解释有关农药对蜜蜂影响的矛盾田间结果。
Nat Commun. 2022 Sep 29;13(1):5720. doi: 10.1038/s41467-022-33405-7.
8
Multi-omics protein-coding units as massively parallel Bayesian networks: Empirical validation of causality structure.作为大规模并行贝叶斯网络的多组学蛋白质编码单元:因果关系结构的实证验证
iScience. 2022 Mar 11;25(4):104048. doi: 10.1016/j.isci.2022.104048. eCollection 2022 Apr 15.
9
The structure balance of gene-gene networks beyond pairwise interactions.基因-基因网络的结构平衡超出了两两相互作用的范围。
PLoS One. 2022 Mar 30;17(3):e0258596. doi: 10.1371/journal.pone.0258596. eCollection 2022.
10
Predicting plant growth response under fluctuating temperature by carbon balance modelling.运用碳平衡模型预测温度波动下植物的生长响应。
Commun Biol. 2022 Feb 24;5(1):164. doi: 10.1038/s42003-022-03100-w.
Math Biosci. 2007 Dec;210(2):598-618. doi: 10.1016/j.mbs.2007.07.003. Epub 2007 Aug 1.
4
Algorithmic and complexity results for decompositions of biological networks into monotone subsystems.将生物网络分解为单调子系统的算法及复杂度结果
Biosystems. 2007 Jul-Aug;90(1):161-78. doi: 10.1016/j.biosystems.2006.08.001. Epub 2006 Aug 12.
5
Some new directions in control theory inspired by systems biology.受系统生物学启发的控制理论中的一些新方向。
Syst Biol (Stevenage). 2004 Jun;1(1):9-18. doi: 10.1049/sb:20045006.
6
ENZYME INDUCTION AS AN ALL-OR-NONE PHENOMENON.酶诱导作为一种全或无现象。
Proc Natl Acad Sci U S A. 1957 Jul 15;43(7):553-66. doi: 10.1073/pnas.43.7.553.
7
Robustness and fragility of Boolean models for genetic regulatory networks.基因调控网络布尔模型的稳健性与脆弱性
J Theor Biol. 2005 Aug 7;235(3):431-49. doi: 10.1016/j.jtbi.2005.01.023. Epub 2005 Mar 19.
8
On the stability of a model of testosterone dynamics.关于睾酮动力学模型的稳定性
J Math Biol. 2004 Dec;49(6):627-34. doi: 10.1007/s00285-004-0291-5. Epub 2004 Oct 7.
9
Steady-states of receptor-ligand dynamics: a theoretical framework.受体-配体动力学的稳态:一个理论框架。
J Theor Biol. 2004 Apr 7;227(3):413-28. doi: 10.1016/j.jtbi.2003.11.019.
10
Detection of multistability, bifurcations, and hysteresis in a large class of biological positive-feedback systems.在一大类生物正反馈系统中检测多重稳定性、分岔和滞后现象。
Proc Natl Acad Sci U S A. 2004 Feb 17;101(7):1822-7. doi: 10.1073/pnas.0308265100. Epub 2004 Feb 6.