He Guang Xue, Zhao Yan Lin, Jiang Guang Lu, Liu Yu Hong, Xia Hui, Wang Sheng Fen, Wang Li Xia, Borgdorff Martien W, van der Werf Marieke J, van den Hof Susan
National Center for TB control and prevention, China Center for Disease Control and Prevention (CDC), Beijing, PR China.
BMC Infect Dis. 2008 Dec 11;8:166. doi: 10.1186/1471-2334-8-166.
The emergence of drug-resistant tuberculosis (TB) hampers TB control. Ten provinces in China performed drug resistance surveys among tuberculosis (TB) patients in 1996-2004 to assess levels of drug resistance.
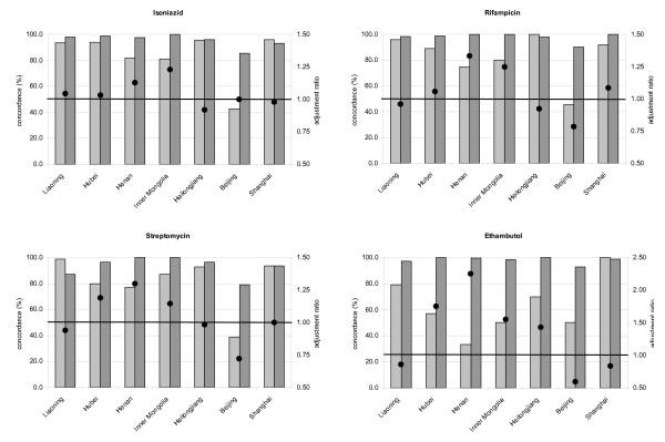
Provincial drug resistance surveys included all isolates from newly diagnosed, smear-positive TB patients. Drug susceptibility testing (DST) against isoniazid, rifampicin, streptomycin and ethambutol was carried out in the provincial laboratories. For purposes of quality assurance, a random sample (11.6%) was re-tested by the national reference laboratory (NRL).
Of 14,059 patients tested 11,052 (79%) were new TB cases. The weighted mean prevalence of multi-drug resistant tuberculosis (MDR-TB) among all cases was 9.3% (range 2.2%-10.4%); 5.4% (range 2.1% - 10.4%) among new cases and 25.6% (range 11.7%-36.9%) among previously treated cases. Adjusting the drug resistance proportions using the re-testing results did not change the estimated national mean prevalence significantly. However, in some individual provinces the estimated resistance proportions were greatly influenced, especially among re-treatment patients.
MDR-TB levels varied greatly between provinces in China, but on average were high compared to the global estimated average of 4.8%. This study shows the importance of quality-assured laboratory performance. Programmatic management of drug-resistant TB, including high quality DST for patients at high risk of resistance and treatment with second-line drugs, should become the standard, especially in high MDR-TB settings.
耐多药结核病的出现阻碍了结核病的控制。1996年至2004年期间,中国十个省份对结核病患者进行了耐药性调查,以评估耐药水平。
省级耐药性调查包括所有新诊断的涂片阳性结核病患者的分离株。在省级实验室对异烟肼、利福平、链霉素和乙胺丁醇进行药敏试验。为保证质量,国家参考实验室对随机抽取的样本(11.6%)进行了重新检测。
在14059例接受检测的患者中,11052例(79%)为新发结核病病例。所有病例中耐多药结核病(MDR-TB)的加权平均患病率为9.3%(范围为2.2%-10.4%);新发病例中为5.4%(范围为2.1%-10.4%),既往治疗病例中为25.6%(范围为11.7%-36.9%)。使用重新检测结果调整耐药比例并未显著改变全国平均患病率的估计值。然而,在一些个别省份,耐药比例的估计受到很大影响,尤其是在复治患者中。
中国各省之间耐多药结核病水平差异很大,但与全球估计的4.8%的平均水平相比,总体较高。本研究表明了保证实验室检测质量的重要性。耐药结核病的规划管理,包括对耐药高危患者进行高质量的药敏试验以及使用二线药物治疗,应成为标准做法,尤其是在耐多药结核病高发地区。