• 文献检索
  • 文档翻译
  • 深度研究
  • 学术资讯
  • Suppr Zotero 插件Zotero 插件
  • 邀请有礼
  • 套餐&价格
  • 历史记录
应用&插件
Suppr Zotero 插件Zotero 插件浏览器插件Mac 客户端Windows 客户端微信小程序
定价
高级版会员购买积分包购买API积分包
服务
文献检索文档翻译深度研究API 文档MCP 服务
关于我们
关于 Suppr公司介绍联系我们用户协议隐私条款
关注我们

Suppr 超能文献

核心技术专利:CN118964589B侵权必究
粤ICP备2023148730 号-1Suppr @ 2026

文献检索

告别复杂PubMed语法,用中文像聊天一样搜索,搜遍4000万医学文献。AI智能推荐,让科研检索更轻松。

立即免费搜索

文件翻译

保留排版,准确专业,支持PDF/Word/PPT等文件格式,支持 12+语言互译。

免费翻译文档

深度研究

AI帮你快速写综述,25分钟生成高质量综述,智能提取关键信息,辅助科研写作。

立即免费体验

野百合碱吡咯诱导的小鼠急性肺损伤模型的特征

Characterization of a murine model of monocrotaline pyrrole-induced acute lung injury.

作者信息

Dumitrascu Rio, Koebrich Silke, Dony Eva, Weissmann Norbert, Savai Rajkumar, Pullamsetti Soni S, Ghofrani Hossein A, Samidurai Arun, Traupe Horst, Seeger Werner, Grimminger Friedrich, Schermuly Ralph T

机构信息

University of Giessen Lung Center, Giessen, Germany.

出版信息

BMC Pulm Med. 2008 Dec 17;8:25. doi: 10.1186/1471-2466-8-25.

DOI:10.1186/1471-2466-8-25
PMID:19087359
原文链接:https://pmc.ncbi.nlm.nih.gov/articles/PMC2635347/
Abstract

BACKGROUND

New animal models of chronic pulmonary hypertension in mice are needed. The injection of monocrotaline is an established model of pulmonary hypertension in rats. The aim of this study was to establish a murine model of pulmonary hypertension by injection of the active metabolite, monocrotaline pyrrole.

METHODS

Survival studies, computed tomographic scanning, histology, bronchoalveolar lavage were performed, and arterial blood gases and hemodynamics were measured in animals which received an intravenous injection of different doses of monocrotaline pyrrole.

RESULTS

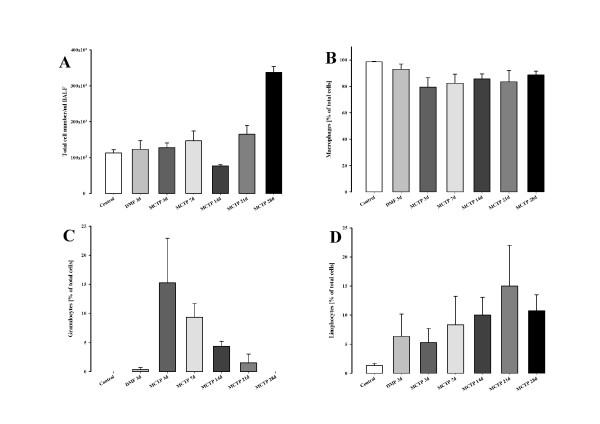
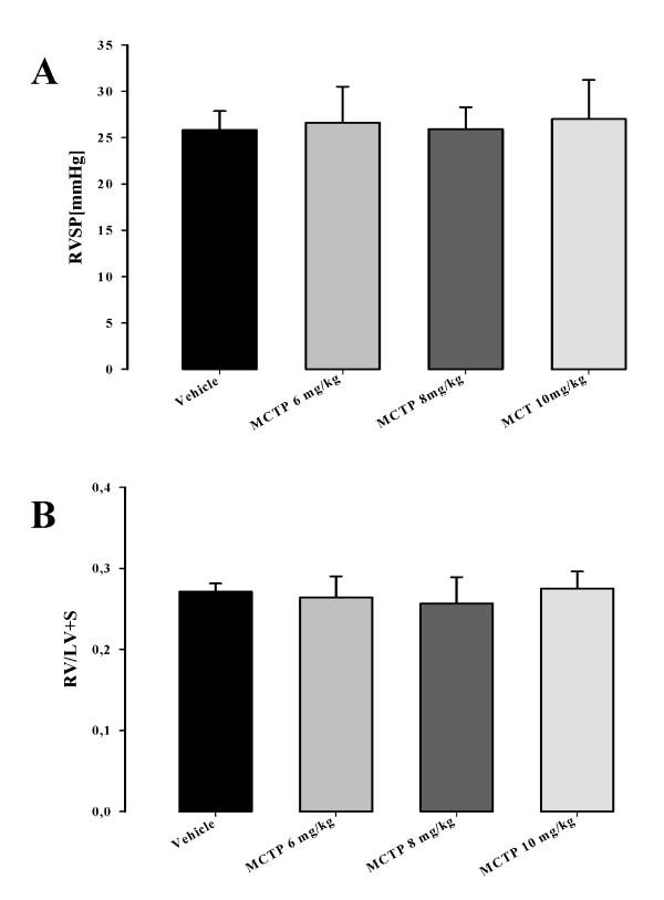
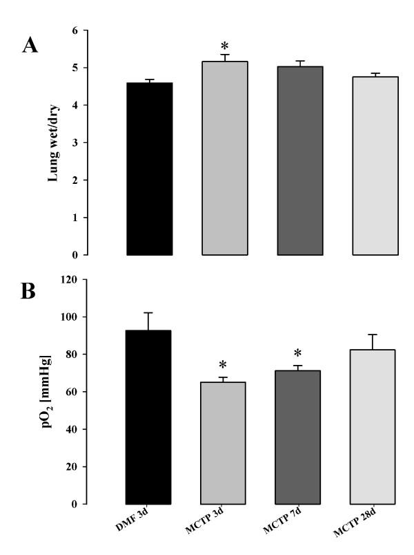
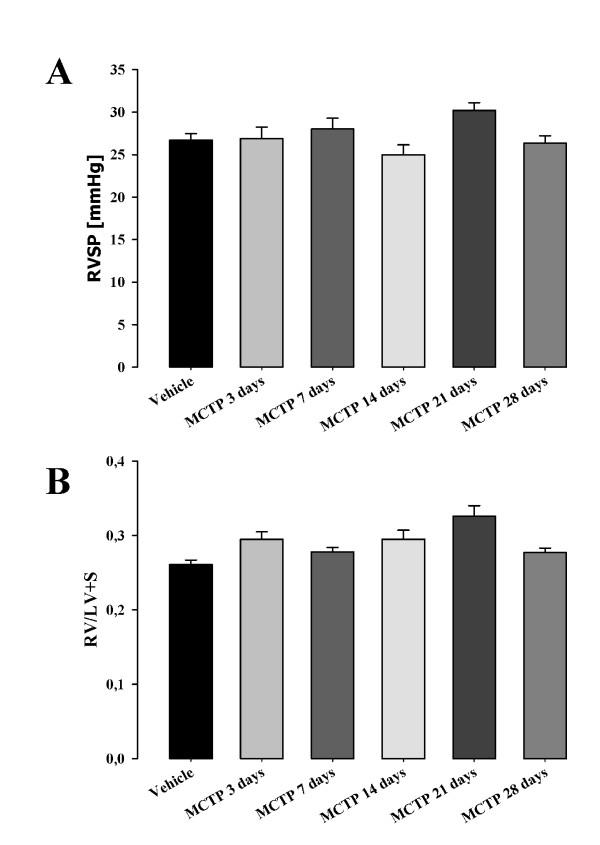
Monocrotaline pyrrole induced pulmonary hypertension in Sprague Dawley rats. When injected into mice, monocrotaline pyrrole induced dose-dependant mortality in C57Bl6/N and BALB/c mice (dose range 6-15 mg/kg bodyweight). At a dose of 10 mg/kg bodyweight, mice developed a typical early-phase acute lung injury, characterized by lung edema, neutrophil influx, hypoxemia and reduced lung compliance. In the late phase, monocrotaline pyrrole injection resulted in limited lung fibrosis and no obvious pulmonary hypertension.

CONCLUSION

Monocrotaline and monocrotaline pyrrole pneumotoxicity substantially differs between the animal species.

摘要

背景

需要新的小鼠慢性肺动脉高压动物模型。注射野百合碱是大鼠肺动脉高压的既定模型。本研究的目的是通过注射活性代谢物野百合碱吡咯建立小鼠肺动脉高压模型。

方法

对接受不同剂量野百合碱吡咯静脉注射的动物进行生存研究、计算机断层扫描、组织学检查、支气管肺泡灌洗,并测量动脉血气和血流动力学。

结果

野百合碱吡咯可诱导Sprague Dawley大鼠发生肺动脉高压。当注射到小鼠体内时,野百合碱吡咯在C57Bl6/N和BALB/c小鼠中诱导剂量依赖性死亡(剂量范围为6-15mg/kg体重)。在10mg/kg体重的剂量下,小鼠出现典型的早期急性肺损伤,其特征为肺水肿、中性粒细胞浸润、低氧血症和肺顺应性降低。在后期,注射野百合碱吡咯导致有限的肺纤维化,且无明显的肺动脉高压。

结论

野百合碱和野百合碱吡咯的肺毒性在不同动物物种之间存在显著差异。

https://cdn.ncbi.nlm.nih.gov/pmc/blobs/ca05/2635347/d0ff9264b972/1471-2466-8-25-10.jpg
https://cdn.ncbi.nlm.nih.gov/pmc/blobs/ca05/2635347/32241d1e8df9/1471-2466-8-25-1.jpg
https://cdn.ncbi.nlm.nih.gov/pmc/blobs/ca05/2635347/aba63db344ed/1471-2466-8-25-2.jpg
https://cdn.ncbi.nlm.nih.gov/pmc/blobs/ca05/2635347/923207a37c81/1471-2466-8-25-3.jpg
https://cdn.ncbi.nlm.nih.gov/pmc/blobs/ca05/2635347/7f7687d35fe2/1471-2466-8-25-4.jpg
https://cdn.ncbi.nlm.nih.gov/pmc/blobs/ca05/2635347/136c6bbfe104/1471-2466-8-25-5.jpg
https://cdn.ncbi.nlm.nih.gov/pmc/blobs/ca05/2635347/51739fc7088a/1471-2466-8-25-6.jpg
https://cdn.ncbi.nlm.nih.gov/pmc/blobs/ca05/2635347/db3eb5169b65/1471-2466-8-25-7.jpg
https://cdn.ncbi.nlm.nih.gov/pmc/blobs/ca05/2635347/75659ba58722/1471-2466-8-25-8.jpg
https://cdn.ncbi.nlm.nih.gov/pmc/blobs/ca05/2635347/af1862268081/1471-2466-8-25-9.jpg
https://cdn.ncbi.nlm.nih.gov/pmc/blobs/ca05/2635347/d0ff9264b972/1471-2466-8-25-10.jpg
https://cdn.ncbi.nlm.nih.gov/pmc/blobs/ca05/2635347/32241d1e8df9/1471-2466-8-25-1.jpg
https://cdn.ncbi.nlm.nih.gov/pmc/blobs/ca05/2635347/aba63db344ed/1471-2466-8-25-2.jpg
https://cdn.ncbi.nlm.nih.gov/pmc/blobs/ca05/2635347/923207a37c81/1471-2466-8-25-3.jpg
https://cdn.ncbi.nlm.nih.gov/pmc/blobs/ca05/2635347/7f7687d35fe2/1471-2466-8-25-4.jpg
https://cdn.ncbi.nlm.nih.gov/pmc/blobs/ca05/2635347/136c6bbfe104/1471-2466-8-25-5.jpg
https://cdn.ncbi.nlm.nih.gov/pmc/blobs/ca05/2635347/51739fc7088a/1471-2466-8-25-6.jpg
https://cdn.ncbi.nlm.nih.gov/pmc/blobs/ca05/2635347/db3eb5169b65/1471-2466-8-25-7.jpg
https://cdn.ncbi.nlm.nih.gov/pmc/blobs/ca05/2635347/75659ba58722/1471-2466-8-25-8.jpg
https://cdn.ncbi.nlm.nih.gov/pmc/blobs/ca05/2635347/af1862268081/1471-2466-8-25-9.jpg
https://cdn.ncbi.nlm.nih.gov/pmc/blobs/ca05/2635347/d0ff9264b972/1471-2466-8-25-10.jpg

相似文献

1
Characterization of a murine model of monocrotaline pyrrole-induced acute lung injury.野百合碱吡咯诱导的小鼠急性肺损伤模型的特征
BMC Pulm Med. 2008 Dec 17;8:25. doi: 10.1186/1471-2466-8-25.
2
Monocrotaline pyrrole induces pulmonary endothelial damage through binding to and release from erythrocytes in lung during venous blood reoxygenation.野百合碱吡咯通过在静脉血再充氧过程中与肺红细胞结合并从红细胞中释放,诱导肺血管内皮损伤。
Am J Physiol Lung Cell Mol Physiol. 2019 May 1;316(5):L798-L809. doi: 10.1152/ajplung.00279.2018. Epub 2019 Feb 20.
3
Cellular fibronectin and von Willebrand factor concentrations in plasma of rats treated with monocrotaline pyrrole.
Biochem Pharmacol. 1996 Jan 26;51(2):187-91. doi: 10.1016/0006-2952(95)02152-3.
4
Lung injury from intratracheal and inhalation exposures to residual oil fly ash in a rat model of monocrotaline-induced pulmonary hypertension.在一种由野百合碱诱导的肺动脉高压大鼠模型中,气管内和吸入残余油飞灰导致的肺损伤。
J Toxicol Environ Health A. 1999 Aug 27;57(8):543-63. doi: 10.1080/009841099157502.
5
Pneumonectomy combined with SU5416 or monocrotaline pyrrole does not cause severe pulmonary hypertension in mice.肺切除术联合 SU5416 或单环吡咯烷酮不会导致小鼠发生严重的肺动脉高压。
Am J Physiol Lung Cell Mol Physiol. 2024 Aug 1;327(2):L250-L257. doi: 10.1152/ajplung.00105.2024. Epub 2024 May 29.
6
[Monocrotaline induce pulmonary hypertension in animal models].[野百合碱诱导动物模型中的肺动脉高压]
Pneumologia. 2001 Apr-Jun;50(2):85-9.
7
Development of morphologic, hemodynamic, and biochemical changes in lungs of rats given monocrotaline pyrrole.给予大鼠野百合碱吡咯后肺脏形态学、血流动力学及生化改变的发展情况。
Toxicol Appl Pharmacol. 1990 Nov;106(2):179-200. doi: 10.1016/0041-008x(90)90239-q.
8
Chronic pulmonary hypertension--the monocrotaline model and involvement of the hemostatic system.
J Toxicol Environ Health B Crit Rev. 1998 Oct-Dec;1(4):271-346. doi: 10.1080/10937409809524557.
9
Nitric oxide improves pulmonary vascular impedance, transpulmonary efficiency, and left ventricular filling in chronic pulmonary hypertension.
J Thorac Cardiovasc Surg. 1997 May;113(5):849-57. doi: 10.1016/S0022-5223(97)70257-5.
10
Effects of altered platelet number on pulmonary hypertension and platelet sequestration in monocrotaline pyrrole-treated rats.
Toxicol Appl Pharmacol. 1989 Jun 15;99(2):302-13. doi: 10.1016/0041-008x(89)90012-4.

引用本文的文献

1
Pleural Effusion Formation Linked to Altered Transporter Expression Involved in Alveolar Fluid Clearance: Insights From the Monocrotaline Model of Pulmonary Hypertension.与参与肺泡液体清除的转运体表达改变相关的胸腔积液形成:来自野百合碱诱导的肺动脉高压模型的见解
Basic Clin Pharmacol Toxicol. 2025 Oct;137(4):e70096. doi: 10.1111/bcpt.70096.
2
Experimental animal models and patient-derived platforms to bridge preclinical discovery and translational therapeutics in pulmonary arterial hypertension.用于在肺动脉高压中衔接临床前发现与转化治疗的实验动物模型和患者来源平台。
J Transl Med. 2025 Jun 17;23(1):665. doi: 10.1186/s12967-025-06709-7.
3

本文引用的文献

1
Non-invasive screening of lung nodules in mice comparing a novel volumetric computed tomography with a clinical multislice CT.将新型容积计算机断层扫描与临床多层螺旋CT进行比较,对小鼠肺结节进行无创筛查。
Oncol Rep. 2007 Apr;17(4):707-12.
2
Effects of bone marrow-derived cells on monocrotaline- and hypoxia-induced pulmonary hypertension in mice.骨髓来源细胞对小鼠中野百合碱和低氧诱导的肺动脉高压的影响。
Respir Res. 2007 Jan 30;8(1):8. doi: 10.1186/1465-9921-8-8.
3
Complete reversal of acid-induced acute lung injury by blocking of platelet-neutrophil aggregation.
Pneumonectomy combined with SU5416 or monocrotaline pyrrole does not cause severe pulmonary hypertension in mice.
肺切除术联合 SU5416 或单环吡咯烷酮不会导致小鼠发生严重的肺动脉高压。
Am J Physiol Lung Cell Mol Physiol. 2024 Aug 1;327(2):L250-L257. doi: 10.1152/ajplung.00105.2024. Epub 2024 May 29.
4
Targeting erythrocyte-mediated hypoxia to alleviate lung injury induced by pyrrolizidine alkaloids.靶向红细胞介导的缺氧以减轻吡咯里西啶生物碱诱导的肺损伤。
Arch Toxicol. 2023 Mar;97(3):819-829. doi: 10.1007/s00204-023-03443-1. Epub 2023 Jan 13.
5
AMPK and Pulmonary Hypertension: Crossroads Between Vasoconstriction and Vascular Remodeling.AMPK与肺动脉高压:血管收缩与血管重塑之间的交叉点
Front Cell Dev Biol. 2021 Jun 8;9:691585. doi: 10.3389/fcell.2021.691585. eCollection 2021.
6
Plexiform Arteriopathy in Rodent Models of Pulmonary Arterial Hypertension.肺高血压啮齿动物模型中的丛状动脉病变。
Am J Pathol. 2019 Jun;189(6):1133-1144. doi: 10.1016/j.ajpath.2019.02.005. Epub 2019 Mar 26.
7
Low dose monocrotaline causes a selective pulmonary vascular lesion in male and female pneumonectomized rats.低剂量野百合碱可在雄性和雌性肺切除大鼠中引起选择性肺血管病变。
Exp Lung Res. 2018 Feb;44(1):51-61. doi: 10.1080/01902148.2017.1422157. Epub 2018 Jan 30.
8
Novel mechanisms of sildenafil in pulmonary hypertension involving cytokines/chemokines, MAP kinases and Akt.西地那非治疗肺动脉高压的新机制:涉及细胞因子/趋化因子、丝裂原活化蛋白激酶和蛋白激酶B
PLoS One. 2014 Aug 18;9(8):e104890. doi: 10.1371/journal.pone.0104890. eCollection 2014.
9
Diaphragm atrophy and contractile dysfunction in a murine model of pulmonary hypertension.肺动脉高压小鼠模型中的膈肌萎缩和收缩功能障碍。
PLoS One. 2013 Apr 22;8(4):e62702. doi: 10.1371/journal.pone.0062702. Print 2013.
10
Pulmonary oxidative stress is increased in cyclooxygenase-2 knockdown mice with mild pulmonary hypertension induced by monocrotaline.在由野百合碱诱导的轻度肺动脉高压的环氧化酶-2 敲低小鼠中,肺氧化应激增加。
PLoS One. 2011;6(8):e23439. doi: 10.1371/journal.pone.0023439. Epub 2011 Aug 5.
通过阻断血小板-中性粒细胞聚集完全逆转酸诱导的急性肺损伤。
J Clin Invest. 2006 Dec;116(12):3211-9. doi: 10.1172/JCI29499.
4
Classical transient receptor potential channel 6 (TRPC6) is essential for hypoxic pulmonary vasoconstriction and alveolar gas exchange.经典瞬时受体电位通道6(TRPC6)对于缺氧性肺血管收缩和肺泡气体交换至关重要。
Proc Natl Acad Sci U S A. 2006 Dec 12;103(50):19093-8. doi: 10.1073/pnas.0606728103. Epub 2006 Dec 1.
5
Hyperoxia modulates TGF-beta/BMP signaling in a mouse model of bronchopulmonary dysplasia.高氧血症在支气管肺发育不良小鼠模型中调节转化生长因子-β/骨形态发生蛋白信号通路。
Am J Physiol Lung Cell Mol Physiol. 2007 Feb;292(2):L537-49. doi: 10.1152/ajplung.00050.2006. Epub 2006 Oct 27.
6
Role of TNFalpha in pulmonary pathophysiology.肿瘤坏死因子α在肺部病理生理学中的作用。
Respir Res. 2006 Oct 11;7(1):125. doi: 10.1186/1465-9921-7-125.
7
Transgenic mice overexpressing the 5-hydroxytryptamine transporter gene in smooth muscle develop pulmonary hypertension.在平滑肌中过表达5-羟色胺转运体基因的转基因小鼠会患上肺动脉高压。
Circ Res. 2006 May 26;98(10):1323-30. doi: 10.1161/01.RES.0000222546.45372.a0. Epub 2006 Apr 13.
8
Activation of soluble guanylate cyclase reverses experimental pulmonary hypertension and vascular remodeling.可溶性鸟苷酸环化酶的激活可逆转实验性肺动脉高压和血管重塑。
Circulation. 2006 Jan 17;113(2):286-95. doi: 10.1161/CIRCULATIONAHA.105.581405. Epub 2006 Jan 3.
9
Reversal of experimental pulmonary hypertension by PDGF inhibition.通过抑制血小板衍生生长因子(PDGF)逆转实验性肺动脉高压
J Clin Invest. 2005 Oct;115(10):2811-21. doi: 10.1172/JCI24838.
10
Analysis of tumor vessel supply in Lewis lung carcinoma in mice by fluorescent microsphere distribution and imaging with micro- and flat-panel computed tomography.通过荧光微球分布以及微型和平板计算机断层扫描成像分析小鼠Lewis肺癌中的肿瘤血管供应情况。
Am J Pathol. 2005 Oct;167(4):937-46. doi: 10.1016/S0002-9440(10)61184-4.