• 文献检索
  • 文档翻译
  • 深度研究
  • 学术资讯
  • Suppr Zotero 插件Zotero 插件
  • 邀请有礼
  • 套餐&价格
  • 历史记录
应用&插件
Suppr Zotero 插件Zotero 插件浏览器插件Mac 客户端Windows 客户端微信小程序
定价
高级版会员购买积分包购买API积分包
服务
文献检索文档翻译深度研究API 文档MCP 服务
关于我们
关于 Suppr公司介绍联系我们用户协议隐私条款
关注我们

Suppr 超能文献

核心技术专利:CN118964589B侵权必究
粤ICP备2023148730 号-1Suppr @ 2026

文献检索

告别复杂PubMed语法,用中文像聊天一样搜索,搜遍4000万医学文献。AI智能推荐,让科研检索更轻松。

立即免费搜索

文件翻译

保留排版,准确专业,支持PDF/Word/PPT等文件格式,支持 12+语言互译。

免费翻译文档

深度研究

AI帮你快速写综述,25分钟生成高质量综述,智能提取关键信息,辅助科研写作。

立即免费体验

哮喘患者依据全球哮喘防治创议(GINA)进行治疗后症状及肺功能得到改善。

Improvement in symptoms and pulmonary function of asthmatic patients due to their treatment according to the Global Strategy for Asthma Management (GINA).

作者信息

Boskabady Mohammad H, Rezaeitalab Fariba, Rahimi Najmah, Dehnavi Damon

机构信息

Department of Physiology, Ghaem Medical Centre, Mashhad University of Medical Sciences, Mashhad, Iran.

出版信息

BMC Pulm Med. 2008 Dec 22;8:26. doi: 10.1186/1471-2466-8-26.

DOI:10.1186/1471-2466-8-26
PMID:19102753
原文链接:https://pmc.ncbi.nlm.nih.gov/articles/PMC2631486/
Abstract

BACKGROUND

Global Initiative Strategy for Asthma Management (GINA) is poorly applied in undeveloped and developing countries. The current study examined the effects of applying GINA guidelines on treatment efficacy in asthmatic patients in Iran.

METHODS

Twenty four asthmatic patients (usual care group) were treated as usual and 26 patients (intervention group) according to the GINA for 2 months. Asthma symptom score, asthma severity, frequency of symptoms/week and wheezing were recorded at the beginning (first visit), one month after treatment (second visit), and at the end of the study (third visit). Pulmonary function tests (PFTs) were performed by spirometry, and the patients' use of asthma drugs and their symptoms were evaluated, at each visit.

RESULTS

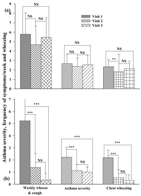
Asthma symptoms, frequency of symptoms/week, chest wheezing, and PFT values were significantly improved in the intervention group at the second and third visits compared to first visit (p < 0.001 for all measures). In addition, exercise induced cough and wheeze were significant improved in the third visit compared to the second visit in this group (p < 0.01 for both measures). In the second and third visits all symptoms were significantly lower, and PFT values higher, in the intervention group compared to the usual care group (p < 0.005 to p < 0.001). In the usual care group, there were only small improvements in some parameters in just the second visit (p < 0.01 for all measures). The use of asthma drugs was unchanged in the usual care group and significantly reduced in the intervention group (p < 0.01) by the end of the study.

CONCLUSION

Adoption of GINA guidelines improves asthma symptoms and pulmonary function in asthmatic patients in Iran.

摘要

背景

全球哮喘防治创议(GINA)在不发达国家和发展中国家的应用情况不佳。本研究探讨了应用GINA指南对伊朗哮喘患者治疗效果的影响。

方法

24例哮喘患者(常规治疗组)接受常规治疗,26例患者(干预组)按照GINA指南治疗2个月。在研究开始时(首次就诊)、治疗1个月后(第二次就诊)和研究结束时(第三次就诊)记录哮喘症状评分、哮喘严重程度、每周症状发作频率和哮鸣音情况。每次就诊时通过肺量计进行肺功能测试(PFTs),并评估患者哮喘药物的使用情况及其症状。

结果

与首次就诊相比,干预组在第二次和第三次就诊时哮喘症状、每周症状发作频率、胸部哮鸣音及PFT值均有显著改善(所有指标p<0.001)。此外,该组第三次就诊时运动诱发的咳嗽和哮鸣音较第二次就诊时有显著改善(两项指标p<0.01)。与常规治疗组相比,干预组在第二次和第三次就诊时所有症状均显著减轻,PFT值更高(p<0.005至p<0.001)。在常规治疗组中,仅在第二次就诊时部分参数有小幅改善(所有指标p<0.01)。到研究结束时,常规治疗组哮喘药物的使用情况未变,而干预组显著减少(p<0.01)。

结论

采用GINA指南可改善伊朗哮喘患者的哮喘症状和肺功能。

https://cdn.ncbi.nlm.nih.gov/pmc/blobs/31be/2631486/f76171d3a628/1471-2466-8-26-3.jpg
https://cdn.ncbi.nlm.nih.gov/pmc/blobs/31be/2631486/80ea66bd6491/1471-2466-8-26-1.jpg
https://cdn.ncbi.nlm.nih.gov/pmc/blobs/31be/2631486/a64427a5bd8d/1471-2466-8-26-2.jpg
https://cdn.ncbi.nlm.nih.gov/pmc/blobs/31be/2631486/f76171d3a628/1471-2466-8-26-3.jpg
https://cdn.ncbi.nlm.nih.gov/pmc/blobs/31be/2631486/80ea66bd6491/1471-2466-8-26-1.jpg
https://cdn.ncbi.nlm.nih.gov/pmc/blobs/31be/2631486/a64427a5bd8d/1471-2466-8-26-2.jpg
https://cdn.ncbi.nlm.nih.gov/pmc/blobs/31be/2631486/f76171d3a628/1471-2466-8-26-3.jpg

相似文献

1
Improvement in symptoms and pulmonary function of asthmatic patients due to their treatment according to the Global Strategy for Asthma Management (GINA).哮喘患者依据全球哮喘防治创议(GINA)进行治疗后症状及肺功能得到改善。
BMC Pulm Med. 2008 Dec 22;8:26. doi: 10.1186/1471-2466-8-26.
2
The possible prophylactic effect of Nigella sativa seed extract in asthmatic patients.黑种草籽提取物对哮喘患者的潜在预防作用。
Fundam Clin Pharmacol. 2007 Oct;21(5):559-66. doi: 10.1111/j.1472-8206.2007.00509.x.
3
Efficacy of zafirlukast in the treatment of patients with bronchial asthma.扎鲁司特治疗支气管哮喘患者的疗效。
J Microbiol Immunol Infect. 2001 Mar;34(1):63-70.
4
Is It Time to Leave Behind the Concept of Asthma Control and Severity Steps?是时候摒弃哮喘控制和严重程度分级的概念了吗?
J Asthma. 2021 Mar;58(3):281-283. doi: 10.1080/02770903.2019.1690659. Epub 2019 Nov 14.
5
Follow-up of patients with uncontrolled asthma: clinical features of asthma patients according to the level of control achieved (the COAS study).未控制哮喘患者的随访:根据达到的控制水平(COAS 研究)评估哮喘患者的临床特征。
Eur Respir J. 2017 Mar 2;49(3). doi: 10.1183/13993003.01885-2015. Print 2017 Mar.
6
Benefits of omalizumab as add-on therapy in patients with severe persistent asthma who are inadequately controlled despite best available therapy (GINA 2002 step 4 treatment): INNOVATE.对于重度持续性哮喘患者,尽管接受了最佳可用治疗(《全球哮喘防治创议》2002版第4步治疗)但控制不佳时,奥马珠单抗作为附加治疗的益处:INNOVATE研究。
Allergy. 2005 Mar;60(3):309-16. doi: 10.1111/j.1398-9995.2004.00772.x.
7
Asthma and other wheezing disorders of childhood.儿童哮喘及其他喘息性疾病。
Clin Evid. 2003 Jun(9):287-317.
8
Improving drug therapy for patients with asthma-part 2: Use of antiasthma medications.改善哮喘患者的药物治疗——第2部分:抗哮喘药物的使用
J Am Pharm Assoc (Wash). 2001 Jul-Aug;41(4):551-9. doi: 10.1016/s1086-5802(16)31279-7.
9
Wheezing in Chinese schoolchildren: disease severity distribution and management practices, a community-based study in Hong Kong and Guangzhou.中国学童的哮鸣:疾病严重程度分布及管理实践,一项在香港和广州开展的社区研究
Clin Exp Allergy. 2005 Nov;35(11):1449-56. doi: 10.1111/j.1365-2222.2005.02361.x.
10
The possible prophylactic effect of Nigella sativa seed aqueous extract on respiratory symptoms and pulmonary function tests on chemical war victims: a randomized, double-blind, placebo-controlled trial.黑种草籽水提取物对化学战受害者呼吸道症状和肺功能测试的可能预防作用:一项随机、双盲、安慰剂对照试验。
J Altern Complement Med. 2008 Nov;14(9):1137-44. doi: 10.1089/acm.2008.0049.

引用本文的文献

1
Lung Function and Asthma Clinical Control in N-ERD Patients, Three-Year Follow-Up in the Context of Real-World Evidence.非嗜酸性粒细胞性难治性哮喘患者的肺功能与哮喘临床控制:基于真实世界证据的三年随访
J Asthma Allergy. 2023 Sep 6;16:937-950. doi: 10.2147/JAA.S418802. eCollection 2023.
2
Implementation of GINA guidelines in Ho Chi Minh City: a model for Viet Nam.《在胡志明市实施全球哮喘防治创议(GINA)指南:越南的一个模式》
Public Health Action. 2012 Dec 21;2(4):181-5. doi: 10.5588/pha.12.0035. Epub 2012 Nov 15.
3
A systematic review of the implementation and impact of asthma protocols.

本文引用的文献

1
Correlation between symptom score, wheeze, reversibility of pulmonary function tests and treatment response in asthma.哮喘患者症状评分、哮鸣音、肺功能测试可逆性与治疗反应之间的相关性
Iran J Allergy Asthma Immunol. 2003 Jun;2(2):61-7.
2
Prescribing for asthmatic children in primary care. Are we following guidelines?基层医疗中为哮喘儿童开处方。我们遵循指南了吗?
Saudi Med J. 2003 May;24(5):507-11.
3
The efficacy of a management protocol in reducing emergency visits and hospitalizations in chronic asthmatics.一种管理方案在减少慢性哮喘患者急诊就诊和住院次数方面的疗效。
哮喘方案的实施和影响的系统评价。
BMC Med Inform Decis Mak. 2014 Sep 9;14:82. doi: 10.1186/1472-6947-14-82.
Saudi Med J. 2002 Nov;23(11):1373-9.
4
Prevalence of asthma symptoms among the adult population in the city of Mashhad (north-east of Iran).伊朗东北部城市马什哈德成年人口中哮喘症状的患病率。
Respirology. 2002 Sep;7(3):267-72. doi: 10.1046/j.1440-1843.2002.00398.x.
5
Hospital management of children with acute asthma exacerbations in Kuwait: adherence to international guidelines.科威特儿童急性哮喘加重的医院管理:对国际指南的遵循情况
Med Princ Pract. 2002 Jul-Sep;11(3):126-30. doi: 10.1159/000063244.
6
Compliance of primary care doctors with asthma guidelines and related education programs: the employment factor.初级保健医生对哮喘指南及相关教育项目的依从性:就业因素。
Isr Med Assoc J. 2002 Jun;4(6):403-6.
7
Increasing prevalence of wheeze and asthma in Nottingham primary schoolchildren 1988-1995.1988 - 1995年诺丁汉小学生中喘鸣和哮喘患病率的上升
Eur Respir J. 1998 Jun;11(6):1324-8. doi: 10.1183/09031936.98.11061324.
8
The costs of asthma.哮喘的成本。
Eur Respir J. 1996 Apr;9(4):636-42. doi: 10.1183/09031936.96.09040636.
9
Standardization of Spirometry, 1994 Update. American Thoracic Society.肺量计标准化,1994年更新版。美国胸科学会。
Am J Respir Crit Care Med. 1995 Sep;152(3):1107-36. doi: 10.1164/ajrccm.152.3.7663792.
10
Clinical significance of bronchial sensitivity to acetylcholine and histamine in bronchial asthma.支气管哮喘中支气管对乙酰胆碱和组胺敏感性的临床意义。
J Allergy. 1966 Sep;38(3):127-42. doi: 10.1016/0021-8707(66)90036-0.