Abdulamir Ahmed S, Hafidh Rand R, Kadhim Haider S, Abubakar Fatimah
Microbiology Research Department, University Putra Malaysia, UPM, Serdang, Malaysia.
J Exp Clin Cancer Res. 2009 Feb 25;28(1):27. doi: 10.1186/1756-9966-28-27.
The aim of this study is to comparatively elucidate the underlying molecular pathways and clinicopathological criteria in schistosomal bladder tumor (SBT) versus non-schistosomal bladder tumor (NSBT).
This study explored the role of p53, p16, bcl-2, ki-67, c-myc, Rb and EGFR, by using Immunohistochemistry assay, in 45 SBT and 39 NSBT patients in comparison with 16 schistosomal chronic cystitis (SC), 28 non-schistosomal chronic cystitis (NSC), and 20 normal control (CTL) subjects. The studied markers in SBT and NSBT were correlated with different clinicopathological criteria namely, tumor histopathology, grading, invasiveness, stage, and presentation of the disease.
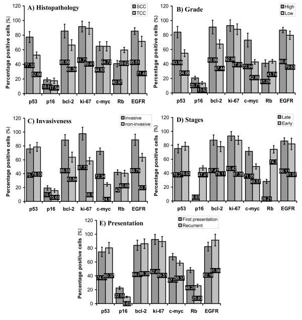
SBT was associated with high grade invasive squamous cell carcinoma (SCC) while NSBT was associated with lower grade less invasive transitional cell carcinoma (TCC). The expression of p53, bcl-2, c-myc, and EGFR was higher in SBT than in NSBT while Rb was higher in NSBT than in SBT. However, p16 and ki-67 were not different between SBT and NSBT. The profile of molecular markers in SC was similar to NSC except for EGFR which was higher in SC than in NSC. Both SC and NSC showed higher level of p53, bcl-2, ki-67, and EGFR than in CTL group while p16, Rb, and c-myc were not different. p53 was associated with high grade SCC in both SBT and NSBT. Bcl-2 was associated with high grade invasive tumors in SBT and NSBT. P16 was associated with low grade, late stage, and recurrent SBT and high grade, invasive, late stage, and recurrent NSBT. Rb was associated with SCC in SBT, invasive tumors in NSBT, and late stage and recurrent presentation in both SBT and NSBT. C-myc was associated with high grade, invasive, and late stage SBT and SCC, high grade, invasive, and late stage NSBT. EGFR was associated with invasive SCC in SBT and invasive, high grade, and late stage TCC in NSBT. ki-67 was associated with invasive SBT and high grade late stage NSBT.
SBT and NSBT showed distinct molecular profile of tumor development and progression which can be taken into consideration in fine adjusting the anti-cancer therapy for SBT and NSBT.
本研究旨在比较阐明血吸虫性膀胱肿瘤(SBT)与非血吸虫性膀胱肿瘤(NSBT)潜在的分子途径和临床病理标准。
本研究通过免疫组织化学分析,探讨了p53、p16、bcl-2、ki-67、c-myc、Rb和EGFR在45例SBT患者、39例NSBT患者中的作用,并与16例血吸虫性慢性膀胱炎(SC)患者、28例非血吸虫性慢性膀胱炎(NSC)患者及20例正常对照(CTL)受试者进行比较。将SBT和NSBT中研究的标志物与不同的临床病理标准相关联,即肿瘤组织病理学、分级、侵袭性、分期及疾病表现。
SBT与高级别浸润性鳞状细胞癌(SCC)相关,而NSBT与低级别、低侵袭性移行细胞癌(TCC)相关。SBT中p53、bcl-2、c-myc和EGFR的表达高于NSBT,而NSBT中Rb的表达高于SBT。然而,SBT和NSBT之间p16和ki-67无差异。SC和NSC的分子标志物谱相似,但SC中EGFR高于NSC。SC和NSC中p53、bcl-2、ki-67和EGFR水平均高于CTL组,而p16、Rb和c-myc无差异。p53在SBT和NSBT中均与高级别SCC相关。Bcl-2在SBT和NSBT中均与高级别浸润性肿瘤相关。P16与低级别、晚期和复发性SBT以及高级别、浸润性、晚期和复发性NSBT相关。Rb与SBT中的SCC、NSBT中的浸润性肿瘤以及SBT和NSBT的晚期和复发性表现相关。C-myc与高级别、浸润性和晚期SBT以及SCC、高级别、浸润性和晚期NSBT相关。EGFR与SBT中的浸润性SCC以及NSBT中的浸润性、高级别和晚期TCC相关。Ki-67与浸润性SBT和高级别晚期NSBT相关。
SBT和NSBT在肿瘤发生发展方面表现出不同的分子特征,这在精准调整SBT和NSBT的抗癌治疗时可予以考虑。