Molecular Toxicology Interdepartmental Doctoral Program, University of California Los Angeles, Los Angeles, CA 90095, USA.
J Oncol. 2009;2009:491985. doi: 10.1155/2009/491985. Epub 2009 Mar 24.
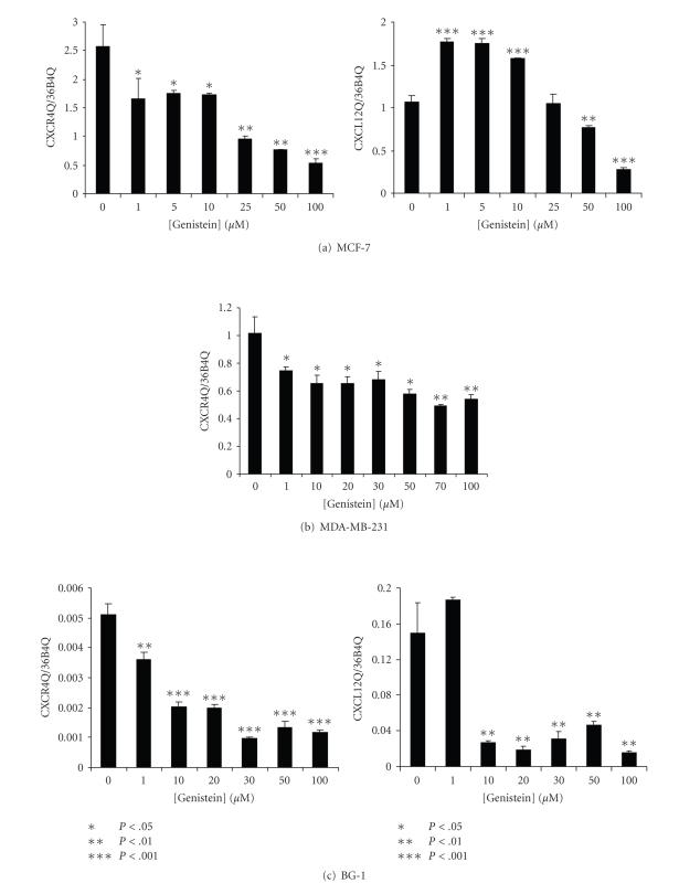
CXCR4 is a chemokine receptor frequently overexpressed on primary tumor cells. Organs to which these cancers metastasize secrete CXCL12, the unique ligand for CXCR4, which stimulates invasion and metastasis to these sites. Similar to our previous work with the chemoprotective phytochemical, 3,3'-diindolylmethane (DIM), we show here that genistein also downregulates CXCR4 and CXCL12 and subsequently lowers the migratory and invasive potentials of breast and ovarian cancer cells. Moreover, genistein and DIM elicit a significantly greater cumulative effect in lowering CXCR4 and CXCL12 levels than either compound alone. Our data suggest a novel mechanism for the protective effects of phytochemicals against cancer progression and indicate that in combination, these compounds may prove even more efficacious.
CXCR4 是一种趋化因子受体,在原发性肿瘤细胞中经常过表达。这些癌症转移到的器官会分泌 CXCL12,这是 CXCR4 的独特配体,它刺激这些部位的侵袭和转移。与我们之前使用化学保护植物化学物质 3,3'-二吲哚甲烷(DIM)的工作类似,我们在这里表明,染料木黄酮也下调 CXCR4 和 CXCL12,随后降低乳腺癌和卵巢癌细胞的迁移和侵袭潜力。此外,染料木黄酮和 DIM 在降低 CXCR4 和 CXCL12 水平方面产生的累积效应明显大于单独使用任何一种化合物。我们的数据为植物化学物质对癌症进展的保护作用提供了一种新的机制,并表明这些化合物联合使用可能更有效。