Department of Microbiology and Molecular Genetics, Michigan State University, East Lansing, MI, USA.
Gene Ther. 2009 Oct;16(10):1245-59. doi: 10.1038/gt.2009.77. Epub 2009 Jun 25.
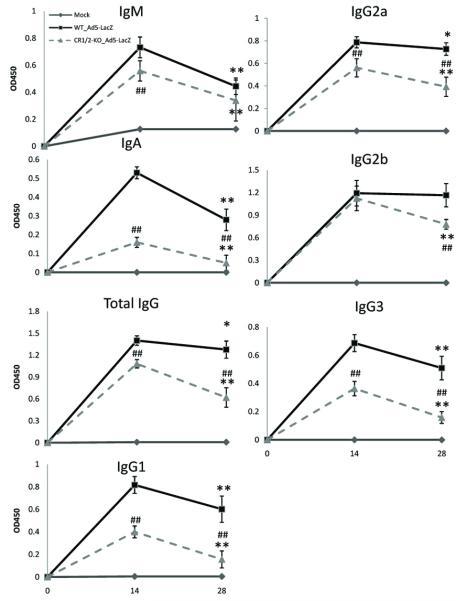
Human complement receptors 1 and 2 are well described as important regulators of innate and adaptive immune responses, having pivotal roles in regulating complement activation (CR1) and B-cell maturation/survival. In contrast, the role of the murine homologs of CR1 and CR2 (mCR1/2) have been primarily defined as modulating activation of the adaptive immune system, with very little evidence available about the role of mCR1/2 in regulating the innate immune responses to pathogens. In this paper, we confirm that mCR1/2 plays an important role in regulating both the innate and adaptive immune responses noted after Adenovirus (Ad)-mediated gene transfer. Our results uncovered a novel role of mCR1/2 in downregulating several complement-dependent innate immune responses. We also unveiled the mechanism underlying the complement-dependent induction of neutralizing antibodies to Ad capsids as a CR1/2-dependent phenomenon that correlates with B-cell activation. These results confirm that Ad interactions with the complement system are pivotal in understanding how to maximize the safety or potency of Ad-mediated gene transfer for both gene therapy and vaccine applications.
人类补体受体 1 和 2 是先天和适应性免疫反应的重要调节剂,在调节补体激活 (CR1) 和 B 细胞成熟/存活方面发挥着关键作用。相比之下,CR1 和 CR2 的鼠类同源物 (mCR1/2) 的作用主要被定义为调节适应性免疫系统的激活,关于 mCR1/2 在调节对病原体的先天免疫反应中的作用的证据非常有限。在本文中,我们证实 mCR1/2 在调节腺病毒 (Ad) 介导的基因转移后观察到的先天和适应性免疫反应中发挥重要作用。我们的结果揭示了 mCR1/2 在下调几种补体依赖性先天免疫反应中的新作用。我们还揭示了补体依赖性诱导针对 Ad 衣壳的中和抗体的机制,这是一种与 B 细胞激活相关的 CR1/2 依赖性现象。这些结果证实,Ad 与补体系统的相互作用对于理解如何最大限度地提高 Ad 介导的基因转移在基因治疗和疫苗应用中的安全性或效力至关重要。