Suppr超能文献

利用基因组选择将一个主要数量性状位点从低等群体渗入到高等群体。

Introgression of a major QTL from an inferior into a superior population using genomic selection.

作者信息

Odegård Jørgen, Sonesson Anna K, Yazdi M Hossein, Meuwissen Theo H E

机构信息

Nofima Marine, As, Norway.

出版信息

Genet Sel Evol. 2009 Jul 27;41(1):38. doi: 10.1186/1297-9686-41-38.

Abstract

BACKGROUND

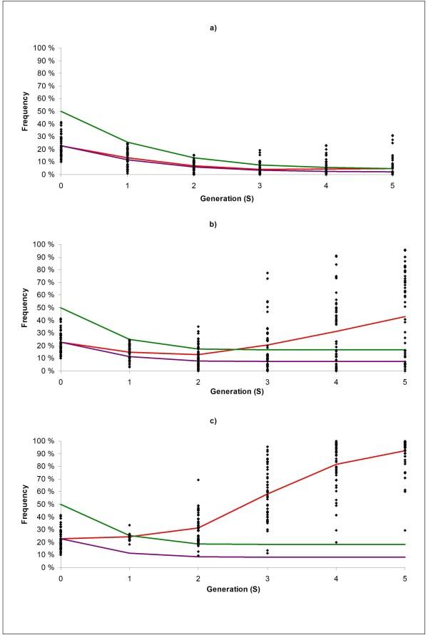
Selection schemes aiming at introgressing genetic material from a donor into a recipient line may be performed by backcross-breeding programs combined with selection to preserve the favourable characteristics of the donor population. This stochastic simulation study investigated whether genomic selection can be effective in preserving a major quantitative trait locus (QTL) allele from a donor line during the backcrossing phase.

METHODS

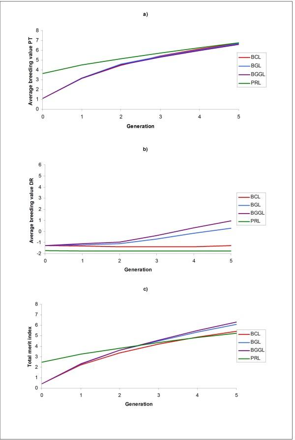
In a simulation study, two fish populations were generated: a recipient line selected for a production trait and a donor line characterized by an enhanced level of disease resistance. Both traits were polygenic, but one major QTL affecting disease resistance was segregating only within the donor line. Backcrossing was combined with three types of selection (for total merit index) among the crossbred individuals: classical selection, genomic selection using genome-wide dense marker maps, and gene-assisted genomic selection. It was assumed that production could be observed directly on the selection candidates, while disease resistance had to be inferred from tested sibs of the selection candidates.

RESULTS

Classical selection was inefficient in preserving the target QTL through the backcrossing phase. In contrast, genomic selection (without specific knowledge of the target QTL) was usually effective in preserving the target QTL, and had higher genetic response to selection, especially for disease resistance. Compared with pure genomic selection, gene-assisted selection had an advantage with respect to disease resistance (28-40% increase in genetic gain) and acted as an extra precaution against loss of the target QTL. However, for total merit index the advantage of gene-assisted genomic selection over genomic selection was lower (4-5% increase in genetic gain).

CONCLUSION

Substantial differences between introgression programs using classical and genomic selection were observed, and the former was generally inferior with respect to both genetic gain and the ability to preserve the target QTL. Combining genomic selection with gene-assisted selection for the target QTL acted as an extra precaution against loss of the target QTL and gave additional genetic gain for disease resistance. However, the effect on total merit index was limited.

摘要

背景

旨在将供体的遗传物质渗入受体品系的选择方案可通过回交育种计划结合选择来进行,以保留供体群体的有利特征。这项随机模拟研究调查了基因组选择在回交阶段保留供体品系中一个主要数量性状位点(QTL)等位基因方面是否有效。

方法

在一项模拟研究中,生成了两个鱼类群体:一个针对生产性状进行选择的受体品系和一个以抗病性增强为特征的供体品系。这两个性状都是多基因的,但一个影响抗病性的主要QTL仅在供体品系中分离。回交与杂种个体中的三种选择类型(针对总优良指数)相结合:传统选择、使用全基因组密集标记图谱的基因组选择和基因辅助基因组选择。假设可以直接在选择候选个体上观察到生产性状,而抗病性必须从选择候选个体的经测试的同胞中推断出来。

结果

传统选择在回交阶段保留目标QTL方面效率低下。相比之下,基因组选择(无需对目标QTL有特定了解)通常在保留目标QTL方面有效,并且对选择具有更高的遗传响应,尤其是对于抗病性。与纯基因组选择相比,基因辅助选择在抗病性方面具有优势(遗传增益提高28 - 40%),并且作为防止目标QTL丢失的额外预防措施。然而,对于总优良指数,基因辅助基因组选择相对于基因组选择的优势较低(遗传增益提高4 - 5%)。

结论

观察到使用传统选择和基因组选择的渗入计划之间存在实质性差异,前者在遗传增益和保留目标QTL的能力方面通常较差。将基因组选择与针对目标QTL的基因辅助选择相结合,作为防止目标QTL丢失的额外预防措施,并为抗病性提供了额外的遗传增益。然而,对总优良指数的影响有限。

https://cdn.ncbi.nlm.nih.gov/pmc/blobs/212b/2731732/77283b82688a/1297-9686-41-38-1.jpg

文献检索

告别复杂PubMed语法,用中文像聊天一样搜索,搜遍4000万医学文献。AI智能推荐,让科研检索更轻松。

立即免费搜索

文件翻译

保留排版,准确专业,支持PDF/Word/PPT等文件格式,支持 12+语言互译。

免费翻译文档

深度研究

AI帮你快速写综述,25分钟生成高质量综述,智能提取关键信息,辅助科研写作。

立即免费体验