• 文献检索
  • 文档翻译
  • 深度研究
  • 学术资讯
  • Suppr Zotero 插件Zotero 插件
  • 邀请有礼
  • 套餐&价格
  • 历史记录
应用&插件
Suppr Zotero 插件Zotero 插件浏览器插件Mac 客户端Windows 客户端微信小程序
定价
高级版会员购买积分包购买API积分包
服务
文献检索文档翻译深度研究API 文档MCP 服务
关于我们
关于 Suppr公司介绍联系我们用户协议隐私条款
关注我们

Suppr 超能文献

核心技术专利:CN118964589B侵权必究
粤ICP备2023148730 号-1Suppr @ 2026

文献检索

告别复杂PubMed语法,用中文像聊天一样搜索,搜遍4000万医学文献。AI智能推荐,让科研检索更轻松。

立即免费搜索

文件翻译

保留排版,准确专业,支持PDF/Word/PPT等文件格式,支持 12+语言互译。

免费翻译文档

深度研究

AI帮你快速写综述,25分钟生成高质量综述,智能提取关键信息,辅助科研写作。

立即免费体验

蒙特卡罗法与笔形束算法在立体定向肺部调强放疗中的比较。

Monte Carlo vs. pencil beam based optimization of stereotactic lung IMRT.

机构信息

Section for Biomedical Physics, University Hospital for Radiation Oncology, Hoppe-Seyler-Str, 3, 72076 Tübingen, Germany.

出版信息

Radiat Oncol. 2009 Dec 12;4:64. doi: 10.1186/1748-717X-4-64.

DOI:10.1186/1748-717X-4-64
PMID:20003380
原文链接:https://pmc.ncbi.nlm.nih.gov/articles/PMC2801495/
Abstract

BACKGROUND

The purpose of the present study is to compare finite size pencil beam (fsPB) and Monte Carlo (MC) based optimization of lung intensity-modulated stereotactic radiotherapy (lung IMSRT).

MATERIALS AND METHODS

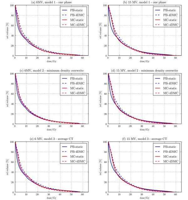
A fsPB and a MC algorithm as implemented in a biological IMRT planning system were validated by film measurements in a static lung phantom. Then, they were applied for static lung IMSRT planning based on three different geometrical patient models (one phase static CT, density overwrite one phase static CT, average CT) of the same patient. Both 6 and 15 MV beam energies were used. The resulting treatment plans were compared by how well they fulfilled the prescribed optimization constraints both for the dose distributions calculated on the static patient models and for the accumulated dose, recalculated with MC on each of 8 CTs of a 4DCT set.

RESULTS

In the phantom measurements, the MC dose engine showed discrepancies < 2%, while the fsPB dose engine showed discrepancies of up to 8% in the presence of lateral electron disequilibrium in the target. In the patient plan optimization, this translates into violations of organ at risk constraints and unpredictable target doses for the fsPB optimized plans. For the 4D MC recalculated dose distribution, MC optimized plans always underestimate the target doses, but the organ at risk doses were comparable. The results depend on the static patient model, and the smallest discrepancy was found for the MC optimized plan on the density overwrite one phase static CT model.

CONCLUSIONS

It is feasible to employ the MC dose engine for optimization of lung IMSRT and the plans are superior to fsPB. Use of static patient models introduces a bias in the MC dose distribution compared to the 4D MC recalculated dose, but this bias is predictable and therefore MC based optimization on static patient models is considered safe.

摘要

背景

本研究的目的是比较有限束笔形束(fsPB)和蒙特卡罗(MC)在肺部强度调制立体定向放射治疗(lung IMSRT)中的优化。

材料和方法

在静态肺部体模中使用胶片测量验证了一种生物 IMRT 计划系统中的 fsPB 和 MC 算法。然后,将它们应用于同一患者的三种不同几何患者模型(单相静态 CT、密度覆盖单相静态 CT、平均 CT)的静态肺部 IMSRT 计划。使用了 6 和 15 MV 两种射束能量。根据静态患者模型上计算的剂量分布和在 4DCT 集的 8 个 CT 上的每个 CT 上用 MC 重新计算的累积剂量,比较了治疗计划的结果。

结果

在体模测量中,MC 剂量引擎的差异<2%,而在靶区存在横向电子失衡的情况下,fsPB 剂量引擎的差异高达 8%。在患者计划优化中,这转化为危及器官约束的违反和 fsPB 优化计划中不可预测的靶区剂量。对于 4D MC 重新计算的剂量分布,MC 优化计划总是低估靶区剂量,但危及器官剂量相当。结果取决于静态患者模型,MC 优化计划在密度覆盖单相静态 CT 模型上的差异最小。

结论

可以使用 MC 剂量引擎对肺部 IMSRT 进行优化,并且计划优于 fsPB。使用静态患者模型会在 MC 剂量分布中引入与 4D MC 重新计算剂量相比的偏差,但这种偏差是可预测的,因此基于 MC 的静态患者模型优化被认为是安全的。

https://cdn.ncbi.nlm.nih.gov/pmc/blobs/5c5b/2801495/ec6889d8ad41/1748-717X-4-64-7.jpg
https://cdn.ncbi.nlm.nih.gov/pmc/blobs/5c5b/2801495/3ada4b0f1976/1748-717X-4-64-1.jpg
https://cdn.ncbi.nlm.nih.gov/pmc/blobs/5c5b/2801495/4c70b208caad/1748-717X-4-64-2.jpg
https://cdn.ncbi.nlm.nih.gov/pmc/blobs/5c5b/2801495/41da431824d7/1748-717X-4-64-3.jpg
https://cdn.ncbi.nlm.nih.gov/pmc/blobs/5c5b/2801495/7e3293ca76ba/1748-717X-4-64-4.jpg
https://cdn.ncbi.nlm.nih.gov/pmc/blobs/5c5b/2801495/f1e81ac801d4/1748-717X-4-64-5.jpg
https://cdn.ncbi.nlm.nih.gov/pmc/blobs/5c5b/2801495/583ceb3dbc9a/1748-717X-4-64-6.jpg
https://cdn.ncbi.nlm.nih.gov/pmc/blobs/5c5b/2801495/ec6889d8ad41/1748-717X-4-64-7.jpg
https://cdn.ncbi.nlm.nih.gov/pmc/blobs/5c5b/2801495/3ada4b0f1976/1748-717X-4-64-1.jpg
https://cdn.ncbi.nlm.nih.gov/pmc/blobs/5c5b/2801495/4c70b208caad/1748-717X-4-64-2.jpg
https://cdn.ncbi.nlm.nih.gov/pmc/blobs/5c5b/2801495/41da431824d7/1748-717X-4-64-3.jpg
https://cdn.ncbi.nlm.nih.gov/pmc/blobs/5c5b/2801495/7e3293ca76ba/1748-717X-4-64-4.jpg
https://cdn.ncbi.nlm.nih.gov/pmc/blobs/5c5b/2801495/f1e81ac801d4/1748-717X-4-64-5.jpg
https://cdn.ncbi.nlm.nih.gov/pmc/blobs/5c5b/2801495/583ceb3dbc9a/1748-717X-4-64-6.jpg
https://cdn.ncbi.nlm.nih.gov/pmc/blobs/5c5b/2801495/ec6889d8ad41/1748-717X-4-64-7.jpg

相似文献

1
Monte Carlo vs. pencil beam based optimization of stereotactic lung IMRT.蒙特卡罗法与笔形束算法在立体定向肺部调强放疗中的比较。
Radiat Oncol. 2009 Dec 12;4:64. doi: 10.1186/1748-717X-4-64.
2
Evaluation of newly implemented dose calculation algorithms for multileaf collimator-based CyberKnife tumor-tracking radiotherapy.多叶准直器基于 CyberKnife 肿瘤跟踪放射治疗中新实施的剂量计算算法的评估。
Med Phys. 2020 Mar;47(3):1391-1403. doi: 10.1002/mp.14013. Epub 2020 Jan 28.
3
Effect of the normalized prescription isodose line on the magnitude of Monte Carlo vs. pencil beam target dose differences for lung stereotactic body radiotherapy.归一化处方等剂量线对肺部立体定向体部放射治疗中蒙特卡罗与笔形束靶区剂量差异大小的影响。
J Appl Clin Med Phys. 2016 Jul 8;17(4):48-58. doi: 10.1120/jacmp.v17i4.5965.
4
Assessment of Monte Carlo algorithm for compliance with RTOG 0915 dosimetric criteria in peripheral lung cancer patients treated with stereotactic body radiotherapy.评估蒙特卡罗算法在接受立体定向体部放射治疗的周围型肺癌患者中符合 RTOG 0915 剂量学标准的应用。
J Appl Clin Med Phys. 2016 May 8;17(3):277-293. doi: 10.1120/jacmp.v17i3.6077.
5
Treatment planning for radiotherapy with very high-energy electron beams and comparison of VHEE and VMAT plans.超高能电子束放射治疗的治疗计划以及超高能电子束与容积调强弧形治疗计划的比较。
Med Phys. 2015 May;42(5):2615-25. doi: 10.1118/1.4918923.
6
Pareto front analysis of 6 and 15 MV dynamic IMRT for lung cancer using pencil beam, AAA and Monte Carlo.使用笔形束、AAA 和蒙特卡罗算法对肺癌进行 6MV 和 15MV 动态调强放疗的 Pareto 前沿分析。
Phys Med Biol. 2010 Aug 21;55(16):4521-33. doi: 10.1088/0031-9155/55/16/S07. Epub 2010 Jul 29.
7
Monte Carlo evaluation of 6 MV intensity modulated radiotherapy plans for head and neck and lung treatments.用于头颈部和肺部治疗的6兆伏强度调制放射治疗计划的蒙特卡罗评估。
Med Phys. 2002 Nov;29(11):2705-17. doi: 10.1118/1.1517291.
8
Dose differences in intensity-modulated radiotherapy plans calculated with pencil beam and Monte Carlo for lung SBRT.使用笔形束和蒙特卡罗方法计算的肺部立体定向体部放疗计划中的剂量差异。
J Appl Clin Med Phys. 2015 Nov 8;16(6):91–99. doi: 10.1120/jacmp.v16i6.5514.
9
A new Monte Carlo-based treatment plan optimization approach for intensity modulated radiation therapy.一种基于蒙特卡罗方法的用于调强放射治疗的新治疗计划优化方法。
Phys Med Biol. 2015 Apr 7;60(7):2903-19. doi: 10.1088/0031-9155/60/7/2903. Epub 2015 Mar 17.
10
Application of an inverse kernel concept to Monte Carlo based IMRT.逆核概念在基于蒙特卡洛的调强放射治疗中的应用。
Med Phys. 2006 Dec;33(12):4749-57. doi: 10.1118/1.2349697.

引用本文的文献

1
Prediction of dose deposition matrix using voxel features driven machine learning approach.利用体素特征驱动的机器学习方法预测剂量沉积矩阵。
Br J Radiol. 2023 Apr 1;96(1145):20220373. doi: 10.1259/bjr.20220373. Epub 2023 Mar 6.
2
Study of efficiency in five-field and field-by-field intensity modulated radiation therapy (IMRT) plan using DOSXYZnrc Monte Carlo code.使用DOSXYZnrc蒙特卡罗代码对五野和逐野调强放射治疗(IMRT)计划的效率研究。
Rep Pract Oncol Radiother. 2020 May-Jun;25(3):428-435. doi: 10.1016/j.rpor.2020.03.022. Epub 2020 Apr 27.
3
Dosimetric Comparison of Treatment Plans Computed With Finite Size Pencil Beam and Monte Carlo Algorithms Using the InCise™ Multileaf Collimator-Equipped Cyberknife System.

本文引用的文献

1
Intensity-modulated radiotherapy optimization in a quasi-periodically deforming patient model.在准周期性变形患者模型中的调强放射治疗优化
Int J Radiat Oncol Biol Phys. 2009 Nov 1;75(3):906-14. doi: 10.1016/j.ijrobp.2009.04.016. Epub 2009 Sep 9.
2
Normal tissue dose-effect models in biological dose optimisation.生物剂量优化中的正常组织剂量效应模型
Z Med Phys. 2008;18(2):102-10. doi: 10.1016/j.zemedi.2007.08.002.
3
A virtual photon source model of an Elekta linear accelerator with integrated mini MLC for Monte Carlo based IMRT dose calculation.
使用配备InCise™多叶准直器的射波刀系统,对采用有限尺寸笔形束算法和蒙特卡罗算法计算的治疗计划进行剂量学比较。
J Med Phys. 2020 Jan-Mar;45(1):7-15. doi: 10.4103/jmp.JMP_64_19. Epub 2020 Mar 13.
4
EGSnrc application for IMRT planning.EGSnrc在调强放射治疗计划中的应用。
Rep Pract Oncol Radiother. 2020 Mar-Apr;25(2):217-226. doi: 10.1016/j.rpor.2020.01.004. Epub 2020 Jan 22.
5
Validation of the RayStation Monte Carlo dose calculation algorithm using a realistic lung phantom.使用真实肺体模验证 RayStation 蒙特卡罗剂量计算算法。
J Appl Clin Med Phys. 2019 Dec;20(12):127-137. doi: 10.1002/acm2.12777. Epub 2019 Nov 25.
6
Radiobiological impact of dose calculation algorithms on biologically optimized IMRT lung stereotactic body radiation therapy plans.剂量计算算法对生物优化的IMRT肺部立体定向体部放射治疗计划的放射生物学影响。
Radiat Oncol. 2016 Jan 22;11:10. doi: 10.1186/s13014-015-0578-2.
7
Stereotactic radiotherapy of intrapulmonary lesions: comparison of different dose calculation algorithms for Oncentra MasterPlan®.肺内病变的立体定向放射治疗:Oncentra MasterPlan® 不同剂量计算算法的比较
Radiat Oncol. 2015 Feb 22;10:51. doi: 10.1186/s13014-015-0354-3.
8
GTV-based prescription in SBRT for lung lesions using advanced dose calculation algorithms.使用先进剂量计算算法的肺部病变立体定向体部放疗中基于大体肿瘤体积的处方
Radiat Oncol. 2014 Oct 16;9:223. doi: 10.1186/s13014-014-0223-5.
9
Clinical relevance of different dose calculation strategies for mediastinal IMRT in Hodgkin's disease.不同剂量计算策略在霍奇金病纵隔调强放疗中的临床相关性。
Strahlenther Onkol. 2012 Aug;188(8):653-9. doi: 10.1007/s00066-012-0144-x. Epub 2012 Jun 29.
10
A dosimetric phantom study of dose accuracy and build-up effects using IMRT and RapidArc in stereotactic irradiation of lung tumours.使用调强放疗和 RapidArc 立体定向放疗肺肿瘤的剂量准确性和建成效应的剂量学体模研究。
Radiat Oncol. 2012 May 31;7:79. doi: 10.1186/1748-717X-7-79.
用于基于蒙特卡洛的调强放疗剂量计算的带有集成微型多叶准直器的医科达直线加速器的虚拟光子源模型
Phys Med Biol. 2007 Aug 7;52(15):4449-63. doi: 10.1088/0031-9155/52/15/006. Epub 2007 Jun 26.
4
A finite size pencil beam algorithm for IMRT dose optimization: density corrections.一种用于调强放疗剂量优化的有限尺寸笔形束算法:密度校正
Phys Med Biol. 2007 Feb 7;52(3):617-33. doi: 10.1088/0031-9155/52/3/006. Epub 2007 Jan 10.
5
Testing of the analytical anisotropic algorithm for photon dose calculation.用于光子剂量计算的解析各向异性算法测试。
Med Phys. 2006 Nov;33(11):4130-48. doi: 10.1118/1.2358333.
6
Optimization of extracranial stereotactic radiation therapy of small lung lesions using accurate dose calculation algorithms.优化小肺病变的颅外立体定向放射治疗,采用精确的剂量计算算法。
Radiat Oncol. 2006 Nov 29;1:45. doi: 10.1186/1748-717X-1-45.
7
Accuracy of patient dose calculation for lung IMRT: A comparison of Monte Carlo, convolution/superposition, and pencil beam computations.肺部调强放射治疗患者剂量计算的准确性:蒙特卡罗法、卷积/叠加法和笔形束算法的比较
Med Phys. 2006 Sep;33(9):3149-58. doi: 10.1118/1.2241992.
8
Experimental verification of lung dose with radiochromic film: comparison with Monte Carlo simulations and commercially available treatment planning systems.用放射性色胶片对肺部剂量进行实验验证:与蒙特卡罗模拟及市售治疗计划系统的比较
Phys Med Biol. 2005 May 7;50(9):2055-69. doi: 10.1088/0031-9155/50/9/009. Epub 2005 Apr 20.
9
A finite size pencil beam for IMRT dose optimization.用于调强放射治疗剂量优化的有限尺寸笔形束。
Phys Med Biol. 2005 Apr 21;50(8):1747-66. doi: 10.1088/0031-9155/50/8/009. Epub 2005 Apr 6.
10
Monte Carlo- versus pencil-beam-/collapsed-cone-dose calculation in a heterogeneous multi-layer phantom.在非均匀多层体模中,蒙特卡洛法与笔形束/卷积剂量计算的对比
Phys Med Biol. 2005 Mar 7;50(5):859-68. doi: 10.1088/0031-9155/50/5/010. Epub 2005 Feb 17.